Multi-Camera Networks for Coverage Control of Drones
Abstract
:1. Introduction
2. Problem Statements
2.1. Environment
2.2. Camera Sensor Model
2.3. Wireless Camera Networks
- Each camera can obtain its position and velocity by its GPS built in UAV.
- Each camera can obtain its FOV information by its camera image.
- The camera network is connected; therefore, each camera has a sensing and communication capability or multi-hop transmission capacity to transmit related information to neighbor cameras.It should be noted that in the present wireless camera network, (a) we need to transmit relevant FOV information to adjacent cameras to find FOV overlap, it is not necessary to transmit all FOVs of cameras in the environment. Therefore, the information broadcast can be set like two or three hops before it stops rebroadcasting (UDP protocol can be used). (b) It needs to communicate with all of the cameras to obtain only the position information of other UAVs.
2.4. Optimization Coverage Problem
3. Distributed Coverage with Configuration of Position, Yaw and PTZ
3.1. Incorporating View Angle
3.2. Incorporating Collision Avoidance
4. Simulation Studies
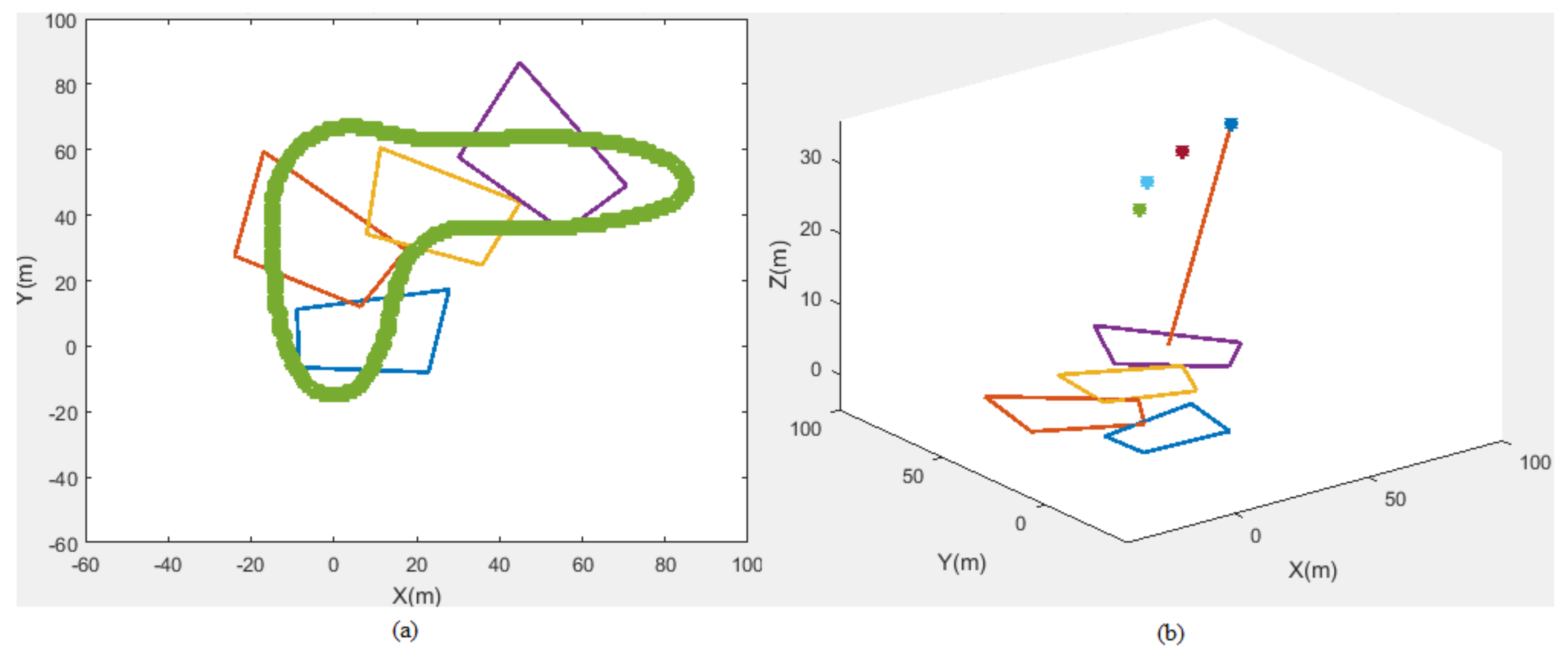
4.1. Case 1
4.2. Case 3
5. Discussion and Conclusions
Author Contributions
Funding
Institutional Review Board Statement
Conflicts of Interest
Abbreviations
| Symbols | |
| q | point belongs to a known environment |
| Q | environment |
| the density function of the area of interest | |
| the ith UAV’s position | |
| the ith outward normal vectors | |
| f | the focal length of the lens |
| the length of the camera image | |
| the width of the camera image | |
| the rotation matrix of the ith UAV | |
| A | the observed area by camera |
| the field of view of the ith camera | |
| the area/pixel information | |
| n | the total number of UAVs |
| the cost index | |
| the angle of the ith camera,w={r,p,t} | |
| the controlled variable of the ith UAV | |
| the pixel number of the length of image | |
| the pixel number of the width of image |
| List of abbreviations | |
| MUM | Multiple unmanned multirotor |
| PTZ | Pan-tilt-zoom |
| UAV | Unmanned aerial vehicle |
| WTP | Watchmen Tour Problem |
| FOV | Field of view |
| CC | Camera coordinates |
| GC | Global coordinates |
| GPS | Global positioning system |
| LiDAR | Light detection and ranging |
Appendix A
References
- Huang, S.; Teo, R.S.H.; Tan, K.K. Collision avoidance of multi unmanned aerial vehicles: A review. Annu. Rev. Control. 2019, 48, 147–164. [Google Scholar] [CrossRef]
- Huang, S.; Teo, R.S.H.; Leong, W.L.; Martinel, N.; Forest, G.L.; Micheloni, C. Coverage Control of Multiple Unmanned Aerial Vehicles: A Short Review. Unmanned Syst. 2018, 6, 131–144. [Google Scholar] [CrossRef]
- Tan, C.Y.; Huang, S.; Tan, K.K.; Teo, R.S.H.; Liu, W.; Lin, F. Collision Avoidance Design on Unmanned Aerial Vehicle in 3D Space. Unmanned Syst. 2018, 6, 277–295. [Google Scholar] [CrossRef]
- Parapari, H.F.; Abdollahi, F.; Menhaj, M.B. Distributed coverage control for mobile robots with limited-range sector sensors. In Proceedings of the 2016 IEEE International Conference on Advanced Intelligent Mechatronics, Banff, AB, Canada, 12–15 July 2016; pp. 1079–1085. [Google Scholar]
- Bhattacharya, S.; Ghrist, R.; Kumar, V. Multi-robot coverage and exploration in non-Euclidean metric spaces. In Algorithmic Foundations of Robotics X; Frazzoli, E., Lozano-Perez, T., Roy, N., Rus, D., Eds.; Springer: Berlin/Heidelberg, Germany, 2013; pp. 245–262. [Google Scholar]
- Bullo, F.; Carli, R.; Frasca, P. Gossip coverage control for robotic networks: Dynamical systems on the space of partitions. SIAM J. Control. Optim. 2012, 50, 419–447. [Google Scholar] [CrossRef]
- Daingade, S.; Sinha, A.; Borkar, A.; Arya, H. Multi UAV Formation Control for Target Monitoring. In Proceedings of the 2015 Indian Control Conference Indian Institute of Technology Madras, Chennai, India, 5–7 January 2015; pp. 25–30. [Google Scholar]
- Smith, S.L.; Broucke, M.E.; Francis, B.A. Stabilizing a multi-agent system to an equilibrium polygon formation. In Proceedings of the 17th International Symposium on Mathematical Theory of Networks and Systems, Kyoto, Japan, 24–28 July 2006; pp. 2415–2424. [Google Scholar]
- Huang, S.; Teo, R.S.H.; Leong, W.L.; Martinel, N.; Forest, G.L.; Micheloni, C. Coverage Control of Multi Unmanned Aerial Vehicles: A Short Review, Unmanned Systems. 2018, 6,131–144 Huang, S.; Teo, R.; Leong, W.L. Review of coverage control of multi unmanned aerial vehicles. Unmanned Systems. In Proceedings of the 2017 11th Asian Control Conference (ASCC), Gold Coast, Australia, 17–20 December 2017; pp. 228–232. [Google Scholar]
- Chvatal, V. A combinatorial theorem in plane geometry. J. Comb. Theory (B) 1975, 18, 39–41. [Google Scholar] [CrossRef] [Green Version]
- Carlsson, S.; Nilsson, B.J.; Ntafos, S.C. Optimum guard covers and m-watchmen routes for restricted polygons. Int. J. Comput. Geom. Appl. 1993, 3, 85–105. [Google Scholar] [CrossRef]
- Cortés, J.; Martínez, S.; Karatas, T.; Bullo, F. Coverage control for mobile sensing networks. Berlin/Heidelberg, Germany, IEEE International Conference on Robotics and Automation. In In Proceedings of the IEEE International Conference on Robotics and Automation, Washington, DC, USA, 11–15 May 2002; pp. 1327–1332. [Google Scholar]
- Cortés, J.; Martínez, S.; Karatas, T.; Bullo, F. Coverage control for mobile sensing networks. IEEE Trans. Robot. Autom. 2004, 20, 243–255. [Google Scholar]
- Schwager, M.; Julian, B.J.; Rus, D. Optimal coverage for multiple hovering robots with downward facing cameras. In Proceedings of the IEEE International Conference on Robotics and Automation, Kobe, Japan, 12–17 May 2009; pp. 3515–3522. [Google Scholar]
- Piciarelli, C.; Micheloni, C.; Foresti, G.L. PTZ Camera Network Reconfiguration. In Proceedings of the IEEE/ACM Intl. Conf. on Distributed Smart Cameras, Como, Italy, 30 August–2 September 2009; pp. 1–8. [Google Scholar]
- Wang, H.; Guo, Y. A decentralized control for mobile sensor network effective coverage. In Proceedings of the 7th World Congress on Intelligent Control and Automation, Chongqing, China, 25–27 June 2008; pp. 473–478. [Google Scholar]
- Schwager, M.; Julian, B.J.; Angermann, M.; Rus, D. Eyes in the sky: Decentralized control for the deployment of robotic camera networks. Proc. IEEE 2011, 99, 1541–1561. [Google Scholar] [CrossRef] [Green Version]
- Arslan, O.; Min, H.; Koditschek, D.E. Voronoi-based coverage control of pan/tilt/zoom camera networks. In Proceedings of the 2018 IEEE International Conference on Robotics and Automation (ICRA), Brisbane, Australia, 21–25 May 2018. [Google Scholar]
- Huang, S.; Teo, R.S.H.; Leong, W.L. Distributed Coverage Control for Multiple Unmanned Multirotors with Downward Facing Pan-Tilt-Zoom-Cameras. In Proceedings of the 2018 International Conference on Unmanned Aircraft Systems (ICUAS), Dallas, TX, USA, 12–15 June 2018; pp. 744–751. [Google Scholar]
- Mastellone, S.; Stipanović, D.M.; Graunke, C.R.; Intlekofer, K.A.; Spong, M.W. Formation Control and Collision Avoidance for Multi-agent Non-holonomic Systems: Theory and Experiments. Int. J. Robot. Res. 2008, 27, 107–126. [Google Scholar] [CrossRef]
















Publisher’s Note: MDPI stays neutral with regard to jurisdictional claims in published maps and institutional affiliations. |
© 2022 by the authors. Licensee MDPI, Basel, Switzerland. This article is an open access article distributed under the terms and conditions of the Creative Commons Attribution (CC BY) license (https://creativecommons.org/licenses/by/4.0/).
Share and Cite
Huang, S.; Teo, R.S.H.; Leong, W.W.L. Multi-Camera Networks for Coverage Control of Drones. Drones 2022, 6, 67. https://doi.org/10.3390/drones6030067
Huang S, Teo RSH, Leong WWL. Multi-Camera Networks for Coverage Control of Drones. Drones. 2022; 6(3):67. https://doi.org/10.3390/drones6030067
Chicago/Turabian StyleHuang, Sunan, Rodney Swee Huat Teo, and William Wai Lun Leong. 2022. "Multi-Camera Networks for Coverage Control of Drones" Drones 6, no. 3: 67. https://doi.org/10.3390/drones6030067
APA StyleHuang, S., Teo, R. S. H., & Leong, W. W. L. (2022). Multi-Camera Networks for Coverage Control of Drones. Drones, 6(3), 67. https://doi.org/10.3390/drones6030067

