Robust Neural Network Consensus for Multiagent UASs Based on Weights’ Estimation Error
Abstract
1. Introduction
Main Contributions
- The development of a leader–follower consensus algorithm enhanced with a radial basis neural network for multiagent quadrotor unmanned aircraft systems subject to lumped disturbances is presented.
- The algorithm used to update the weights of the neural network is based on a first-order filter and auxiliary matrices to obtain the weight error information and use it in the adaptation law. To the best our knowledge, the consensus algorithms with neural network compensation reported until now have not taken into account the weight error information in the adaptation law.
- A stability proof based on Lyapunov’s theory is developed for the consensus algorithm and neural network compensation developed, where the uniformly ultimate boundedness of the (i) formation errors and (ii) neural weights’ estimation errors, is guaranteed.
- Simulation experiments for multiagent UAV systems are performed over the ROS platform [47] and ROS-based Gazebo environment.
2. Preliminaries and Dynamic Model of the UAV
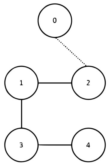
2.1. Graph Theory
2.2. Dynamic Model of the Quadrotor UAV
2.3. Modeling UAV Multirotor in Gazebo
3. Control Strategy Development
3.1. Mathematical Model for the Consensus Development
3.2. Consensus Control Strategy
3.2.1. Consensus Control Strategy for Altitude Dynamics
3.2.2. Consensus Control Strategy for Position Control in the Horizontal Plane
4. Simulation Results
4.1. Simulation Environment
| Algorithm 1 Algorithm to set the multiagent system tests. |
![]() |
4.2. Simulation Scenarios
- Classical nominal distributed control. In this approach, a static control strategy is used, given bywhich uses only the coupling gain , the feedback gain , and the neighborhood error [52].
- Adaptive neural network consensus control. In this strategy, a radial basis neural network is employed to compensate the lumped disturbances. The consensus cooperative strategy and the update law for the neural weights are presented below, where the weights are updated using the conventional method [53]In comparison with our approach, notice that for the neural weights, the adaptation law (40) includes the estimation of the weights given by the term .
4.2.1. Altitude Control
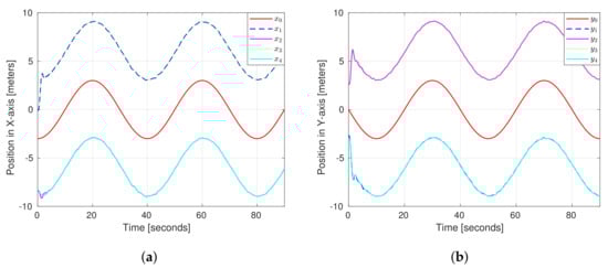
4.2.2. Translational Cooperative Control
5. Conclusions
6. Stability Proof
Author Contributions
Funding
Conflicts of Interest
References
- Dorling, K.; Heinrichs, J.; Messier, G.; Magierowski, S. Vehicle Routing Problems for Drone Delivery. IEEE Trans. Syst. Man Cybern. Syst. 2017, 47, 70–85. [Google Scholar] [CrossRef]
- Bähnemann, R.; Schindler, D.; Kamel, M.; Siegwart, R.; Nieto, J. A decentralized multi-agent unmanned aerial system to search, pick up, and relocate objects. In Proceedings of the 2017 IEEE International Symposium On Safety, Security Furthermore, Rescue Robotics (SSRR), Shanghai, China, 11–13 October 2017; pp. 123–128. [Google Scholar]
- Messina, F.; Vasilakos, A.; De Meo, P. Introduction to the special section on Recent trends in flocking control and communication for Unmanned vehicles. Comput. Electr. Eng. 2019, 80, 106495. [Google Scholar] [CrossRef]
- Ge, X.; Han, Q.; Ding, D.; Zhang, X.; Ning, B. A survey on recent advances in distributed sampled-data cooperative control of multi-agent systems. Neurocomputing 2018, 275, 1684–1701. [Google Scholar] [CrossRef]
- Hua, C.; Jiang, A.; Li, K. Adaptive neural network finite-time tracking quantized control for uncertain nonlinear systems with full-state constraints and applications to QUAVs. Neurocomputing 2021, 440, 264–274. [Google Scholar] [CrossRef]
- Zhang, M.; Liu, T.H. Cooperative Tracking a Moving Target Using Multiple Fixed-wing UAVs. J. Intell. Robot. Syst. 2016, 81, 505–529. [Google Scholar] [CrossRef]
- Tong, S. Event-triggered adaptive fuzzy bipartite consensus control of multiple autonomous underwater vehicles. IET Control. Theory Appl. 2020, 14, 3632–3642. [Google Scholar]
- Ponniah, J.; Dantsker, O. Strategies for Scaleable Communication and Coordination in Multi-Agent (UAV) Systems. Aerospace 2022, 9, 488. [Google Scholar] [CrossRef]
- Bai, J.; Wen, G.; Rahmani, A. Leaderless consensus for the fractional-order nonlinear multi-agent systems under directed interaction topology. Int. J. Syst. Sci. 2018, 49, 954–963. [Google Scholar] [CrossRef]
- Wang, C.; Wang, J.; Wu, P.; Gao, J. Consensus Problem and Formation Control for Heterogeneous Multi-Agent Systems with Switching Topologies. Electronics 2022, 11, 2598. [Google Scholar] [CrossRef]
- Abdessameud, A.; Tayebi, A. On consensus algorithms design for double integrator dynamics. Automatica 2013, 49, 253–260. [Google Scholar] [CrossRef]
- Tian, B.; Zuo, Z.; Wang, H. Leader–follower fixed-time consensus of multi-agent systems with high-order integrator dynamics. Int. J. Control 2017, 90, 1420–1427. [Google Scholar] [CrossRef]
- Liu, Z. Neural-network-based adaptive leader-following consensus control for second-order non-linear multi-agent systems. IET Control. Theory Appl. 2015, 9, 1927–1934. [Google Scholar]
- Neto, A.; Mozelli, L.; Souza, F. Control of air-ground convoy subject to communication time delay. Comput. Electr. Eng. 2019, 76, 213–224. [Google Scholar] [CrossRef]
- Ma, L.; Wang, Z.; Liu, Y.; Alsaadi, F. A note on guaranteed cost control for nonlinear stochastic systems with input saturation and mixed time-delays. Int. J. Robust Nonlinear Control 2017, 27, 4443–4456. [Google Scholar] [CrossRef]
- Sakthivel, R.; Sakthivel, R.; Kaviarasan, B.; Alzahrani, F. Leader-following exponential consensus of input saturated stochastic multi-agent systems with Markov jump parameters. Neurocomputing 2018, 287, 84–92. [Google Scholar] [CrossRef]
- Yang, P.; Ding, Y.; Shen, Z.; Feng, K. Integral Non-Singular Terminal Sliding Mode Consensus Control for Multi-Agent Systems with Disturbance and Actuator Faults Based on Finite-Time Observer. Entropy 2022, 24, 1068. [Google Scholar] [CrossRef] [PubMed]
- Yu, S.; Long, X. Finite-time consensus for second-order multi-agent systems with disturbances by integral sliding mode. Automatica 2015, 54, 158–165. [Google Scholar] [CrossRef]
- Liu, C.; Sun, S.; Tao, C.; Shou, Y.; Xu, B. Sliding mode control of multi-agent system with application to UAV air combat. Comput. Electr. Eng. 2021, 96, 107491. [Google Scholar] [CrossRef]
- Zhang, L.; Li, J.; Zhu, Y.; Shi, H.; Hwang, K. Multi-agent reinforcement learning by the actor-critic model with an attention interface. Neurocomputing 2022, 471, 275–284. [Google Scholar] [CrossRef]
- Wu, H.; Zhang, J.; Wang, Z.; Lin, Y.; Li, H. Sub-AVG: Overestimation reduction for cooperative multi-agent reinforcement learning. Neurocomputing 2022, 474, 94–106. [Google Scholar] [CrossRef]
- Qin, J.; Ma, Q.; Shi, Y.; Wang, L. Recent Advances in Consensus of Multi-Agent Systems: A Brief Survey. IEEE Trans. Ind. Electron. 2017, 64, 4972–4983. [Google Scholar] [CrossRef]
- Li, Y.; Tan, C. A survey of the consensus for multi-agent systems. Syst. Sci. Control Eng. 2019, 7, 468–482. [Google Scholar] [CrossRef]
- Sierra, J.; Santos, M. Wind and Payload Disturbance Rejection Control Based on Adaptive Neural Estimators: Application on Quadrotors. Complexity 2019, 2019, 6460156. [Google Scholar] [CrossRef]
- Lee, J.; Choi, Y.; Suh, J. DeConNet: Deep Neural Network Model to Solve the Multi-Job Assignment Problem in the Multi-Agent System. Appl. Sci. 2022, 12, 5454. [Google Scholar] [CrossRef]
- Dong, C.; Ye, Q.; Dai, S. Neural-network-based adaptive output-feedback formation tracking control of USVs under collision avoidance and connectivity maintenance constraints. Neurocomputing 2020, 401, 101–112. [Google Scholar] [CrossRef]
- Peng, Z.; Wang, D.; Zhang, H.; Lin, Y. Cooperative output feedback adaptive control of uncertain nonlinear multi-agent systems with a dynamic leader. Neurocomputing 2015, 149, 132–141. [Google Scholar] [CrossRef]
- Shahvali, M.; Shojaei, K. Distributed adaptive neural control of nonlinear multi-agent systems with unknown control directions. Nonlinear Dyn. 2016, 83, 2213–2228. [Google Scholar] [CrossRef]
- Peng, Z.; Wang, D.; Wang, J. Predictor-Based Neural Dynamic Surface Control for Uncertain Nonlinear Systems in Strict-Feedback Form. IEEE Trans. Neural Netw. Learn. Syst. 2017, 28, 2156–2167. [Google Scholar] [CrossRef]
- Hashemi, M.; Shahgholian, G. Distributed robust adaptive control of high order nonlinear multi agent systems. ISA Trans. 2018, 74, 14–27. [Google Scholar] [CrossRef]
- Fan, L.; Wu, C.; Ji, H. Distributed Adaptive Finite-Time Consensus for High-Order Multi-Agent Systems with Intermittent Communications under Switching Topologies. Symmetry 2022, 14, 1368. [Google Scholar] [CrossRef]
- Ioannou, P.; Kokotovic, P. Robust redesign of adaptive control. IEEE Trans. Autom. Control 1984, 29, 202–211. [Google Scholar] [CrossRef]
- Narendra, K.; Annaswamy, A. A new adaptive law for robust adaptation without persistent excitation. IEEE Trans. Autom. Control 1987, 32, 134–145. [Google Scholar] [CrossRef]
- Adetola, V.; Guay, M.; Lehrer, D. Adaptive Estimation for a Class of Nonlinearly Parameterized Dynamical Systems. IEEE Trans. Autom. Control 2014, 59, 2818–2824. [Google Scholar] [CrossRef]
- Na, J.; Mahyuddin, M.; Herrmann, G.; Xuemei, R.; Barber, P. Robust adaptive finite-time parameter estimation and control for robotic systems. Int. J. Robust Nonlinear Control 2014, 25, 3045–3071. [Google Scholar] [CrossRef]
- Na, J.; Herrmann, G.; Ren, X.; Mahyuddin, M.; Barber, P. Robust adaptive finite-time parameter estimation and control of nonlinear systems. In Proceedings of the 2011 IEEE International Symposium On Intelligent Control, Denver, CO, USA, 28–30 September 2011; pp. 1014–1019. [Google Scholar]
- Jing, B.; Na, J.; Gao, G.; Sun, G. Robust Adaptive Control for Robotic Systems with Guaranteed Parameter Estimation. In Proceedings of the 2015 Chinese Intelligent Systems Conference, Yangzhou, China, 8 November 2015; pp. 341–352. [Google Scholar]
- Yang, J.; Na, J.; Guo, Y.; Wu, X. Adaptive estimation of road gradient and vehicle parameters for vehicular systems. IET Control Theory Appl. 2015, 9, 935–943. [Google Scholar] [CrossRef]
- Mahyuddin, M.; Na, J.; Herrmann, G.; Ren, X.; Barber, P. Adaptive Observer-Based Parameter Estimation With Application to Road Gradient and Vehicle Mass Estimation. IEEE Trans. Ind. Electron. 2014, 6, 2851–2863. [Google Scholar] [CrossRef]
- Na, J.; Huang, Y.; Wu, X.; Gao, G.; Herrmann, G.; Jiang, J. Active Adaptive Estimation and Control for Vehicle Suspensions With Prescribed Performance. IEEE Trans. Control. Syst. Technol. 2018, 26, 2063–2077. [Google Scholar] [CrossRef]
- Zhao, J.; Wang, X.; Gao, G.; Na, J.; Liu, H.; Luan, F. Online Adaptive Parameter Estimation for Quadrotors. Algorithms 2018, 11, 167. [Google Scholar] [CrossRef]
- Zhao, Q.; Duan, G. Adaptive finite-time tracking control of 6DOF spacecraft motion with inertia parameter identification. IET Control Theory Appl. 2019, 13, 2075–2085. [Google Scholar] [CrossRef]
- Sildir, H.; Sarrafi, S.; Aydin, E. Uncertainty Propagation Based MINLP Approach for Artificial Neural Network Structure Reduction. Processes 2022, 10, 1716. [Google Scholar] [CrossRef]
- Chenguang, Y.; Tao, B.; Bin, X.; Zhijun, L.; Na, J.; Chun-Yi, S. Global Adaptive Tracking Control of Robot Manipulators Using Neural Networks with Finite-time Learning Convergence. Int. J. Control Autom. Syst. 2017, 15, 1916–1924. [Google Scholar]
- Luan, F.; Na, J.; Huang, Y.; Gao, G. Adaptive neural network control for robotic manipulators with guaranteed finite-time convergence. Neurocomputing 2019, 337, 153–164. [Google Scholar] [CrossRef]
- Jiang, Y.; Wang, Y.; Miao, Z.; Na, J.; Zhao, Z.; Yang, C. Composite-Learning-Based Adaptive Neural Control for Dual-Arm Robots With Relative Motion. IEEE Trans. Neural Netw. Learn. Syst. 2022, 33, 1010–1021. [Google Scholar] [CrossRef] [PubMed]
- Kafaf, D.; Kim, D. A web service-based approach for developing self-adaptive systems. Comput. Electr. Eng. 2017, 63, 260–276. [Google Scholar] [CrossRef]
- Zhang, X.; Liu, L.; Feng, G. Leader–follower consensus of time-varying nonlinear multi-agent systems. Automatica 2015, 52, 8–14. [Google Scholar] [CrossRef]
- Bouabdallah, S.; Noth, A.; Siegwart, R. PID vs. LQ control techniques applied to an indoor micro quadrotor. In Proceedings of the 2004 IEEE/RSJ International Conference on Intelligent Robots and Systems (IROS), Sendai, Japan, 28 September–2 October 2004; Volume 3, pp. 2451–2456. [Google Scholar]
- Das, A.; Lewis, F.; Subbarao, K. Backstepping Approach for Controlling a Quadrotor Using Lagrange Form Dynamics. J. Intell. Robot. Syst. 2009, 56, 127–151. [Google Scholar] [CrossRef]
- Meier, L.; Honegger, D.; Pollefeys, M. PX4: A node-based multithreaded open source robotics framework for deeply embedded platforms. In Proceedings of the 2015 IEEE International Conference on Robotics Furthermore, Automation (ICRA), Seattle, WA, USA, 26–30 May 2015; pp. 6235–6240. [Google Scholar]
- Souza, F.; Santos, S.; Oliveira, A.; Givigi, S. Influence of Network Topology on UAVs Formation Control based on Distributed Consensus. In Proceedings of the 2022 IEEE International Systems Conference (SysCon), Montreal, QC, Canada, 25–28 April 2022; pp. 1–8. [Google Scholar]
- Peng, Z.; Wang, D.; Zhang, H.; Sun, G. Distributed Neural Network Control for Adaptive Synchronization of Uncertain Dynamical Multiagent Systems. IEEE Trans. Neural Netw. Learn. Syst. 2014, 25, 1508–1519. [Google Scholar] [CrossRef] [PubMed]









| Parameter | Value | Parameter | Value |
|---|---|---|---|
| 2.7 | 0.17 | ||
| 13 | |||
| 0.13 | |||
| 0.3 |
| Performance Index List | |||
|---|---|---|---|
| Controller | UAV | ITAE | ITSE |
| Classical nominal distributed control | Agent 1 | 0.568 | 0.141 |
| Agent 2 | 0.567 | 0.139 | |
| Agent 3 | 0.575 | 0.143 | |
| Agent 4 | 0.598 | 0.157 | |
| Classical nominal distributed control with adaptive term | Agent 1 | 0.465 | 0.083 |
| Agent 2 | 0.463 | 0.081 | |
| Agent 3 | 0.467 | 0.085 | |
| Agent 4 | 0.494 | 0.091 | |
| Our proposed algorithm | Agent 1 | 0.259 | 0.025 |
| Agent 2 | 0.251 | 0.023 | |
| Agent 3 | 0.263 | 0.027 | |
| Agent 4 | 0.267 | 0.029 | |
| Parameter | Value | Parameter | Value |
|---|---|---|---|
| 30 | 0.3 | ||
| 13 | |||
| 0.3 | 2.9 | ||
Publisher’s Note: MDPI stays neutral with regard to jurisdictional claims in published maps and institutional affiliations. |
© 2022 by the authors. Licensee MDPI, Basel, Switzerland. This article is an open access article distributed under the terms and conditions of the Creative Commons Attribution (CC BY) license (https://creativecommons.org/licenses/by/4.0/).
Share and Cite
Morfin-Santana, A.; Muñoz, F.; Salazar, S.; Valdovinos, J.M. Robust Neural Network Consensus for Multiagent UASs Based on Weights’ Estimation Error. Drones 2022, 6, 300. https://doi.org/10.3390/drones6100300
Morfin-Santana A, Muñoz F, Salazar S, Valdovinos JM. Robust Neural Network Consensus for Multiagent UASs Based on Weights’ Estimation Error. Drones. 2022; 6(10):300. https://doi.org/10.3390/drones6100300
Chicago/Turabian StyleMorfin-Santana, Alejandro, Filiberto Muñoz, Sergio Salazar, and José Manuel Valdovinos. 2022. "Robust Neural Network Consensus for Multiagent UASs Based on Weights’ Estimation Error" Drones 6, no. 10: 300. https://doi.org/10.3390/drones6100300
APA StyleMorfin-Santana, A., Muñoz, F., Salazar, S., & Valdovinos, J. M. (2022). Robust Neural Network Consensus for Multiagent UASs Based on Weights’ Estimation Error. Drones, 6(10), 300. https://doi.org/10.3390/drones6100300


