Next Article in Journal
Routing in Solar-Powered UAV Delivery System
Previous Article in Journal
Decentralized Sampled-Data Fuzzy Tracking Control for a Quadrotor UAV with Communication Delay
 
 
Font Type:
Arial Georgia Verdana
Font Size:
Aa Aa Aa
Line Spacing:
Column Width:
Background:
Article

Understanding Spray Attributes of Commercial UAAS as Impacted by Operational and Design Parameters

1
Applications Technology, Corteva Agriscience, Indianapolis, IN 46268, USA
2
Applied Science Technology, Corteva Agriscience, Princeton, IL 61356, USA
3
Biosystems Engineering, University of Kentucky, Lexington, KY 40506, USA
4
Plant Breeding, Corteva Agriscience, Princeton, IL 61356, USA
5
Professional Agricultural Engineer, Westfield, IN 46032, USA
*
Author to whom correspondence should be addressed.
Drones 2022, 6(10), 281; https://doi.org/10.3390/drones6100281
Submission received: 1 September 2022 / Revised: 20 September 2022 / Accepted: 25 September 2022 / Published: 28 September 2022

Abstract

Unmanned aerial application systems (UAAS) have recently gained momentum for the application of crop protection (CP) products. Due to their high operational efficiency, mobility, and low cost, UAAS may be perceived as a more viable option for spray application when compared to conventional application techniques, especially backpack/knapsack sprayers. However, being a relatively new technology and not a common practice in the USA, there are no best management practices or guidelines for testing UAAS spray performance. Therefore, this study was undertaken to assess the impact of different attributes pertinent to UAAS flight (e.g., altitude, speed, etc.), application (e.g., droplet size, tank additive, etc.), and UAAS design (e.g., nozzle placement relative to a the rotor) on spray performance. The spray performance was evaluated in terms of swath and spray drift (ground and airborne) using water-sensitive papers (WSP) and mylar card/string samplers, respectively. The samplers were respectively analyzed using image processing and fluorometry techniques. The different treatments under study were UAAS type (MG-1P and AG V6A+), flight altitude (1.5, 2.5, and 4.0 m) and speed (2 and 3 ms−1), and nozzle type (XR11001 and XR8002 flat fan nozzles) with different droplet volume median diameter (VMD) at ~207 kPa (very fine [140 µm] and fine [196 µm], respectively). The results indicated a highly variable swath for both platform types. While nozzles under each rotor may be a common design in commercial UAAS, the results indicated that placement of nozzles out on a boom might have a less variable swath and a lower drift potential. In addition, flying slower, using a relatively larger droplet VMD (i.e., 196 µm at ~207 kPa) may reduce both ground and airborne drift. This study may serve as a guideline for growers/operators to evaluate their UAAS platforms and optimize key attributes pertinent to UAAS operation for effective spraying.

1. Introduction

Crop protection (CP) products (also known as pesticides) have become an integral part of production agriculture globally. Their use is mostly on the rise in different regions of the world as they provide the most efficient and rapid way to control insect pests and weed infestation. In order to get an effective control against weeds and insect pests, pesticide application technology is as important as the CP product itself. Pesticide application technology has been used in some form or another for centuries and has drastically evolved since its inception. CP products have been applied using pumps, geared spray machines, steam-powered sprayers, nozzles, and bellows [1]. Currently, different application technologies are used in row and orchard crops.
Common application technologies for row crops primarily include ground sprayers with a boom or a manned aircraft for large farming areas commonly found in various regions globally, such as North America, Latin America, Australia, and Europe [2]. Similarly, backpack/knapsack sprayers are mostly used for pesticide application in row crops in small farming areas commonly found in Asia Pacific regions [3]. Air-assisted sprayers (e.g., air blast) and manned aircraft are very common application technologies for tree-fruit crops and vineyards [4,5]. While application technology for row crops/vegetables (e.g., ground, backpack, and manned aircraft) are fairly standard in design, the design for air-assisted sprayers for tree-fruit orchards and vineyards has undergone substantial modification. Such modifications were mostly incorporated to address variability in crop canopy architecture (e.g., conventional vs. high-density apple orchards), variable rate application, off-target movement of pesticide, targeted application, canopy penetration, etc. Several new designs of air-assisted sprayers include, but are not limited to, over-the-row tunnel [6], tower [7], intelligent [8], and electrostatic sprayers [9]. Some researchers have recently explored a fixed spray system, also known as a solid set canopy delivery system, to precisely apply spray to modern apple [10] and grapevine canopies [11,12,13]. It was reported that such systems could provide an acceptable spray performance [13] while substantially reducing the off-target movement of spray [14].
Unmanned aerial systems (UAS) have been used extensively in production agriculture for imaging purposes. For example, UASs have been used by researchers for early and rapid detection of insect pests [15], weed infestation [16], crop stress monitoring [17], and canopy mapping [18]. Recently, UAS technology (also known as unmanned airborne systems [UAS] or drones or unmanned airborne application systems [UAAS] or unmanned aerial vehicles [UAVs]) has also been used for the application of CP products [19,20,21]. Such platforms are supposed to have several advantages over conventional systems, including high operational efficiency, high speed, and low drift [22]. A petrol-powered unmanned helicopter (Yamaha RMAX) was utilized by Giles et al. [23] to spray wine grapes in Napa County, California, USA. The platform could achieve a 2.0–4.5 ha h−1 work rate, and a spray deposition rate of 10–40 L ha−1 may be achieved; however, a higher amount of variability in spray deposition was observed. In another study [24], a quadcopter with rotary atomizers was utilized for spray application in an apple orchard in China, and the spray performance was contrasted with results obtained with an air blast sprayer. The results indicated that the actual canopy deposition as well as the deposition uniformity (CV~47.7%) were lower with the UAAS than with the air blast sprayer. In addition, the airborne and ground drift pertinent to the UAAS were five times greater and five times lower, respectively, compared to the air blast treatment. In a similar effort [25], the impact of flight speed and altitude were studied on the effective swath (considering a CV of ≤25% within swath) of two commercial UAASs utilizing the nozzle provided by the manufacturer. It was revealed from the study that the platform with nozzles installed directly under the rotor provided the largest effective swath at a flight altitude of 2–3 m s−1. However, the effective swath under a single pass was much lower than the multiple pass spray pattern. It is worth mentioning that the multiple pass spray pattern may not be representative of a typical field spray pattern. In another study on this new technology [26], four different models of UAAS representing three different designs were evaluated using different nozzles (e.g., conventional hollow cone and air-induction). While there was no influence of UAAS design on spray distribution quality, using an air-induction nozzle significantly reduced spray drift. The ground drift values were higher than the acceptable values as outlined by local regulatory authorities. In a similar study, the drift risk of UAAS operation was evaluated in an orchard/vineyard setting by Wang et al. [27]. A conventional hollow-cone and an air-induction nozzle were utilized for spray performance in terms of spray deposition, uniformity, and drift. It was observed that the air-induction nozzle treatment resulted in an 81–95% reduction in spray drift, and off-target losses with conventional hollow-cone nozzles were in the range of 49–73% of the applied rate. Similarly, the performance of a UAAS in 3D crops was evaluated [28] under different flight modes, flight speeds, and nozzle types. It was observed that the band spray mode resulted in 309% more canopy deposition and 54% less ground drift compared to the broadcast spray mode. In addition, an air blast sprayer treatment provided a higher spray coverage and lower ground losses compared to UAAS-based spray application.
In addition to studying the common UAAS platforms for their spray performance, several researchers have also studied the efficacy of a spray application using this technology. For example, the deposition of spray droplets on wheat crops was studied by Qin et al. [29] when spray application against powdery mildew was performed using a UAAS. The highest droplet coverage in the lower canopy zone was observed at a flight altitude and speed of 5 m and 4 m s−1, respectively. However, the efficacy of UAAS-based spray application at 10 days after treatment (DAT) was lower compared to a knapsack sprayer treatment. In this study, no operating parameter optimization was performed or at least was not reported. Similarly, the effectiveness of a UAAS-based spray application against cotton aphids and spider mites in cotton was studied by Lou et al. [22]. Similar to the results reported by Qin et al. [29], the control efficacy against cotton aphids and spider mites (63.7% and 61.3%, respectively) was lower compared to the conventional methodology. The CV for active deposition at 1.5 and 2.0 m flight altitudes were in the range of 85–178% and 50–146%, respectively, and the corresponding spray coverage values were in the range of 1.9–3.2% and 4.9–5.5%, respectively. In a similar effort, the effectiveness of a UAAS-based spray against plant hoppers in rice was assessed by Qin et al. [30]. The study reported that spraying at 1.5 m flight altitude and 5 m s−1 flight speed resulted in a CV of ≤25%, which may be considered acceptable. The efficacy of insecticide was 92% and 74% at 3 and 10 DAT.
It can be inferred from the above-mentioned studies that the spray application using a UAAS is highly variable in spray performance which also impacts the efficacy of the application. The spray performance is heavily influenced by operational parameters (e.g., flight speed, altitude, nozzles, etc.). It is more or less evident from the aforementioned studies that the optimization of spray performance is often overlooked. This becomes critical as there is a large variation in the designs of commercial UAAS platforms, and it is highly unlikely that the learning from one UAAS platform will be applicable to the other platform. For example, a UAAS platform with nozzles mounted directly under the rotor may have an entirely different air-spray interaction compared to a UAAS platform with nozzles installed on a linear boom. In addition, the spray droplet size also plays an important role in mitigating spray drift. While air-induction nozzles have been utilized by several researchers to mitigate spray drift, most of the current commercial platforms do not have provisions to utilize such nozzles on their platforms, and utilizing such nozzles may be incompatible with the software controlling the flight and spray parameters. Due to this current limitation, a simpler way would be to use a similar nozzle type but with a slightly greater droplet size and contrast the results.
Therefore, the overall objective of this study was to understand the spraying behavior of commercial UAAS platforms as impacted by design and operational parameters (e.g., flight altitude, speed, nozzle type, etc.). The specific objectives of the study were to evaluate the: (1) effective swath and (2) spray drift (ground and airborne) for different commercial UAAS platforms. Such studies are highly important to understand the spray performance of UAAS technologies and help optimize their spray operation for an efficient CP product application. The optimized technology may help in applying the right amount of CP product where it is needed with benefits such as lesser off-target movement and human exposure and help drive the agricultural enterprise towards sustainability.

2. Materials and Methods

2.1. UAAS Details

Two different UAAS platforms, AGRAS MG-1P (DJI, Shenzhen, Guangdong, China) and AG V6A+ (Homeland Surveillance and Electronics, Seattle, WA, USA) were utilized in this study for assessing the impact of design and operational parameters on spray performance. The spray performance was evaluated in terms of effective spray swath and drift. While AGRAS MG-1P is an octocopter, AG V6A+ is a hexacopte (Figure 1) with four and six nozzles onboard, respectively. While the four nozzles in DJI AGRAS MG-1P were located underneath the 4 side rotors assembly (Figure 1a), the six nozzles in HSE AG V6A+ were installed on a boom (Figure 1b). The spray tank capacity of AGRAS MG-1P and AG V6A+ were 10 and 15 L, respectively, and the maximum take-off weights were 24.8 and 34.6 kg, respectively. The spraying width for both platforms was reported to be in the range of 4–6 m at a flight altitude of 3.0 m AGL under specific operating conditions provided by the respective manufacturers. For more detailed specifications of the UAAS platforms, please see the manufacturer’s websites.

2.2. Treatments under Study

The study was divided into two phases. In the first phase, the effective spray swath of UAAS platforms was assessed as impacted by design (i.e., nozzle placement relative to the rotors) parameter as well as operating conditions (e.g., flight altitude, flight speed, and nozzle type). In the second phase, the spray drift potential of the platforms was evaluated as impacted by factors provided in phase one. The different UAAS treatment trials under study were conducted at different timepoints. For effective swath assessment, three different flight altitudes (i.e., 1.5, 2.5, and 4.0 m), two flight speeds (2.0 and 3.0 ms−1), and two nozzle types (i.e., XR11001 and XR8002 [TeeJet Technologies, Wheaton, IL, USA]) were utilized. The XR11001 and XR8002 are flat fan nozzles with spray angles of 110° and 80°, respectively. The respective flow rates for the two nozzles at ~2.1 kg cm−2 (~30 psi) were 0.32 and 0.65 L min−1. The droplet spectra for the two nozzles were analyzed using a Sympatec Helos/Vario KR laser diffraction system with the R7 lens (Sympatec Inc., Clausthal, Germany). The volume median diameter for the two nozzles was 140 µm (XR11001) and 196 µm (XR80020) at ~2.1 kg cm−2 (30 psi) using water as the spray liquid under room temperature conditions. For the swath assessment, tap water was used as the spray liquid. For spray drift assessment, three flight altitudes (i.e., 1.5 m, 2.5 m, and 4.0 m), two flight speeds (2.0 and 3.0 ms−1), and two nozzle types (i.e., XR11001 and XR8002) were used. The spray solution used for the spray drift trial was a 1000 ppm solution of Rhodamine WT (Antylia Scientific, Vernon Hills, IL, USA) in tap water. It is worth pointing out that the use of actual CP product for spray trails was out of the scope of the study. Tap water and tracer solution in tap water were used as spray liquid during the field trials, which may behave differently than the CP product tank mix due to the presence of actives and other co-formulants.

2.3. Experimental Details, Swath, and Drift Samplers

Experiments were conducted at Corteva Agriscience’s seed research facility located at Princeton, IL, USA. A grassed plot of ~1.5 ha at the research facility was used to conduct the field trials. The height of grass in the plot was <10 cm. For the swath assessment, water-sensitive paper (WSP) (Syngenta® Crop Protection Inc., Greensboro, NC, USA) was used as a sampler. WSP is a passive, artificial collector with a yellow surface coated with bromoethyl blue that turns blue when impacted by water staining the surface to mark the deposition. Wooden planks (cumulative length of ~8 m) were used to place WSP for swath study using double-sided tape. A total of 33 WSP samplers (size: 2.54 cm × 3.81 cm) were placed at a distance of 25 cm (Figure 2a) on the planks. During each pass, the UAAS would fly over the center of the planks’ arrangement with 16 WSP samplers on each side. Swath data were collected during morning hours (calm conditions) to negate the impact of ambient wind; however, in some treatments, there was a considerable amount of wind when trials were done in late morning hours. Each swath treatment was replicated three times. The WSPs were placed on the boards right before the spray application and left to dry for around 5–10 min. The papers were then collected and pasted onto a labeled sheet and stored into sealed envelopes for analysis later using suitable image processing software. Nitrile gloves (Kimberly-Clark, Irving, TX, USA) were used to place and collect the WSP samplers to prevent any moisture from being transferred to the cards while handling, leading to erroneous data.
For spray drift assessment, an area of 8 m × 60 m, perpendicular to the prevalent wind direction, was selected in the experimental site and identified as the spray zone (Figure 2b). Four passes of a specific UAAS platform were carried out in an A-B mode having a swath of 2 m. This was done to spray enough amount of the tracer (i.e., Rhodamine WT) so that it could be detected at the furthest sampling distance. Spray drift was quantified in terms of ground as well as airborne drift. Drift losses to the ground were quantified as the spray mix drifted downwind from the edge of the spray zone and got deposited on the ground samplers. Mylar plastic cards (50.8 cm × 50.8 cm) (Figure 2c) were used as ground samplers and were located at 5, 10, 20, 35, and 60 m downwind from the edge of the spray zone that constituted a single drift line. The drift line was replicated 3 times, and each drift line was at a distance of 5 m from the other drift line. After an individual spray, the mylar cards were left to dry for about 10 min and were collected individually into sealable plastic bags and transferred to a cooler in the field. The samplers were brought to the laboratory and kept in a cool (~1.7 °C) and dark place for later analysis using fluorometry.
Airborne drift losses were quantified using 4.5 m long nylon strings (ϕ = 1.5 mm) installed on custom-built masts. Since the maximum flight altitude tested in the study was 4.0 m, a slightly higher sampler altitude (i.e., 4.5 m) was utilized to capture the airborne drift. The customized masts (Figure 2d) with nylon string samplers were placed between the drift lines at 5 m from the edge of the field where sampling for ground drift started. After each treatment application, nylon string samplers were left to dry for about 10 min and were cut into three sections (0–1.5 m, 1.5–3.0 m, and 3–4.5 m) before each section was collected individually into sealable plastic bags. The bags were stored in a cooler in the field before transferring and storing them into a cool and dark place until fluorometry analysis, as mentioned previously.

2.4. Weather

Weather parameters, including wind speed, wind direction, air temperature, and relative humidity, were recorded using a Kestrel 5500 Weather meter installed on a tripod at ~2 m AGL. For the swath trial, the average temperature was in the range of 23–28 °C, the relative humidity was in the range of 42–64%, and wind speed was in the range of 0–2.2 m s−1 (i.e., 0–5 mph). Similarly, for the spray drift trial, the average temperature was in the range of 19–29 °C, the relative humidity was in the range of 43–88%, and the average wind speed was in the range of 1.0–5.0 m s−1 (i.e., 2.2–11.2 mph). The wind direction was within 90° ± 30° to the spray zone.

2.5. Determination of Effective Spray Swath

The spray pattern and effective spray swath were determined by measuring the spray coverage on individual WSP generated by the impact of spray flux hitting the samplers. While the traditional method, which conforms to ASABE standard S386, utilizes a series of three or four passes over the sampler before quantifying swath, this study utilized a single pass of UAAS over the samplers, which is more representative of what one would expect in a typical spray application scenario. The replicates under each set of swath treatments were averaged, and the average was analyzed for effective swath. The effective swath can be defined as the widest swath with a coefficient of variation (CV) of ≤25% within the total swath of a drone [25]. For example, if the total width of the spray flux of a platform is 8 m and CV of ≤25% is observed within 5 m, the effective swath for the platform under a given flight and other operating conditions would be 5 m. The CV in spray coverage on WSP was calculated using Equation (1).
CV ,   % = S X × 100
where, S is the standard deviation of the sample, and X is the mean of the coverage value of all the WSP samplers within the swath.

2.6. Coverage, Fluorometry and Data Analysis

The WSP samplers from the swath analysis trials were analyzed for coverage using DropletScan™ [31], an image processing-based software to evaluate WSP for spray coverage, droplet size, etc. Coverage was determined as the % area of the WSP sampler covered by blue stains due to the deposition of spray flux on it.
The deposition on mylar card (for ground drift) and nylon string (for airborne drift) samplers were evaluated using fluorometry. The samplers were washed with a known amount of deionized water (20 mL) and then agitated for ~2 min on a mechanical shaker. After that, two 10 mL aliquots of the rinsate were analyzed for tracer concentration (i.e., fluorescence) with a benchtop fluorometer (Model: Trilogy Laboratory Fluorometer, Turner Designs, San Jose, CA, USA) with a Rhodamine WT module. For samplers with higher concentration and fluorescence reading over the standard calibration curve, the rinsate was further diluted with a known volume of deionized water. The sample fluorescence data were normalized using calibration curves for Rhodamine WT (y = 9.6416 × x − 330.94, R2 = 0.9964), which was developed with stock solutions in the range of 0–5000 ppb. Prior to each drift trial, tank samples were collected, and fluorescence data were also normalized based on the tracer concentration of tank samples for each application event. For more details on fluorometry analysis, please refer to [10].
The spray drift potential was assessed in terms of relative drift, which is often represented in terms of the % of the applied rate. For example, if 0.1 g of dye total were applied per square meter during the application, and a sample resolved to 0.01 g of dye residue per square meter, that sample was 10% of the applied rate [32]. Equations (2) and (3) were used to calculate relative drift.
β d e p = ρ s m p l ρ b l k × F c a l     V d i i ρ s p r a y × A c o l
β d e p % = β d e p × 1000 β v
where, βdep = droplet deposition (µL cm−2), ρsmpl = fluorescence of sample, ρblk = fluorescence of blank, Fcal = calibration value (µg L−1), Vdii = volume of dilution liquid (L), ρspray = spray concentration (g L−1), Acol = area of collectors (cm2), βv = spray volume (L ha−1).
Swath data pertinent to different treatments were analyzed using MS excel with simple spray coverage-distance plots. Ground and airborne drift data were analyzed using analysis of variance (ANOVA) followed by post hoc multiple comparison of means using the Tukey’s Honest Significant Difference (HSD) test at a significance level of α = 0.05. Separate ANOVA models were run for “ground” and “airborne” drift losses with platform types, flight altitude, flight speed, nozzle type, downwind distance from the edge of the spray zone, and spray solution as fixed factors. In addition, sampler height AGL was also a fixed factor in ANOVA models for airborne drift losses. Statistical analysis was carried out in R (ver. 3.4.0, R Foundation for Statistical Computing, Vienna, Austria).

3. Results

3.1. Swath Assessment

The data for the single swath assessment of the two platforms (i.e., DJI AGRAS MG-1P and HSE AG V6A+) are shown in Figure 3 and Figure 4. It can be seen from the swath curves for both platforms that the total swath was >8 m as ~0% coverage was not observed at the end of the 8 m swath. Therefore, for future trials, it is recommended to use a swath sampler over a greater length (~10–12 m). For both the MG-1P and AG V6A+ platforms, there was a trend of reduced overall spray coverage with an increase in flight altitude. For example, a mean within swath coverage of 5.04 ± 0.74% (Mean ± Standard Error), 4.38 ± 0.67%, and 3.22 ± 0.45%, respectively, were observed for the MG-1P platform (with XR11001 nozzle) at a flight altitude of 1.5, 2.5, and 4.0 m. Similarly, the respective coverage values for HSE were 8.63 ± 1.02%, 7.58 ± 0.80%, and 4.47 ± 0.28%. The UAAS flights at a greater flight speed had a reduced mean within swath coverage compared to flying at a slower speed. For example, with XR11001 nozzles, the mean within swath coverage values were 5.04 ± 0.74% (Mean ± Standard Error), 4.38 ± 0.67%, and 3.22 ± 0.45%, respectively (for MG-1P flight at 2 ms−1), compared to 4.38 ± 0.68%, 2.85 ± 0.39%, and 2.51 ± 0.45%, respectively (for MG-1P at 3 ms−1). Similar trends were observed for the AG V6A+ platform and XR8002 nozzles.
The mean within swath coverage was the highest when flying closer to the target (i.e., at a flight altitude of 1.5 m). However, it was also observed that under such a scenario, there were significantly reduced coverage values on WSP samplers closer to the flight axis of the UAAS platforms. This created a bi-modal coverage peak within the swath and may indicate the inability of the platforms to deposit the spray right underneath the platform itself. This phenomenon was more prominent and evident for MG-1P compared to AG V6A+. For example, the twin coverage peaks in the swath for MG-1P were 13.38% and 13.22% (XR11001 nozzles, 2 m s−1), 14.65% and 11.43% (XR11001 nozzles, 3 ms−1), 10.81% and 10.79% (XR8002 nozzles, 2 m s−1), and 8.34% and 9.46% (XR8002 nozzles, 3 ms−1) (Figure 3). Such observations can be attributed to the fact that flying closer to the target (i.e., 1.5 m) may not have allowed enough time for the droplets to disperse before hitting the target.
These results may indicate that increased flight altitude may reduce within swath coverage due to a smaller proportion of the spray flux hitting the target. It has been established for a number of application techniques that the higher the droplet release point, the greater the off-target movement of spray droplets. Therefore, flying closer to the target would allow more deposition within the swath. It can also be inferred that nozzle placement may have an impact on the overall swath. With nozzle placement on a boom, the crest and trough effect may be minimized.
The spray patterns obtained using WSP samplers for the two platforms under different spraying conditions were also analyzed for the coefficient of variability (CV). The CV values for spray coverage for different theoretical swath values for the two platforms are shown in Figure 5. Several researchers have used a CV of ≤25% within a swath to be acceptable for an effective spray application which was also used as an indicator for assessing the uniformity of application within a swath. Very high variability within the swath was observed for all the studied treatments pertaining to MG-1P (Figure 5a). The manufacturer of MG-1P reports the swath to be 4.0–6.0 m when flying at 3.0 m AGL. However, in this study, none of the treatments under study had an acceptable CV considering a swath of 4.0–6.0 m. If considering an effective swath of 4.0 m, the CV values were observed to be in the range of ~36–61% (with XR11001 nozzles) and ~30–59% (with XR8002 nozzles). Similarly, considering an effective swath of 6.0 m, the CV values were in the range of ~40–73% (with XR11001 nozzles) and 48–74% (with XR8002 nozzles). It was also observed that the minimum within swath variability for MG-1P was under the conditions of maximum flight altitude and greater flight speed when utilizing a smaller droplet spectrum. However, when utilizing a relatively coarser droplet spectrum, minimum variability within the swath was observed when flying closer to the target at a higher flight speed. For example, considering a 4.0 m effective swath, the minimum variability observed was ~36% when flying at 4.0 m flight altitude (XR11001 nozzles, 3 m s−1) (Figure 5a). Considering the same swath with XR8002 nozzles, the minimum variability (i.e., ~31%) was observed when flying at 1.5 m AGL and 3 m s−1. Similarly, considering a 6.0 m effective swath, the corresponding CV values were ~40% and 48%.
Similar to the MG-1P platform, the theoretical swath for the AG V6A+ platform is reported to be ~4.0–6.0 m (by the manufacturer) when flying at an altitude of about 3.0 m AGL. For the AG V6A+ platform, CV values were slightly lower than the MG-1P platform (Figure 5b). If considering an effective swath of 4.0 m, the CV values were in the range of ~22–52% under different treatment conditions. Similarly, for a 6.0 m effective swath, the CV values were in the range of ~27–66%. At 4.0 and 6.0 m effective swath, the minimum CV (~22% and 28%, respectively) were observed when flying at a higher flight altitude (i.e., 4.0 m) when using XR11001 nozzles. Similarly, when utilizing XR8002 nozzles, minimum CV values were observed to be ~23% and ~35% considering an effective swath of 4.0 m and 6.0 m, respectively.
These results may indicate that different UAAS platforms (with different nozzle arrangements) behave differently in terms of spray uniformity. A nozzle-under-the-rotor arrangement (i.e., MG-1P) may have a greater variability compared to a UAAS having a nozzles-on-a-boom arrangement (i.e., AG V6A+). It can also be inferred that flying higher with a relatively smaller droplet spectrum may be more advantageous to achieve better uniformity within the swath. With a nozzle-under-rotors assembly, a comparatively larger droplet spectrum may be required to obtain a greater uniformity when flying closer to the target; however, this may not be true for a nozzles-on-a-boom arrangement.

3.2. Drift Assessment (Ground)

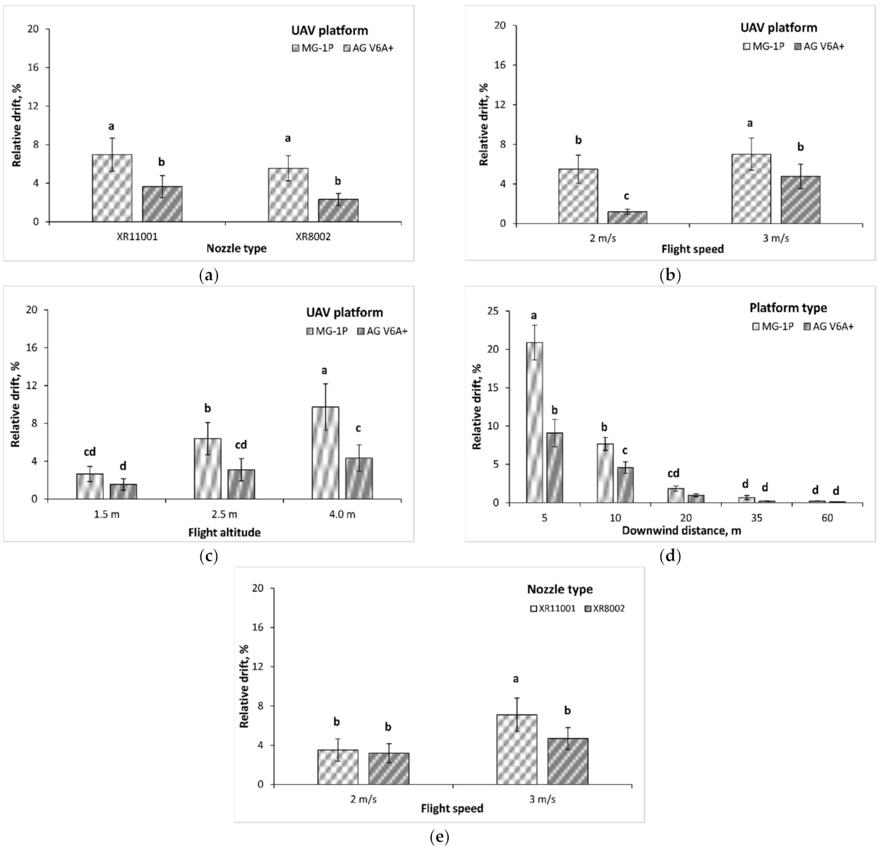
ANOVA indicated significant differences in ground drift for the UAAS, nozzle, flight altitude, flight speed and downwind distance as the main effects (F1, 240 = 64.4, p < 0.001; F1, 240 = 11.3, p < 0.001; F2, 240 = 49.1, p < 0.001; F1, 240 = 38.9, p < 0.001 and F4, 240 = 189.9, p < 0.001, respectively). The MG-1P platform with nozzles placed under the rotors had significantly higher overall ground drift (6.25 ± 0.76% [Mean ± Standard Error]) compared to AG V6A+ (2.99 ± 0.46%) with nozzles-on-a-boom arrangement. Similarly, notwithstanding the impact of other main effects, it was observed that flying at a higher flight speed generated significantly higher ground drift (5.89 ± 0.72% at 3 m s−1 compared to 3.35 ± 0.57% at 2 m s−1). It was also observed that spraying with comparatively larger droplets (3.94 ± 0.52% using XR8002 nozzles) generated ~26% lesser ground drift compared to spraying with comparatively smaller droplets (5.31 ± 0.73% using XR1101 nozzles). Notwithstanding other main effects, the ground drift was significantly impacted by flight altitude. Flying at a 4.0 m altitude generated a significantly higher amount of ground drift (7.03 ± 1.03%) compared to 2.5 m (4.74 ± 0.75%) and 1.5 m (2.09 ± 0.36%) flight altitude.
While no significant interaction was observed between UAAS platform and nozzle type main effects (F1,240 = 0.01, p = 0.91), a significantly lower ground drift was observed for AG V6A+ compared to MG-1P under each nozzle type treatment (Figure 6a). However, there were significant interactions between UAAS platform and flight speed (F1, 240 = 6.42, p = 0.01), UAAS platform and flight altitude (F2, 240 = 9.22, p < 0.001), nozzle type and flight speed (F1, 240 = 6.67, p = 0.01), and UAAS platform and downwind distance (F4, 240 = 29.14, p < 0.001) main effects. For the UAAS platform and flight speed main effects, it was observed that increasing flight speed from 2 m s−1 to 3 m s−1 increased the overall ground drift for both platforms. It was also observed that increasing flight speed from 2 m s−1 to 3 m s−1 accounted for a greater change in overall ground drift for a boom-based nozzle arrangement (i.e., AG V6A+) compared to a nozzle-under-rotor design (i.e., MG-1P) (Figure 6b). Similarly, for the UAAS platform and flight altitude main interaction (Figure 6c), it was observed that increasing flight altitude significantly increased overall ground drift for both the UAAS platforms. However, this effect was more prominent for MG-1P with a nozzle-under-rotor arrangement compared to AG V6A+ with a nozzles-on-a-boom arrangement. For example, while flying closer to the target (i.e., 1.5 m) had statistically similar ground drift for both platforms, increasing flight altitude (i.e., 2.5 m and 4.0 m) resulted in greater and statistically significant differences in drift for the two platforms.
Furthermore, for the nozzle type and flight speed significant main interaction (Figure 6e), it was observed that no significant difference was observed when flying slower (i.e., 2 m s−1); however, increasing the flight speed (i.e., 3 m s−1) resulted in a significantly higher overall ground drift with a relatively smaller droplet size (i.e., XR11001, VMD 140 µm) compared to XR8002 nozzles with a slightly higher average droplet size (VMD 196 µm). Considering the interaction between the UAAS platform and downwind distance main effects (Figure 6d), it was observed that significant ground drift differences between platform types were observed. While data trends suggested that a UAAS platform with nozzle-under-rotor arrangement had numerical differences in ground drift for all the sampled distances, significant differences were observed only up to 10 m from the edge of the spray zone.
Standard ground drift curves for the two platforms have been shown in Figure 7. The drift curves are shown only for treatments pertinent to 3 ms−1 flight speed, which had a significantly higher ground drift compared to the corresponding treatments at 2 ms−1. While the data pertinent to 2 ms−1 has not been shown, the results with 2 ms−1 flight speed followed more or less a similar trend as 3 ms−1 flight speed. It can be observed from the ground drift curves for both the platforms that a considerably higher amount of ground drift was generated when using a nozzle with a relatively smaller droplet spectrum (i.e., XR11001, VMD 140 µm) compared to XR8002 (VMD 196 µm) which had a slightly greater average droplet size. The maximum ground drift for the MG-1P platform (~39%) was observed when flying at 4.0 m AGL using an XR11001 nozzle. With reduced flight altitude, the overall ground drift reduced to ~33% and ~4.0%, respectively, at 2.5 and 1.5 m flight altitude. For the AG V6A+ platform as well, the highest ground drift (~28%) was observed at a 5.0 m downwind distance when flying at 4.0 m AGL. With reduced flight altitude, the overall ground drift reduced to ~22% and ~12%, respectively, at 2.5 and 1.5 m flight altitudes. It was also observed that flying with XR11001 nozzles, a considerable amount of ground drift was observed even beyond 30–40 m downwind distance with MG-1P (Figure 7a). However, this did not seem to be the case for AG V6A+, and most of the ground drift was contained well within 30 m downwind distance. A critical role in mitigating ground drift was played by nozzle type for both platforms. For example, drift reduction of about 77% (at 1.5 m AGL), 48% (at 2.5 m AGL), and 54% (at 4.0 m AGL) were observed at 5.0 m downwind distance for AG V6A+ platform by using XR8002 nozzles instead of XR11001 nozzles (Figure 7b). Similar trends were observed for MG-1P platform where a drift reduction of about 37% (at 2.5 m AGL) and 30% (at 4.0 m AGL) were observed by utilizing XR8002 nozzles instead of XR11001 nozzles. However, the estimated ground drift at 1.5 m AGL increased by ~294% when using XR8002 nozzles compared to XR11001 nozzles (Figure 7a). Such anomaly in ground drift data may be explained by weather data collected during the field trials. It was observed that the wind speed during XR11001-1.5 m treatment was about 1.2 m s−1, while for XR8002-1.5 m treatment, it was about 5.1 m s−1. Similar explanations may hold valid for ground drift data at 35 m downwind distance for MG-1P at 2.5 m and 4.0 m. It can be observed that UAAS flight at 2.5 m AGL had a considerably higher amount of ground drift (3.71%) compared to flight at 4.0 m AGL (0.95%). Since all the field trials were conducted under acceptable wind conditions, the data were not normalized in any way for varying wind or weather conditions.

3.3. Drift Assessment (Airborne)

Similar to the results observed for ground drift, significant differences in airborne drift for the UAAS type, nozzle, flight altitude, flight speed and sampler height as the main effects (F1, 72 = 80.6, p < 0.001, F1, 72 = 106.3, p < 0.001, F2, 72 = 44.3, p < 0.001, F1, 72 = 150.1, p < 0.001 and F2, 72 = 105.5, p < 0.001, respectively) were indicated by ANOVA. A significantly higher overall airborne drift (8.64 ± 1.36%) was observed for the MG-1P platform with nozzles placed under the rotors compared to AG V6A+ (4.05 ± 0.67%) with nozzles on a boom arrangement. Similarly, notwithstanding the impact of other main effects, it was observed that flying at a higher flight speed generated significantly higher airborne drift (9.60 ± 1.41% at 3 m s−1 compared to 3.19 ± 0.41% at 2 m s−1). It was also observed that spraying with comparatively larger droplets generated ~59.3% lesser airborne drift (3.70 ± 0.47% using XR8002 nozzles) compared to spraying with comparatively smaller droplets (9.09 ± 1.42% using XR1101 nozzles). Notwithstanding other main effects, flight altitude significantly impacted airborne drift. Overall, flight at 4.0 m AGL generated a significantly higher amount of airborne drift (8.64 ± 1.49%) compared to 2.5 m (7.58 ± 1.66%) and 1.5 m AGL (2.97 ± 0.40%).
Similar to the results obtained for ground drift, significant two-way interactions were observed for UAAS type and nozzle (F1, 72 = 14.1, p < 0.001) (Figure 8a), UAAS type and flight altitude (F2, 72 = 11.5, p < 0.001), and nozzle type and flight speed (F1, 72 = 66.9, p < 0.001) (Figure 8b). For the UAAS type and nozzle main effect interaction, it was observed that using XR8002 nozzles generated significantly lower airborne drift compared to XR11001 nozzles. In addition, the larger the droplet size, the smaller the difference in airborne drift between the two platforms. For the nozzle type and flight speed main effect interaction, a significantly higher airborne drift was observed when flying faster for both the nozzles (Figure 8b). However, it was also observed that such effect was more prominent when utilizing XR11001 (VMD 140 µm) compared to XR8002 nozzles (VMD 196 µm). Similarly, for the UAAS platform and flight altitude main interaction (Figure 8c), it was observed that increasing flight altitude significantly increased overall airborne drift for both the UAAS platforms. However, this effect was more prominent for MG-1P with a nozzle-under-rotor arrangement compared to AG V6A+ with a nozzle-on-a-boom arrangement. For example, while flying closer to the target (i.e., 1.5 m AGL) had statistically similar airborne drift for both platforms, increasing flight altitude (i.e., 2.5 m and 4.0 m AGL) resulted in greater and statistically significant differences in airborne drift for the two platforms. While UAAS type and flight speed main effects interaction was not significant (F1, 240 = 0.01, p = 0.91), flying at a higher speed (i.e., 3 m s−1) resulted in overall greater airborne drift for a specific UAAS platform (Figure 8d).
Typical airborne drift curves for the two UAAS platforms (i.e., MG-1P and AG V6A+) at 3 ms−1 flight speed have been shown in Figure 9. It can be observed that a major portion of the spray flux from both the platforms moved downward, causing the highest deposition on the sampler located at an height of 0–1.5 m. With an increased sampler height, the proportion of flux captured by the sampler was reduced for all the treatments. The highest airborne drift for MG-1P (~51%) was observed along the sampler height of 0–1.5 m when flying at 4.0 m AGL (Figure 9a). Similarly, the highest airborne drift for AG V6A+ (~22%) was observed along the same sampler height (i.e., 0–1.5 m) when flying at 4.0 m AGL (Figure 9b). A considerable amount of airborne spray flux was observed at the maximum sampling altitude for both the MG-1P (~5.2%) and AG V6A+ platforms (~5.1%) when utilizing XR11001 nozzles (VMD 140 µm). However, when utilizing a nozzle with comparatively larger droplets (i.e., XR8002, VMD 196 µm), the airborne drift captured along 3.0–4.5 m sampler height was considerably reduced for both MG-1P (~2.9%) and AG V6A+ (0.8%) platforms (Figure 9). It was interesting to observe that for the MG-1P platform, the airborne drift along 1.5–3.0 m sampler height was greater for 2.5 m compared to 4.0 m flight altitude. Similar results were obtained for ground drift which confirms the notion that a wind gust while sampling may have generated such a trend in the data.
These results may indicate that the design of a UAAS platform may impact the total spray flux that is airborne, and a nozzle-on-a-boom arrangement of nozzles may reduce the overall airborne spray drift. In addition, increasing the droplet size may reduce the overall airborne drift as smaller droplets easily get trapped in air currents and be airborne for a longer period of time after their release from the nozzle. The results also indicate that flying closer to the target reduces the overall airborne drift considerably, which is always considered a good strategy to mitigate overall spray drift.

4. Discussion

The overall goal of this study was to evaluate different UAAS platforms for their spray performance in terms of effective swath and spray drift as impacted by different design and operating parameters. Since this technology is relatively new in the area of pesticide application technology, it is highly imperative that such studies be carried out to generate relevant data around this technology. The major issue with commercial UAAS platforms is the non-standardization of platform design. It has been established previously [25] that different UAAS platforms may have different spray performance due to design changes. Even a small change in platform design changes the aerodynamics around the platform and significantly impacts the interaction between rotor downwash and spray flux released by the nozzle. It is hypothesized that even a small change in this interaction would impact the spray performance of the UAAS platform.
Such a phenomenon was also observed with the different platforms (i.e., MG-1P and AG V6A+) used in this study. The two platforms were different in their design in terms of the nozzle arrangement. While MG-1P had nozzles-under-rotor arrangement, AG V6A+ had a nozzle-on-a-boom arrangement. The data indicated that both the platforms had a very high variability within the swath based on a single pass spray over the swath samplers. The manufacturers of both platforms use spray width as a term for swath and indicate a swath of 4.0–6.0 m when flying around 3 m from the target. However, there is no mention of the variability within the swath, which is an extremely important parameter when looking at the uniformity and effectiveness of the application technology. In considering an acceptable variability of ≤25%, it was observed that none of the MG-1P treatments had an acceptable variability within the swath when considering an effective swath of 4.0–6.0 m, as indicated by the manufacturer. It was also observed that flying at a higher altitude may be beneficial for getting better uniformity within the swath. For example, AG V6A+ has ≤25% considering a swath of 4.0–6.0 m when flying at 4.0 m. It is understandable as flying higher provides ample time for the spray flux to disperse before getting deposited on the target. However, flying higher has also been reported to generate a greater amount of drift [33] and was also confirmed by this study. Spray drift is an important parameter that would govern the adoption of this technology for pesticide application, especially in regions with strict regulations (such as the USA, Canada, and the European Union). Therefore, for such technologies to be adopted in these regions, the platform would have to fly closer to the target. However, in that scenario, this study showed that the UAAS platforms were not able to effectively deposit spray right underneath the flight path and had a very high and unacceptable variability. Such high variability may be responsible for over- and under-application of a CP product within a swath. This may give rise to resistance in the targeted insect–pests–weeds. For example, it has been reported that resistance can develop in Amaranthus palmeri due to sub-lethal mesotrione rates [34]. Similar results were observed by Neve and Powels [35] when looking at low herbicide use rates of diclofop-methyl on Lolium rigidum. Therefore, it is highly critical to have some design modifications in the current UAAS platforms to allow for optimizing nozzle placement. The AG V6A+ platform allows it to a certain degree with nozzles-on-a-boom arrangement; however, moving the nozzle closer to the center of the UAAS is not a possibility as it would cause spray obstruction by the UAAS landing gears.
For within swath deposition, it was observed that even a low-speed wind (2–3 m s−1) might cause some swath displacement downwind. This phenomenon may not be that concerning when spraying an entire field using UAASs. It is also well known that performing spot-spraying with UAASs may be the way forward for this technology in regions with large acreage (e.g., USA, Canada, European Union, etc.). However, the swath displacement phenomenon, even under low-wind conditions (outlined before), may not allow spot-spraying unless there is a real-time feedback mechanism for the UAASs to correct their position based on their flight altitude, wind speed and direction, and the distance from the target spot. Future studies are also recommended to validate and understand this swath displacement phenomenon in the field.
The drift data (both ground and airborne) was in line with most of the reported studies on spray drift assessment for different technologies for pesticide application. While no study, to the best of our knowledge, has evaluated nozzle placement relative to the rotor in a UAAS on its impact on spray drift, this study clearly shows that using a nozzle-on-a-boom arrangement (such as in AG V6A+) generated a significantly lesser amount of ground as well as airborne drift compared to a nozzle-under-rotor arrangement (such as in MG-1P). This may be attributed to any unstudied aerodynamic changes that may occur with different nozzle arrangement relative to the UAAS rotors. It is highly recommended that future studies must be carried out to look into this phenomenon. This current study utilized two different nozzles (i.e., XR11001 [VMD 140 µm] and XR8002 [VMD 196 µm]), with the former having a comparatively smaller average droplet size. It was observed that even a slight increase in the droplet VMD (140 µm for XR11001 and 196 µm for XR8002, spectrum generated using water at 2.1 kg cm−2) significantly reduced both the ground and airborne drift. Similar results were reported by Wang et al. [36] when evaluating three different VMD (i.e., 100, 150, and 200 µm) for their drift potential under UAAS-based spraying. Under similar spraying conditions, a VMD of 100 µm generated greater drift compared to a 150 µm and 200 µm VMD. It has also been reported [28] that ground drift losses under UAAS-based spraying in a vineyard were significantly impacted by the nozzle types (conventional vs. air-induction) and UAAS flight speed (1 m s−1 vs. 3 m s−1). Interestingly, it was also observed that using a nozzles-on-a-boom arrangement and flying slower had a significantly reduced amount of spray drift. It was reported [28] that flying faster with a coarser nozzle increased ground drift when compared to conventional nozzles with smaller droplet size. This was different from what was reported in the study and may be attributed to differences in platform types that were utilized in the two studies. Overall, typical UAAS platforms would need to fly closer to the canopy to have an acceptable spray drift profile (both airborne and ground). However, this may increase the within swath variability and cause an ineffective or poor-quality application. Therefore, the foremost concern will be to customize or optimize a platform to give an acceptable CV (i.e., ≤25%) within the swath when flying closer to the canopy. In addition, subsequently, spray drift may be mitigated by using a coarser droplet spectrum or flying under favorable wind conditions. Another approach for drift mitigation would be to use a drift-reducing adjuvant (DRA) in the tank mix to increase the VMD and reduce the number of driftable fines in the droplet spectrum. Future studies are highly recommended to generate such data with common DRAs commercially available in the market.

5. Conclusions

The spray performance of two commercial UAAS platforms was evaluated in terms of spray swath and drift. Following are the conclusions from this study:
  • WSP samplers can be used as a quick method to quantify swath for UAAS application. Future efforts should include the investigation of other cheaper samplers (e.g., filter paper) for swath determination to make this methodology more accessible to UAAS operators/owners.
  • Both the platforms (i.e., MG-1P and AG V6A+) were observed to have a highly variable swath. However, for the AG V6A+ platform with a boom, data suggested an effective swath of 4–5 m when flying at a lower speed (2 ms−1) and the highest flight altitude (i.e., 4 m AGL).
  • Swath data indicated the inability of both the platforms to spray right below the center of the platform at lower flight altitude. Future investigations are recommended to utilize a custom-made boom and explore this issue further.
  • Flying slower and using a relatively coarser droplet spectrum provided reduced drift (both ground and airborne).
  • Data indicated that a boom type application may have lower drift potential. Future investigations are suggested to validate this.

Author Contributions

Conceptualization, R.S. and R.B.; methodology, R.S., R.B., K.P. and J.J.; formal analysis, R.S. and K.P.; investigation, R.S., K.P., J.J., A.M. and E.W.; resources, R.B., J.J. and E.W.; writing—original draft preparation, R.S. and K.P.; writing—review and editing, R.S., R.B., K.P., J.J., A.M. and E.W.; supervision, R.S. and R.B. All authors have read and agreed to the published version of the manuscript.

Funding

The research has no external funding.

Institutional Review Board Statement

Not applicable.

Informed Consent Statement

Not applicable.

Data Availability Statement

Not applicable.

Acknowledgments

The study was funded by Product Science and Technology Group, Corteva Agriscience as a part of Corteva Agriscience’s summer internship program. The authors express their sincere gratitude to the staff and summer helpers at Corteva Agriscience’s center located at Princeton, IL, USA.

Conflicts of Interest

The authors declare no conflict of interest.

References

  1. Fox, R.D.; Derksen, R.C.; Zhu, H.; Brazee, R.D.; Svensson, S.A. A history of air–blast sprayer development and future prospects. Trans. ASABE 2008, 51, 405–410. [Google Scholar] [CrossRef]
  2. Penny, A.J.; Kandel, Y.R.; Viggers, J.N.; Robertson, A.E.; Mueller, D.S. Comparison of airborne and ground sprayer fungicide application technologies on canopy coverage, disease severity, lodging, and yield of corn. Crop Prot. 2021, 139, 105393. [Google Scholar] [CrossRef]
  3. Herbst, A.; He, X. A survey on knapsack sprayers and their use in China. Asp. Appl. Biol. 2008, 86, 329–336. [Google Scholar]
  4. Cross, J.V.; Walklate, P.J.; Murray, R.A.; Richardson, G.M. Spray deposits and losses in different sized apple trees from axial fan orchard sprayers: 1. Effects of liquid flow rate. Crop Prot. 2001, 20, 13–30. [Google Scholar] [CrossRef]
  5. Sinha, R.; Ranjan, R.; Bahlol, H.Y.; Khot, L.R.; Hoheisel, G.A.; Grieshop, M.J. Development and performance evaluation of a pneumatic solid set canopy delivery system for high-density apple orchards. Trans. ASABE 2020, 63, 37–48. [Google Scholar] [CrossRef]
  6. Panneton, B.; Lacasse, B.; Piche, M.; Theriault, R. Pollution reduction from a spray recovery sprayer. Paper (No. 061123). In Proceedings of the ASABE International Meeting, Tampa, FL, USA, 17–20 July 2005. Article 20627. [Google Scholar]
  7. Panneton, B.; Lacasse, B.; Theriault, R. Penetration of spray in apple trees as a function of airspeed, airflow, and power for tower sprayers. Can. Biosyst. Eng. 2005, 47, 2–13. [Google Scholar]
  8. Zhang, Z.; Zhu, H.; Guler, H.; Shen, Y. Improved premixing in-line injection system for variable-rate orchard sprayers with Arduino platform. Comput. Electron. Agric. 2019, 162, 389–396. [Google Scholar] [CrossRef]
  9. Joseph, S.V.; Bolda, M. Evaluating the potential utility of an electrostatic sprayer and a tractor-mounted vacuum machine for Lygus hesperus (Hemiptera: Miridae) management in California’s coastal strawberry. Crop Prot. 2018, 113, 104–111. [Google Scholar] [CrossRef]
  10. Sinha, R.; Khot, L.R.; Hoheisel, G.A.; Grieshop, M.J.; Bahlol, H.Y. Feasibility of a Solid set canopy delivery system for efficient agrochemical delivery in vertical shoot position trained vineyards. Biosyst. Eng. 2019, 179, 59–70. [Google Scholar] [CrossRef]
  11. Imperatore, G.; Ghirardelli, A.; Strinna, L.; Baldoin, C.; Pozzebon, A.; Zanin, G.; Otto, S. Evaluation of a Fixed Spraying System for Phytosanitary Treatments in Heroic Viticulture in North-Eastern Italy. Agriculture 2021, 11, 833. [Google Scholar] [CrossRef]
  12. Ranjan, R.; Sinha, R.; Khot, L.R.; Hoheisel, G.A.; Grieshop, M.J.; Ledebuhr, M. Spatial distribution of spray from a solid set canopy delivery system in a high-density apple orchard retrofitted with modified emitters. Appl. Sci. 2021, 11, 709. [Google Scholar] [CrossRef]
  13. Sinha, R.; Ranjan, R.; Khot, L.R.; Hoheisel, G.A.; Grieshop, M.J. Comparison of within canopy deposition for a solid set canopy delivery system (SSCDS) and an axial–fan airblast sprayer in a vineyard. Crop Prot. 2020, 132, 105124. [Google Scholar] [CrossRef]
  14. Sinha, R.; Ranjan, R.; Khot, L.R.; Hoheisel, G.A.; Grieshop, M.J. Drift potential from a solid set canopy delivery system and an axial-fan air-assisted sprayer during applications in grapevines. Biosyst. Eng. 2020, 188, 207–216. [Google Scholar] [CrossRef]
  15. Chandel, A.K.; Khot, L.R.; Sallato, B. Apple powdery mildew infestation detection and mapping using high-resolution visible and multispectral airborne imaging technique. Sci. Hortic. 2021, 287, 110228. [Google Scholar] [CrossRef]
  16. Su, J.; Yi, D.; Coombes, M.; Liu, C.; Zhai, X.; McDonald-Maier, K.; Chen, W. Spectral analysis and mapping of blackgrass weed by leveraging machine learning and UAAS multispectral imagery. Comput. Electron. Agric. 2022, 192, 106621. [Google Scholar] [CrossRef]
  17. Chakraborty, M.; Khot, L.R.; Peters, R.T. Assessing suitability of modified center pivot irrigation systems in corn production using low altitude airborne imaging techniques. Inf. Process. Agric. 2019, 7, 41–49. [Google Scholar]
  18. Sinha, R.; Quiros, J.J.; Sankaran, S.; Khot, L.R. High resolution airborne photogrammetry-based 3D mapping of fruit crop canopies for precision inputs management. Inf. Process. Agric. 2022, 9, 11–23. [Google Scholar]
  19. Huang, Y.; Hoffmann, W.C.; Lan, Y.; Wu, W.; Fritz, B.K. Development of a spray system for an unmanned airborne vehicle platform. Appl. Eng. Agric. 2009, 25, 803–809. [Google Scholar] [CrossRef]
  20. Wang, Z.; Lan, Y.; Hoffmann, W.C.; Wang, Y.; Zheng, Y. Low altitude and multiple helicopter formation in precision agriculture. In Proceedings of the American Society of Agricultural and Biological Engineers, Kansas City, MO, USA, 21–24 July 2013. Paper No. 13-1618681. [Google Scholar]
  21. Giles, D.K.; Billing, R. Unmanned airborne platforms for spraying: Deployment and performance. Asp. Appl. Biol. 2014, 12, 63–69. [Google Scholar]
  22. Lou, Z.; Xin, F.; Han, X.; Lan, Y.; Duan, T.; Fu, W. Effect of Unmanned Aerial Vehicle Flight Height on Droplet Distribution, Drift and Control of Cotton Aphids and Spider Mites. Agronomy 2018, 8, 187. [Google Scholar] [CrossRef]
  23. Giles, D.K.; Billing, R.C. Deployment and Performance of a UAV for crop spraying. Chem. Eng. Trans. 2015, 44, 307–312. [Google Scholar]
  24. Liu, Y.; Li, L.; Liu, Y.; He, X. Assessment of spray deposition and losses in an apple orchard with an unmanned agricultural aircraft system in China. Trans ASABE 2020, 63, 619–627. [Google Scholar] [CrossRef]
  25. Martin, D.E.; Woldt, W.E.; Latheef, M.A. Effect of application height and ground speed on spray pattern and droplet spectra from remotely piloted aerial application systems. Drones 2019, 3, 83. [Google Scholar] [CrossRef]
  26. Herbst, A.; Bonds, J.; Wang, Z.; Zeng, A.; He, X.; Goff, P. The influence of unmanned agricultural aircraft system design on spray drift. J. Für Kult. 2020, 72, 1–11. [Google Scholar]
  27. Wang, C.; Herbst, A.; Zeng, A.; Wongsuk, S.; Qiao, B.; Qi, P.; Bonds, J.; Overbeck, V.; Yang, Y.; Gao, W.; et al. Assessment of spray deposition, drift and mass balance from unmanned aerial vehicle sprayer using an artificial vineyard. Sci. Total Environ. 2021, 777, 146181. [Google Scholar] [CrossRef]
  28. Biglia, A.; Grella, M.; Bloise, N.; Comba, L.; Mozzanini, E.; Sopengo, A.; Pitarello, M.; Dicembrini, E.; Eloi Alcatrao, L.; Guglieri, G.; et al. UAV-spray application in vineyards: Flight modes and spray system adjustment effects on canopy deposit, coverage, and off-target losses. Sci. Total Environ. 2022, 845, 157292. [Google Scholar] [CrossRef]
  29. Qin, W.; Xue, X.; Zhang, S.; Gu, W.; Wang, B. Droplet deposition and efficiency of fungicides sprayed with small UAV against wheat powdery mildew. Int. J. Agric. Biol. 2018, 11, 27–32. [Google Scholar] [CrossRef]
  30. Qin, W.; Qiu, B.; Xue, X.; Chen, C.; Xu, Z.; Zhou, Q. Droplet deposition and control effect of insecticides sprayed with an unmanned aerial vehicle against plant hoppers. Crop Prot. 2016, 85, 79–88. [Google Scholar] [CrossRef]
  31. Whitney, R.W.; Gardisser, D.R. Dropletscan Operators Manual; WRK of Oklahoma and WRK of Arkansas: Stillwater, OK, USA, 2003. [Google Scholar]
  32. Grieshop, M.J.; Emling, J.; Ledebuhr, M. Re-envisioning agrichemical input delivery: Solid Set Delivery Systems for high density fruit production, impacts on off-target deposition. In Proceedings of the American Society of Agricultural and Biological Engineers, Detroit, MI, USA, 29 July–1 August 2018. ASABE Paper No. 1800515. [Google Scholar]
  33. Kruger, G.R.; Klein, R.N.; Ogg, C.L.; Vieira, B.C. Spray Drift of Pesticides. 2019. Available online: https://extensionpublications.unl.edu/assets/pdf/g1773.pdf (accessed on 26 July 2022).
  34. Neve, P.; Powles, S. Recurrent selection with reduced herbicide rates results in the rapid evolution of herbicide resistance in Lolium rigidum. Theor. Appl. Genet. 2005, 110, 1154–1166. [Google Scholar] [CrossRef]
  35. Norsworthy, J.K.; Varanasi, V.K.; Bagavathainnan, M.; Brabham, C. Recurrent Selection with Sub-Lethal Doses of Mesotrione Reduces Sensitivity in Amaranthus palmeri. Plants 2021, 10, 1293. [Google Scholar] [CrossRef]
  36. Wang, G.; Han, Y.; Li, X.; Andaloro, J.; Chen, P.; Hoffman, W.C.; Han, X.; Chen, S.; Lan, Y. Field evaluation of spray drift and environmental impact using an agricultural unmanned aerial vehicle (UAV) sprayer. Sci. Total Environ. 2020, 737, 139793. [Google Scholar] [CrossRef]
Figure 1. Schematics of (a) DJI MG-1P (nozzles-under-rotor arrangement) and (b) HSE AG V6A (nozzles-on-a-boom arrangement) showing rotor configurations and nozzle locations corresponding to the rotors (pattern with dashed lines represents theoretical spray pattern from a nozzle).
Figure 1. Schematics of (a) DJI MG-1P (nozzles-under-rotor arrangement) and (b) HSE AG V6A (nozzles-on-a-boom arrangement) showing rotor configurations and nozzle locations corresponding to the rotors (pattern with dashed lines represents theoretical spray pattern from a nozzle).
Drones 06 00281 g001
Figure 2. Schematics (not drawn to scale) of plot and sampler layout for (a) swath and (b) drift assessment. The drift assessment samplers for (c) ground and (d) airborne drift are also shown in the figure.
Figure 2. Schematics (not drawn to scale) of plot and sampler layout for (a) swath and (b) drift assessment. The drift assessment samplers for (c) ground and (d) airborne drift are also shown in the figure.
Drones 06 00281 g002
Figure 3. Swath data (average of 3 replicates) for MG 1P (nozzles-under-rotor arrangement) under different treatment scenario at speeds (a) 2 m s−1 and (b) 3 m s−1 (0 m coincides with the UAAS flight line; XR11001 and XR8002 have a very fine [VMD 140 µm] and fine [VMD 196 µm] droplet spectrum, respectively; error bars represent standard error of the mean values).
Figure 3. Swath data (average of 3 replicates) for MG 1P (nozzles-under-rotor arrangement) under different treatment scenario at speeds (a) 2 m s−1 and (b) 3 m s−1 (0 m coincides with the UAAS flight line; XR11001 and XR8002 have a very fine [VMD 140 µm] and fine [VMD 196 µm] droplet spectrum, respectively; error bars represent standard error of the mean values).
Drones 06 00281 g003
Figure 4. Swath data (average of 3 replicates) for MG 1P (nozzle-on-a-boom arrangement) under different treatment scenario at speeds (a) 2 m s−1 and (b) 3 m s−1 (0 m coincides with the UAAS flight line; XR11001 and XR8002 have a very fine [VMD 140 µm] and fine [VMD 196 µm] droplet spectrum, respectively; error bars represent standard error of the mean values).
Figure 4. Swath data (average of 3 replicates) for MG 1P (nozzle-on-a-boom arrangement) under different treatment scenario at speeds (a) 2 m s−1 and (b) 3 m s−1 (0 m coincides with the UAAS flight line; XR11001 and XR8002 have a very fine [VMD 140 µm] and fine [VMD 196 µm] droplet spectrum, respectively; error bars represent standard error of the mean values).
Drones 06 00281 g004
Figure 5. Coefficient of variability (CV, %) for (a) DJI MG-1P (nozzles-under-rotor arrangement) and (b) HSE AG V6A+ (nozzle-on-a-boom arrangement) under different flight and operating conditions (XR11001 and XR8002 have a very fine [VMD 140 µm] and fine [VMD 196 µm] droplet spectrum, respectively).
Figure 5. Coefficient of variability (CV, %) for (a) DJI MG-1P (nozzles-under-rotor arrangement) and (b) HSE AG V6A+ (nozzle-on-a-boom arrangement) under different flight and operating conditions (XR11001 and XR8002 have a very fine [VMD 140 µm] and fine [VMD 196 µm] droplet spectrum, respectively).
Drones 06 00281 g005
Figure 6. Plots showing relative drift (ground) pertinent to main effect interactions of (a) UAV: nozzle, (b) UAV: flight speed, (c) UAV: flight altitude, (d) UAV: downwind distance and (e) nozzle: flight speed (Error bars represent standard error of mean; different letters associated with individual bar plots represent significant mean difference at α = 0.05; DJI MG-1P has a nozzles-under-rotor arrangement; HSE AG V6A+ has a nozzle-on-a-boom arrangement; XR11001 and XR8002 have a very fine [VMD 140 µm] and fine [VMD 196 µm] droplet spectrum, respectively).
Figure 6. Plots showing relative drift (ground) pertinent to main effect interactions of (a) UAV: nozzle, (b) UAV: flight speed, (c) UAV: flight altitude, (d) UAV: downwind distance and (e) nozzle: flight speed (Error bars represent standard error of mean; different letters associated with individual bar plots represent significant mean difference at α = 0.05; DJI MG-1P has a nozzles-under-rotor arrangement; HSE AG V6A+ has a nozzle-on-a-boom arrangement; XR11001 and XR8002 have a very fine [VMD 140 µm] and fine [VMD 196 µm] droplet spectrum, respectively).
Drones 06 00281 g006
Figure 7. Standard ground drift plots for (a) MG-1P and (b) AG V6A+ platforms at a flight speed of 3 m s−1 (Error bars represent standard error of mean; DJI MG-1P has a nozzles-under-rotor arrangement; HSE AG V6A+ has a nozzle-on-a-boom arrangement; XR11001 and XR8002 have a very fine [VMD 140 µm] and fine [VMD 196 µm] droplet spectrum, respectively).
Figure 7. Standard ground drift plots for (a) MG-1P and (b) AG V6A+ platforms at a flight speed of 3 m s−1 (Error bars represent standard error of mean; DJI MG-1P has a nozzles-under-rotor arrangement; HSE AG V6A+ has a nozzle-on-a-boom arrangement; XR11001 and XR8002 have a very fine [VMD 140 µm] and fine [VMD 196 µm] droplet spectrum, respectively).
Drones 06 00281 g007
Figure 8. Plots showing relative drift (airborne) pertinent to main effect interactions of (a) UAV: nozzle, (b) nozzle: flight speed, (c) UAV: flight altitude, (d) UAV: flight speed (Error bars represent standard error of mean; different letters associated with individual bar plots represent significant mean difference at α = 0.05; DJI MG-1P has a nozzles-under-rotor arrangement; HSE AG V6A+ has a nozzle-on-a-boom arrangement; XR11001 and XR8002 have a very fine [VMD 140 µm] and fine [VMD 196 µm] droplet spectrum, respectively).
Figure 8. Plots showing relative drift (airborne) pertinent to main effect interactions of (a) UAV: nozzle, (b) nozzle: flight speed, (c) UAV: flight altitude, (d) UAV: flight speed (Error bars represent standard error of mean; different letters associated with individual bar plots represent significant mean difference at α = 0.05; DJI MG-1P has a nozzles-under-rotor arrangement; HSE AG V6A+ has a nozzle-on-a-boom arrangement; XR11001 and XR8002 have a very fine [VMD 140 µm] and fine [VMD 196 µm] droplet spectrum, respectively).
Drones 06 00281 g008
Figure 9. Standard airborne drift plots for (a) MG-1P and (b) AG V6A+ platforms at a flight speed of 3 m s−1 (Error bars represent standard error of mean; DJI MG-1P has a nozzles-under-rotor arrangement; HSE AG V6A+ has a nozzle-on-a-boom arrangement; XR11001 and XR8002 have a very fine [VMD 140 µm] and fine [VMD 196 µm] droplet spectrum, respectively).
Figure 9. Standard airborne drift plots for (a) MG-1P and (b) AG V6A+ platforms at a flight speed of 3 m s−1 (Error bars represent standard error of mean; DJI MG-1P has a nozzles-under-rotor arrangement; HSE AG V6A+ has a nozzle-on-a-boom arrangement; XR11001 and XR8002 have a very fine [VMD 140 µm] and fine [VMD 196 µm] droplet spectrum, respectively).
Drones 06 00281 g009
Publisher’s Note: MDPI stays neutral with regard to jurisdictional claims in published maps and institutional affiliations.

Share and Cite

MDPI and ACS Style

Sinha, R.; Johnson, J.; Power, K.; Moodie, A.; Warhurst, E.; Barbosa, R. Understanding Spray Attributes of Commercial UAAS as Impacted by Operational and Design Parameters. Drones 2022, 6, 281. https://doi.org/10.3390/drones6100281

AMA Style

Sinha R, Johnson J, Power K, Moodie A, Warhurst E, Barbosa R. Understanding Spray Attributes of Commercial UAAS as Impacted by Operational and Design Parameters. Drones. 2022; 6(10):281. https://doi.org/10.3390/drones6100281

Chicago/Turabian Style

Sinha, Rajeev, Jeffrey Johnson, Kiley Power, Aaron Moodie, Emily Warhurst, and Roberto Barbosa. 2022. "Understanding Spray Attributes of Commercial UAAS as Impacted by Operational and Design Parameters" Drones 6, no. 10: 281. https://doi.org/10.3390/drones6100281

APA Style

Sinha, R., Johnson, J., Power, K., Moodie, A., Warhurst, E., & Barbosa, R. (2022). Understanding Spray Attributes of Commercial UAAS as Impacted by Operational and Design Parameters. Drones, 6(10), 281. https://doi.org/10.3390/drones6100281

Article Metrics

Back to TopTop