Design of the System for Measuring UAV Parameters
Abstract
:1. Introduction
2. Materials and Methods
3. Measurements
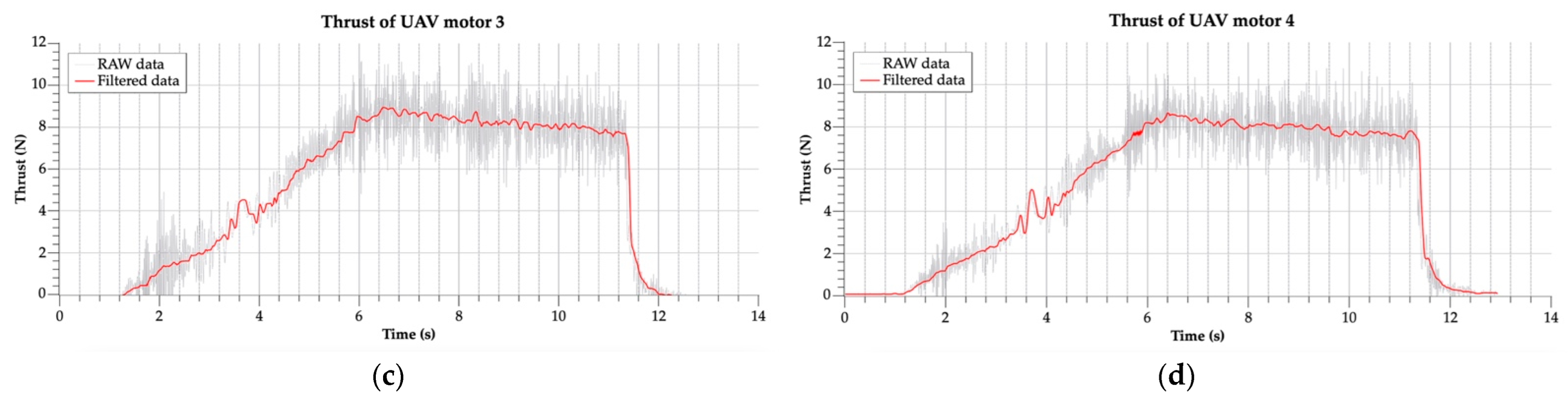
4. Results
5. Discussion
6. Conclusions
7. Patents
Author Contributions
Funding
Institutional Review Board Statement
Informed Consent Statement
Conflicts of Interest
References
- Mesquita, G.; Mulero-Pázmány, M.; Wich, S.; Rodriguez-Teijeiro, J.D. A practical approach with drones, smartphone and tracking tags for potential real-time tracking animal. Curr. Zool. 2022, 68, zoac029. [Google Scholar] [CrossRef]
- Saunders, D.; Nguyen, H.; Cowen, S.; Magrath, M.; Marsh, K.; Bell, S.; Bobruk, J. Radio-tracking wildlife with drones: A viewshed analysis quantifying survey coverage across diverse landscapes. Wildl. Res. 2022, 49, 1–10. [Google Scholar] [CrossRef]
- Tansuriyavong, S.; Koja, H.; Kyan, M.; Anezaki, T. The Development of Wildlife Tracking System Using Mobile Phone Communication Network and Drone. In Proceedings of the 2018 International Conference on Intelligent Informatics and Biomedical Sciences (ICIIBMS), Bangkok, Thailand, 21–24 October 2018; pp. 351–354. [Google Scholar]
- Yavuz, D.; Akbıyık, H.; Bostancı, E. Intelligent drone navigation for search and rescue operations. In Proceedings of the 24th Signal Processing and Communication Application Conference (SIU), Zonguldak, Turkey, 16–19 May 2016; pp. 565–568. [Google Scholar]
- Iob, P.; Frau, L.; Danieli, P.; Olivieri, L.; Bettanini, C. Avalanche Rescue with Autonomous Drones. In Proceedings of the 2020 IEEE 7th International Workshop on Metrology for AeroSpace, MetroAeroSpace, Pisa, Italy, 22–24 June 2020; pp. 319–324. [Google Scholar]
- Falorca, J.; Miraldes, J.; Lanzinha, J. New trends in visual inspection of buildings and structures: Study for the use of drones. Open Eng. 2021, 11, 734–743. [Google Scholar] [CrossRef]
- Yaprak, S.; Ömer, Y.; Susam, T. UAV Based Agricultural Planning and Landslide Monitoring. TeMA-J. Land Use Mobil. Environ. 2017, 11, 325–338. [Google Scholar]
- Maini, P.; Tokekar, P.; Sujit, P.B. Visual Monitoring of Points of Interest on a 2.5D Terrain Using a UAV with Limited Field-of-View Constraint. IEEE Trans. Aerosp. Electron. Syst. 2021, 57, 3661–3672. [Google Scholar] [CrossRef]
- d’Oleire-Oltmanns, S.; Marzolff, I.; Peter, K.; Ries, J. Unmanned Aerial Vehicle (UAV) for Monitoring Soil Erosion in Morocco. Remote Sens. 2012, 4, 3390–3416. [Google Scholar] [CrossRef]
- Lipovský, P.; Draganová, K.; Novotňák, J.; Szőke, Z.; Fiľko, M. Indoor Mapping of Magnetic Fields Using UAV Equipped with Fluxgate Magnetometer. Sensors 2021, 21, 4191. [Google Scholar] [CrossRef]
- Lipovský, P.; Fil’ko, M.; Novotňák, J.; Szöke, Z.; Košuda, M.; Draganová, K. Concept of Magnetic Microwires Based Magnetometer for UAV Geophysical Survey. In Proceedings of the International Conference on New Trends in Signal Processing (NTSP), Demanovska Dolina, Slovakia, 14–16 October 2020; pp. 1–5. [Google Scholar]
- Burkert, F.; Fraundorfer, F. UAV-based monitoring of pedestrian groups. ISPRS-Int. Arch. Photogramm. Remote Sens. Spat. Inf. Sci. 2013, 40, 67–72. [Google Scholar] [CrossRef]
- Avola, D.; Foresti, G.L.; Martinel, N.; Micheloni, C.; Pannone, D.; Piciarelli, C. Aerial video surveillance system for small-scale UAV environment monitoring. In Proceedings of the 2017 14th IEEE International Conference on Advanced Video and Signal Based Surveillance (AVSS), Lecce, Italy, 29 August–1 September 2017; pp. 1–6. [Google Scholar]
- Grote, M.; Cherrett, T.; Oakey, A.; Royall, P.G.; Whalley, S.; Dickinson, J. How Do Dangerous Goods Regulations Apply to Uncrewed Aerial Vehicles Transporting Medical Cargos? Drones 2021, 5, 38. [Google Scholar] [CrossRef]
- Escribano Macias, J.J.; Angeloudis, P.; Ochieng, W.Y. Optimal hub selection for rapid medical deliveries using unmanned aerial vehicles. Transp. Res. Part C Emerg. Technol. 2020, 110, 56–80. [Google Scholar] [CrossRef]
- Barnawi, A.; Chhikara, P.; Tekchandani, R.; Kumar, N.; Alzahrani, B. Artificial intelligence-enabled Internet of Things-based system for COVID-19 screening using aerial thermal imaging. Future Gener. Comput. Syst. 2021, 124, 119–132. [Google Scholar] [CrossRef] [PubMed]
- Bogatov, S.; Mazny, N.; Pugachev, A.; Tkachenko, S.; Shvedov, A. Emergency Radiation Survey Device Onboard the UAV. ISPRS-Int. Arch. Photogramm. Remote Sens. Spat. Inf. Sci. 2013, XL-1/W2, 51–53. [Google Scholar] [CrossRef]
- Lassak, M.; Draganova, K.; Blistanova, M.; Kalapos, G.; Miklos, J. Small UAV Camera Gimbal Stabilization Using Digital Filters and Enhanced Control Algorithms for Aerial Survey and Monitoring. Acta Montan. Slovaca 2020, 25, 127–137. [Google Scholar]
- Wang, G.; Han, N.; Lv, Y.; Zhang, D. UAV onboard electronic detection system based on simulation test technology. In Proceedings of the 2013 IEEE 11th International Conference on Electronic Measurement & Instruments, Harbin, China, 16–19 August 2013; pp. 608–611. [Google Scholar]
- Braun, J.; Braunova, H.; Suk, T.; Michal, O.; Petovsky, P.; Kuric, I. Structural and Geometrical Vegetation Filtering-Case Study on Mining Area Point Cloud Acquired by UAV Lidar. Acta Montan. Slovaca 2021, 26, 661–674. [Google Scholar]
- Bozek, P.; Al Akkad, M.A.; Blistan, P.; Ibrahim, N.I. Navigation control and stability investigation of a mobile robot based on a hexacopter equipped with an integrated manipulator. Int. J. Adv. Robot. Syst. 2017, 14, 6. [Google Scholar] [CrossRef]
- Valiga, M.; Novotňák, J.; Šmelko, M.; Čekanová, A.; Košuda, M. Control System Design of UAV Starter-Generator Power Unit. In Proceedings of the International Conference on New Trends in Aviation Development (NTAD), Chlumec nad Cidlinou, Czech Republic, 26–27 September 2019; pp. 204–208. [Google Scholar]
- Shvetsova, S.V.; Shvetsov, A.V. Ensuring safety and security in employing drones at airports. J. Transp. Secur. 2021, 14, 41–53. [Google Scholar] [CrossRef]
- Shvetsov, A.V. Evaluation of the Prospects for the Admission of Electric Multicopters to Operation at Airports, Subject to the Joint Use of Modern Methods of Ensuring Safety of the Movement. World Electr. Veh. J. 2022, 13, 79. [Google Scholar] [CrossRef]
- Michalowski, B.; Varano, N. UAV flight test characterization using minimal test equipment. In Proceedings of the 2017 International Conference on Unmanned Aircraft Systems (ICUAS), Miami, FL, USA, 13–16 June 2017; pp. 1737–1741. [Google Scholar]
- Ambroziak, L.; Gosiewski, Z. Preliminary UAV Autopilot Integration and In-Flight Testing. Solid State Phenom. 2013, 198, 232–237. [Google Scholar] [CrossRef]
- Lipovský, P.; Szőke, Z.; Moucha, V.; Jurč, R.; Novotňák, J. Data Acquisition System for UAV Autopilot and Operator Evaluation. In Proceedings of the 2019 Modern Safety Technologies in Transportation (MOSATT), Košice, Slovakia, 28–29 November 2019; pp. 98–103. [Google Scholar]
- Xuan Mung, N.; Nguyen, N.P.; Pham, D.B.; Dao, N.N.; Hong, S.K. Synthesized Landing Strategy for Quadcopter to Land Precisely on a Vertically Moving Apron. Mathematics 2022, 10, 1328. [Google Scholar] [CrossRef]
- Lee, J.W.; Xuan-Mung, N.; Nguyen, N.P.; Hong, S.K. Adaptive altitude flight control of quadcopter under ground effect and time-varying load: Theory and experiments. J. Vib. Control 2021, 2021, 10775463211050169. [Google Scholar] [CrossRef]
- Waliszkiewicz, M.; Wojtowicz, K.; Rochala, Z. Experimental method of controller tuning for quadcopters. In Proceedings of the 2017 6th International Conference on Systems and Control (ICSC), Batna, Algeria, 7–9 May 2017; pp. 165–170. [Google Scholar]
- Obias, K.C.U.; Say, M.F.Q.; Fernandez, E.A.V.; Chua, A.Y.; Sybingco, E. A Study of the Interaction of Proportional-Integral-Derivative (PID) Control in a Quadcopter Unmanned Aerial Vehicle (UAV) Using Design of Experiment. In Proceedings of the 2019 IEEE 11th International Conference on Humanoid, Nanotechnology, Information Technology, Communication and Control, Environment, and Management, Laoag, Philippines, 29 November–1 December 2019; pp. 1–4. [Google Scholar]
- Cedro, L.; Wieczorkowski, K. Optimizing PID controller gains to model the performance of a quadcopter. Transp. Res. Procedia 2019, 40, 156–169. [Google Scholar] [CrossRef]
- Abdalla, M.; Albaradie, S. Real Time Optimal Tuning of Quadcopter Attitude Controller Using Particle Swarm Optimization. J. Eng. Technol. Sci. 2020, 52, 745–764. [Google Scholar] [CrossRef]
- Chehadeh, M.; Boiko, I. Design of Rules for In-Flight Non-Parametric Tuning of PID Controllers for Unmanned Aerial Vehicles. J. Frankl. Inst. 2018, 356, 474–491. [Google Scholar] [CrossRef]
- Munro, N.; Söylemez, M. Fast Calculation of Stabilizing PID Controllers for Uncertain Parameter Systems. IFAC Proc. Vol. 2000, 33, 549–554. [Google Scholar] [CrossRef]
- Pounds, P.; Mahony, R.; Corke, P. Modelling and control of a quad-rotor robot. Control Eng. Pract. 2006, 18, 691–699. [Google Scholar] [CrossRef]
- Castillo, P.; Lozano, R.; Dzul, A. Stabilization of a mini rotorcraft with four rotors. IEEE Control Syst. Mag. 2005, 25, 45–55. [Google Scholar]
- Gremillion, G.; Humbert, J. System Identification of a Quadrotor Micro Air Vehicle. In Proceedings of the AIAA Atmospheric Flight Mechanics Conference, Toronto, ON, Canada, 2–5 August 2010; p. 7644. [Google Scholar]
- Mustapa, M. Altitude Controller Design for Quadcopter UAV. J. Teknol. 2015, 74, 85–88. [Google Scholar] [CrossRef]
- Budnyaev, V.; Filippov, I.; Vertegel, V.; Dudnikov, S. Simulink-based Quadcopter Control System Model. In Proceedings of the 2020 1st International Conference Problems of Informatics, Electronics, and Radio Engineering (PIERE), Novosibirsk, Russia, 10–11 December 2020; pp. 246–250. [Google Scholar]
- Sabir, A.; Zakriti, A. Modeling of a Quadcopter Trajectory Tracking System Using PID Controller. Procedia Manuf. 2019, 32, 564–571. [Google Scholar]
- Salameh, I.; Ammar, E.; Tutunji, T. Identification of Quadcopter Hovering Using Experimental Data. In Proceedings of the 2015 IEEE Jordan Conference on Applied Electrical Engineering and Computing Technologies (AEECT), Amman, Jordan, 3–5 November 2015. [Google Scholar]
- Zhang, Y.; Chen, Z.; Zhang, X.; Sun, Q.; Sun, M. A novel control scheme for quadrotor UAV based upon active disturbance rejection control. Aerosp. Sci. Technol. 2018, 79, 601–609. [Google Scholar] [CrossRef]
- Dief, T. Review: Modeling and Classical Controller of Quad-rotor. Int. J. Comput. 2015, 5, 314–319. [Google Scholar]
- Elkholy, H.; Habib, M.K. Dynamic Modeling and Control Techniques for a Quadrotor. In Handbook of Research on Advancements in Robotics and Mechatronics; Habib, M.K., Ed.; American University: Cairo, Egypt, 2015; p. 408. [Google Scholar]
- Al-Shabi, M.A.; Hatamleh, K.S.; Asad, A.A. UAV dynamics model parameters estimation techniques: A comparison study. In Proceedings of the 2013 IEEE Jordan Conference on Applied Electrical Engineering and Computing Technologies (AEECT), Amman, Jordan, 3–5 December 2013; pp. 1–6. [Google Scholar]
- Jakubowski, A.; Kubacki, A.; Minorowicz, B.; Nowak, A. Analysis Thrust for Different Kind of Propellers. In Advances in Intelligent Systems and Computing Progress in Automation, Robotics and Measuring Techniques; Institute of Mechanical Technology: Poznań, Poland, 2015; Volume 350, pp. 85–90. [Google Scholar]
- Zabunov, S.; Mardirossian, G. Scales for measuring UAV micro-motor static thrust. Aerosp. Res. Bulg. 2018, 30, 96–102. [Google Scholar] [CrossRef]
- Niemann, H.; Miklos, R. A Simple Method for Estimation of Parameters in First order Systems. In Proceedings of the 11th European Workshop on Advanced Control and Diagnosis, Berlin, Germany, 13–14 November 2014; Volume 570, p. 012001. [Google Scholar]
- Novotňák, J.; Šmelko, M.; Andoga, R.; Lipovský, P.; Fiľko, M. Modeling of the tensometric measuring system. Acta Avion. 2019, 21, 18–23. [Google Scholar] [CrossRef]
- Novotňák, J.; Szöke, Z.; Šmelko, M.; Lipovský, P.; Fil’ko, M.; Košuda, M. Simple Filtering Algorithms for the Needs of Measuring UAV Parameters. In Proceedings of the International Conference on New Trends in Signal Processing (NTSP), Demanovska Dolina, Slovakia, 14–16 October 2020; pp. 1–5. [Google Scholar]
- Belyaev, A.; Tutov, I.; Butuzov, D. Analysis of noisy signal restoration quality with exponential moving average filter. In Proceedings of the International Siberian Conference on Control and Communications (SIBCON), Moscow, Russia, 12–14 May 2016; pp. 1–4. [Google Scholar]
- Varshavskiy, I.E.; Krasnova, A.I.; Polivanov, V.V. Efficiency estimation of the noise digital filtering algorithms. In Proceedings of the 2019 IEEE Conference of Russian Young Researchers in Electrical and Electronic Engineering (EIConRus), Saint Petersburg and Moscow, Russia, 28–31 January 2019; pp. 724–727. [Google Scholar]


















| Parameter | Value |
|---|---|
| Measuring range | 0–5 kg |
| Sensitivity | 2.0 ± 0.05 mV/V |
| Nonlinearity | ≤±0.03% F.S. |
| Hysteresis | ≤±0.03% F.S. |
| Repeatability | ≤±0.03% F.S. |
| Zero output | ±1 |
| Zero temperature coefficient | ≤±0.03% F.S./10 °C |
| Temperature sensitivity coefficient | ≤±0.03% F.S./10 °C |
| Input resistance | 350 ± 20 Ω |
| Output resistance | 350 ± 5 Ω |
| Safe overload | ≤150% F.S. |
| Insulance | ≥5000 MΩ |
| Recommended excitation voltage | 10 V~15 V |
| Working temperature | −20~80 °C |
| Parameter | Value | Unit |
|---|---|---|
| System resolution (sensor) | 3.70961 | grams/LSB 1 |
| 0.03637 | newton/LSB 1 | |
| Transfer function time constant | 0.300456 | seconds |
| Gain correction for sensor 1 | 0.9919 | - |
| Gain correction for sensor 2 | 1.0007 | - |
| Gain correction for sensor 3 | 1.0014 | - |
| Gain correction for sensor 4 | 1.0112 | - |
| Gain correction for sensor 5 | 0.9901 | - |
| Gain correction for sensor 6 | 1.0114 | - |
| Gain correction for sensor 7 | 1.0031 | - |
| Gain correction for sensor 8 | 0.9901 | - |
| Parameter | Value |
|---|---|
| Frame dimensions | 45.3 cm diagonal |
| Motors | RAY G3 C2830-1300 BLDC |
| Regulators | RAY G2 30A |
| Flight battery | 4500 mAh 3S LiPo |
| Propellers type | three-bladed 9 × 5 inch |
| Autopilot control unit | Pixhawk 4 mini |
| Quadcopter weight | 1.4 kg |
| Maximum thrust | 35 newtons |
| Flight time | 15 min |
| Filter | Variance | Standard Deviation (grams) |
|---|---|---|
| No filter (RAW data) | 59.6183343 | 7.721291 |
| DEMA = 0.2 + MWM n = 11 | 21.070095 | 4.590217 |
| TEMA = 0.2 + MWM n = 11 | 18.620764 | 4.315178 |
| Motor | Reference Max. Thrust (N) | Measured Max. Thrust (N) | Difference (%) |
|---|---|---|---|
| 1 | 8.57 | 8.53 | 0.57 |
| 2 | 9.00 | 8.97 | 0.34 |
| 3 | 8.81 | 8.77 | 0.45 |
| 4 | 8.55 | 8.48 | 0.82 |
Publisher’s Note: MDPI stays neutral with regard to jurisdictional claims in published maps and institutional affiliations. |
© 2022 by the authors. Licensee MDPI, Basel, Switzerland. This article is an open access article distributed under the terms and conditions of the Creative Commons Attribution (CC BY) license (https://creativecommons.org/licenses/by/4.0/).
Share and Cite
Novotňák, J.; Fiľko, M.; Lipovský, P.; Šmelko, M. Design of the System for Measuring UAV Parameters. Drones 2022, 6, 213. https://doi.org/10.3390/drones6080213
Novotňák J, Fiľko M, Lipovský P, Šmelko M. Design of the System for Measuring UAV Parameters. Drones. 2022; 6(8):213. https://doi.org/10.3390/drones6080213
Chicago/Turabian StyleNovotňák, Jozef, Martin Fiľko, Pavol Lipovský, and Miroslav Šmelko. 2022. "Design of the System for Measuring UAV Parameters" Drones 6, no. 8: 213. https://doi.org/10.3390/drones6080213
APA StyleNovotňák, J., Fiľko, M., Lipovský, P., & Šmelko, M. (2022). Design of the System for Measuring UAV Parameters. Drones, 6(8), 213. https://doi.org/10.3390/drones6080213

