Ears in the Sky: Potential of Drones for the Bioacoustic Monitoring of Birds and Bats
Abstract
1. Introduction
2. Material and Methods
2.1. Experimental Setup
2.1.1. Playing and Recording Sounds
Birds
Bats
2.1.2. Identification of UAS Bioacoustic Recordings
Birds
Bats
2.2. UAS Noise Characterization
2.3. Testing UAS Bioacoustic Recordings
3. Results and Discussions
3.1. UAS Noise Characterization
3.1.1. Acoustic Characterization and Radius of Impact
3.1.2. Identifying the Noise Origin of the UAS
3.2. UAS Bioacoustic Monitoring of Birds
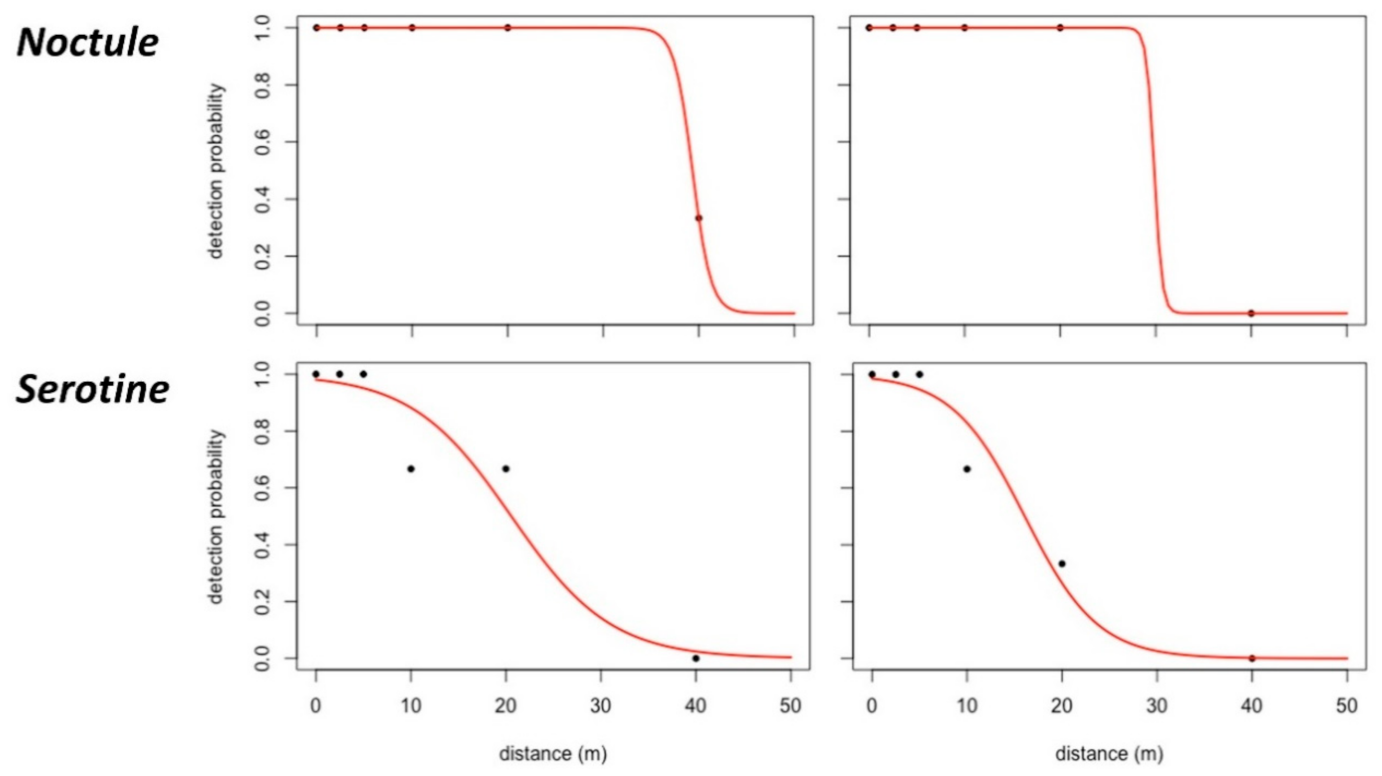
3.3. UAS Bioacoustic Monitoring of Bats
4. Conclusions
Supplementary Materials
Author Contributions
Funding
Institutional Review Board Statement
Informed Consent Statement
Data Availability Statement
Acknowledgments
Conflicts of Interest
References
- Johnson, C.N.; Balmford, A.; Brook, B.W.; Buettel, J.C.; Galetti, M.; Guangchun, L.; Wilmshurst, J.M. Biodiversity Losses and Conservation Responses in the Anthropocene. Science 2017, 356, 270–275. [Google Scholar] [CrossRef]
- United Nations. Ecosystems and Human Well-Being; Island Press: Washington, DC, USA, 2005; Volume 5. [Google Scholar]
- IUCN. The IUCN Red List of Threatened Species. Version 2020–1; IUCN: Gland, Switzerland; Cambridge, UK, 2020. [Google Scholar]
- Cardinale, B.J.; Duffy, J.E.; Gonzalez, A.; Hooper, D.U.; Perrings, C.; Venail, P.; Narwani, A.; Mace, G.M.; Tilman, D.; Wardle, D.A.; et al. Biodiversity Loss and Its Impact on Humanity. Nature 2012, 486, 59–67. [Google Scholar] [CrossRef] [PubMed]
- Kasso, M.; Balakrishnan, M. Ecological and Economic Importance of Bats (Order Chiroptera). Int. Sch. Res. Not. 2013, 2013. [Google Scholar] [CrossRef]
- Şekercioğlu, Ç.H.; Daily, G.C.; Ehrlich, P.R. Ecosystem Consequences of Bird Declines. Proc. Natl. Acad. Sci. USA 2004, 101, 18042–18047. [Google Scholar] [CrossRef] [PubMed]
- Buckland, S.T. Point-Transect Surveys for Songbirds: Robust Methodologies. Auk 2006, 123, 345–357. [Google Scholar] [CrossRef]
- Gregory, R.D.; Gibbons, D.W.; Donald, P.F. Bird Census and Survey Techniques. Bird Ecol. Conserv. 2004, 17–56. [Google Scholar]
- Sugai, L.S.M.; Silva, T.S.F.; Ribeiro, J.W., Jr.; Llusia, D. Terrestrial Passive Acoustic Monitoring: Review and Perspectives. BioScience 2019, 69, 15–25. [Google Scholar] [CrossRef]
- Walters, C.L.; Collen, A.; Lucas, T.; Mroz, K.; Sayer, C.A.; Jones, K.E. Challenges of using bioacoustics to globally monitor bats. In Bat Evolution, Ecology, and Conservation; Springer: Berlin/Heidelberg, Germany, 2013; pp. 479–499. [Google Scholar]
- Anderson, K.; Gaston, K.J. Lightweight Unmanned Aerial Vehicles Will Revolutionize Spatial Ecology. Front. Ecol. Environ. 2013, 11, 138–146. [Google Scholar] [CrossRef]
- Michez, A.; Morelle, K.; Lehaire, F.; Widar, J.; Authelet, M.; Vermeulen, C.; Lejeune, P. Use of Unmanned Aerial System to Assess Wildlife (Sus Scrofa) Damage to Crops (Zea Mays). J. Unmanned Veh. Syst. 2016, 4, 266–275. [Google Scholar] [CrossRef]
- Bebronne, R.; Michez, A.; Leemans, V.; Vermeulen, P.; Dumont, B.; Mercatoris, B. Characterisation of fungal diseases on winter wheat crop using proximal and remote multispectral imaging. In Precision Agriculture’19; Wageningen Academic Publishers: Cambridge, MA, USA, 2019; pp. 415–421. [Google Scholar]
- Michez, A.; Philippe, L.; David, K.; Sébastien, D.; Christian, D.; Bindelle, J. Can Low-Cost Unmanned Aerial Systems Describe the Forage Quality Heterogeneity? Insight from a Timothy Pasture Case Study in Southern Belgium. Remote Sens. 2020, 12, 1650. [Google Scholar] [CrossRef]
- Michez, A.; Lejeune, P.; Bauwens, S.; Herinaina, A.A.L.; Blaise, Y.; Castro Muñoz, E.; Lebeau, F.; Bindelle, J. Mapping and Monitoring of Biomass and Grazing in Pasture with an Unmanned Aerial System. Remote Sens. 2019, 11, 473. [Google Scholar] [CrossRef]
- Linchant, J.; Lisein, J.; Semeki, J.; Lejeune, P.; Vermeulen, C. Are Unmanned Aircraft Systems (UAS s) the Future of Wildlife Monitoring? A Review of Accomplishments and Challenges. Mammal Rev. 2015, 45, 239–252. [Google Scholar] [CrossRef]
- Seymour, A.; Dale, J.; Hammill, M.; Halpin, P.; Johnston, D. Automated Detection and Enumeration of Marine Wildlife Using Unmanned Aircraft Systems (UAS) and Thermal Imagery. Sci. Rep. 2017, 7, 1–10. [Google Scholar] [CrossRef] [PubMed]
- Hodgson, J.C.; Mott, R.; Baylis, S.M.; Pham, T.T.; Wotherspoon, S.; Kilpatrick, A.D.; Raja Segaran, R.; Reid, I.; Terauds, A.; Koh, L.P. Drones Count Wildlife More Accurately and Precisely than Humans. Methods Ecol. Evol. 2018, 9, 1160–1167. [Google Scholar] [CrossRef]
- Fristrup, K.M.; Clark, C.W. Acoustic Monitoring of Threatened and Endangered Species in Inaccessible Areas; Cornell University: Ithaca, NY, USA, 2009. [Google Scholar]
- Frommolt, K.-H.; Tauchert, K.-H. Applying Bioacoustic Methods for Long-Term Monitoring of a Nocturnal Wetland Bird. Ecol. Inform. 2014, 21, 4–12. [Google Scholar] [CrossRef]
- Wilson, A.M.; Barr, J.; Zagorski, M. The Feasibility of Counting Songbirds Using Unmanned Aerial Vehicles. Auk Ornithol. Adv. 2017, 134, 350–362. [Google Scholar] [CrossRef]
- Klingbeil, B.T.; Willig, M.R. Bird Biodiversity Assessments in Temperate Forest: The Value of Point Count versus Acoustic Monitoring Protocols. PeerJ 2015, 3, e973. [Google Scholar] [CrossRef]
- Aide, T.M.; Corrada-Bravo, C.; Campos-Cerqueira, M.; Milan, C.; Vega, G.; Alvarez, R. Real-Time Bioacoustics Monitoring and Automated Species Identification. PeerJ 2013, 1, e103. [Google Scholar] [CrossRef]
- Celis-Murillo, A.; Deppe, J.L.; Ward, M.P. Effectiveness and Utility of Acoustic Recordings for Surveying Tropical Birds. J. Field Ornithol. 2012, 83, 166–179. [Google Scholar] [CrossRef]
- Kloepper, L.N.; Kinniry, M. Recording Animal Vocalizations from a UAV: Bat Echolocation during Roost Re-Entry. Sci. Rep. 2018, 8, 1–6. [Google Scholar] [CrossRef]
- Buckland, S.T.; Anderson, D.R.; Burnham, K.P.; Laake, J.L.; Borchers, D.L.; Thomas, L. Introduction to Distance Sampling: Estimating Abundance of Biological Populations; Oxford University Press: Oxford, UK, 2001. [Google Scholar]
- Pérez-Granados, C.; Bota, G.; Giralt, D.; Albarracín, J.; Traba, J. Cost-Effectiveness Assessment of Five Audio Recording Systems for Wildlife Monitoring: Differences between Recording Distances and Singing Direction. Ardeola 2019, 66, 311–325. [Google Scholar] [CrossRef]
- Rempel, R.S.; Francis, C.M.; Robinson, J.N.; Campbell, M. Comparison of Audio Recording System Performance for Detecting and Monitoring Songbirds. J. Field Ornithol. 2013, 84, 86–97. [Google Scholar] [CrossRef]
- Tupinier, Y. L’univers Acoustique Des Chiroptères d’Europe; Société linnéenne de Lyon: Lyon, France, 1996. [Google Scholar]
- Brackenbury, J. Power Capabilities of the Avian Sound-Producing System. J. Exp. Biol. 1979, 78, 163–166. [Google Scholar]
- Snell-Rood, E.C. The Effect of Climate on Acoustic Signals: Does Atmospheric Sound Absorption Matter for Bird Song and Bat Echolocation? J. Acoust. Soc. Am. 2012, 131, 1650–1658. [Google Scholar] [CrossRef]
- Hill, A.P.; Prince, P.; Snaddon, J.L.; Doncaster, C.P.; Rogers, A. AudioMoth: A Low-Cost Acoustic Device for Monitoring Biodiversity and the Environment. HardwareX 2019, 6, e00073. [Google Scholar] [CrossRef]
- Hill, A.P.; Prince, P.; Piña Covarrubias, E.; Doncaster, C.P.; Snaddon, J.L.; Rogers, A. AudioMoth: Evaluation of a Smart Open Acoustic Device for Monitoring Biodiversity and the Environment. Methods Ecol. Evol. 2018, 9, 1199–1211. [Google Scholar] [CrossRef]
- Arthur, L.; Lemaire, M. Les Chauves-Souris de France Belgique Luxembourg et Suisse; BIOTOPE: Mèze, France, 2009. [Google Scholar]
- Fenton, M.B.; Grinnell, A.D.; Popper, A.N.; Fay, R.R. Bat Bioacoustics; Springer: Berlin/Heidelberg, Germany, 2016; Volume 54. [Google Scholar]
- Jakobsen, L.; Brinkløv, S.; Surlykke, A. Intensity and Directionality of Bat Echolocation Signals. Front. Physiol. 2013, 4, 89. [Google Scholar] [CrossRef] [PubMed]
- Yip, D.; Leston, L.; Bayne, E.; Sólymos, P.; Grover, A. Experimentally Derived Detection Distances from Audio Recordings and Human Observers Enable Integrated Analysis of Point Count Data. Avian Conserv. Ecol. 2017, 12, 11. [Google Scholar] [CrossRef]
- Sólymos, P.; Matsuoka, S.M.; Bayne, E.M.; Lele, S.R.; Fontaine, P.; Cumming, S.G.; Stralberg, D.; Schmiegelow, F.K.; Song, S.J. Calibrating Indices of Avian Density from Non-Standardized Survey Data: Making the Most of a Messy Situation. Methods Ecol. Evol. 2013, 4, 1047–1058. [Google Scholar] [CrossRef]
- Constantine, M. The Sound Approach to Birding: A Guide to Understanding Bird Sound; The Sound Approach: Poole, UK, 2006. [Google Scholar]
- Tucker, J.; Musgrove, A.; Reese, A. The Ability to Hear Goldcrest Song and the Implications for Bird Surveys. Br. Birds 2014, 107, 232–233. [Google Scholar]
- Wilson, S.J.; Hedley, R.W.; Rahman, M.M.; Bayne, E.M. Use of an Unmanned Aerial Vehicle and Sound Localization to Determine Bird Microhabitat. J. Unmanned Veh. Syst. 2020. [Google Scholar] [CrossRef]
- i Badia, S.B.; Pyk, P.; Verschure, P.F. A Biologically Based Flight Control System for a Blimp-Based UAV. In Proceedings of the 2005 IEEE International Conference on Robotics and Automation, Barcelona, Spain, 18–22 April 2005; pp. 3053–3059. [Google Scholar]












| All Recording (UAS + Control) | UAS Only | |||
|---|---|---|---|---|
| Species | p-Value Expert 1 | p-Value Expert 2 | p-Value Expert 1 | p-Value Expert 2 |
| Common blackbird | 0.6279 | 0.3035 | 0.5698 | 0.5698 |
| Common chaffinch | 0.3497 | 0.2026 | 0.7251 | 0.492 |
| Common reed bunting | 0.3335 | 0.002408 | 0.5664 | 0.09275 |
| Common wood pigeon | 3.231 × 10−6 | 5.133 × 10−5 | 0.1054 | 0.4235 |
| Eurasian blackcap | 0.1718 | 0.2741 | 0.3926 | 0.9285 |
| Eurasian wren | 0.3535 | 0.02517 | 0.348 | 0.09558 |
| Goldcrest | 0.6471 | 0.04819 | 0.7227 | 0.05697 |
| Sedge warbler | 0.009072 | 7.7 × 10−6 | 0.595 | 0.358 |
| Song thrush | 0.3497 | 0.01959 | 0.7251 | 0.2212 |
| All Recordings | UAS Recordings | ||
|---|---|---|---|
| Call Type | Bat Species | p-Value (n = 90) | p-Value (n = 72) |
| Echolocation | Barbastelle | 3.398 × 10−10 | NA |
| Common pipistrelle | 4.427 × 10−6 | 0.00084 | |
| Natterer’s bat (Myotis) | 3.195 × 10−6 | NA (0.0005318) | |
| Noctule | 6.927 × 10−5 | 0.000501 | |
| Serotine | 2.838 × 10−5 | 0.0002368 | |
| Social | Common pipistrelle | 1.612 × 10−5 | 0.00034 |
| Noctule | 0.0001306 | 0.00648 |
| Combination | Estimate | Std. Error | t Value | Pr(>|t|) |
|---|---|---|---|---|
| 10–5 | −11.81 | 13.65 | −0.865 | 0.8226 |
| 15–5 | −33.33 | 13.65 | −2.441 | 0.0923 |
| 20–5 | −37.48 | 13.65 | −2.745 | 0.0483 |
| 15–10 | −21.51 | 13.65 | −1.576 | 0.4083 |
| 20–10 | −25.66 | 13.65 | −1.879 | 0.2595 |
| 20–15 | −4.15 | 13.65 | −0.304 | 0.9900 |
| 0 m (Control) | 5 m | 10 and 15 m | 20 m | ||||||
|---|---|---|---|---|---|---|---|---|---|
| Call Type | Bat Species | Det. (%) | EDR (m) | Det. (%) | EDR (m) | Det. (%) | EDR (m) | Det. (%) | EDR (m) |
| Echolocation | Barbastelle | 61.1 | 9.90 | 0.0 | 0.0 | 0.0 | 0.00 | 0.0 | 0.00 |
| Common pipistrelle | 61.1 | 9.90 | 38.9 | 4.15 | 5.6 | 1.42 | 0.0 | 0.00 | |
| Myotis | 66.7 | 5.00 | 44.4 | 0.00 | 11.1 | 0.00 | 0.0 (0.0) | 0.00 | |
| Noctule | 88.9 | 15.80 | 83.3 | 4.45 | 63.9 | 3.59 | 27.8 | 0.00 | |
| Serotine | 72.2 | 38.97 | 66.7 | 20.00 | 33.3 | 15.84 | 5.6 | 5.72 | |
| Social | Common pipistrelle | 77.8 | 17.48 | 72.2 | 15.80 | 27.8 | 6.32 | 16.7 | 6.88 |
| Noctule | 100.0 | 29.86 | 83.3 | 19.48 | 66.7 | 5.73 | 38.9 | 4.35 | |
Publisher’s Note: MDPI stays neutral with regard to jurisdictional claims in published maps and institutional affiliations. |
© 2021 by the authors. Licensee MDPI, Basel, Switzerland. This article is an open access article distributed under the terms and conditions of the Creative Commons Attribution (CC BY) license (http://creativecommons.org/licenses/by/4.0/).
Share and Cite
Michez, A.; Broset, S.; Lejeune, P. Ears in the Sky: Potential of Drones for the Bioacoustic Monitoring of Birds and Bats. Drones 2021, 5, 9. https://doi.org/10.3390/drones5010009
Michez A, Broset S, Lejeune P. Ears in the Sky: Potential of Drones for the Bioacoustic Monitoring of Birds and Bats. Drones. 2021; 5(1):9. https://doi.org/10.3390/drones5010009
Chicago/Turabian StyleMichez, Adrien, Stéphane Broset, and Philippe Lejeune. 2021. "Ears in the Sky: Potential of Drones for the Bioacoustic Monitoring of Birds and Bats" Drones 5, no. 1: 9. https://doi.org/10.3390/drones5010009
APA StyleMichez, A., Broset, S., & Lejeune, P. (2021). Ears in the Sky: Potential of Drones for the Bioacoustic Monitoring of Birds and Bats. Drones, 5(1), 9. https://doi.org/10.3390/drones5010009

