Revisiting Colorimetric Gas Sensors: Compact, Versatile and Cost-Effective †
Abstract
:1. Introduction
2. Description of the New Method
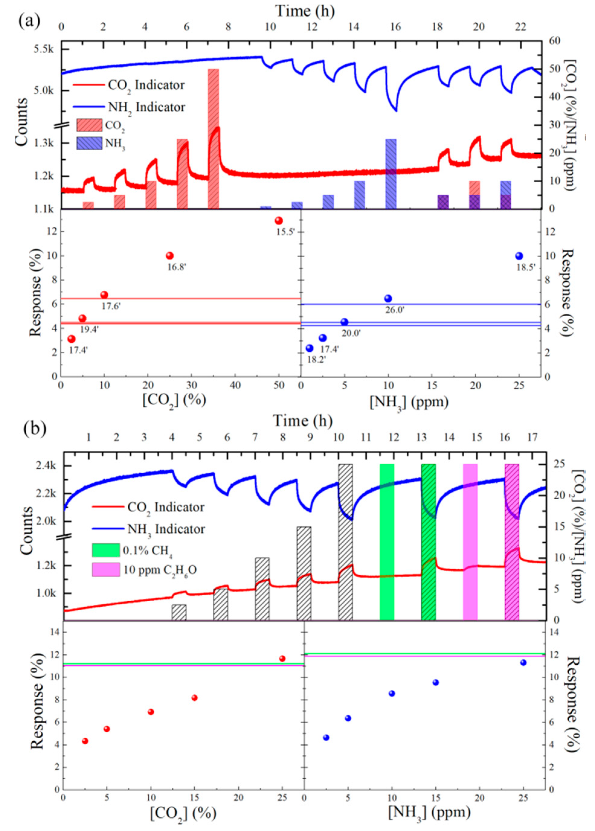
3. Experimental Results
Author Contributions
Funding
Conflicts of Interest
References
- Li, Z.; Suslick, K.S. Portable Optoelectronic Nose for Monitoring Meat Freshness. ACS Sens. 2016, 1, 1330–1335. [Google Scholar] [CrossRef]
- Lin, C.; Xian, X.; Qin, X.; Wang, D.; Tsow, F.; Forzani, E.S.; Tao, N. High Performance Colorimetric Carbon Monoxide Sensor for Continuous Personal Exposure Monitoring. ACS Sens. 2018, 3, 327–333. [Google Scholar] [CrossRef]
- Schmitt, K.; Rist, J.; Peter, C.; Wöllenstein, J. Low-cost fiber-optic waveguide sensor for the colorimetric detection of ammonia. Microsyst. Technol. 2011, 18, 843–848. [Google Scholar] [CrossRef]
- Xiong, Y.; Wang, C.-J.; Tao, T.; Duan, M.; Fang, S.-W.; Zheng, M. A miniaturized fiber-optic colorimetric sensor for nitrite determination by coupling with a microfluidic capillary waveguide. Anal. Bioanal. Chem. 2016, 408, 3413–3423. [Google Scholar] [CrossRef]
- Courbat, J.; Briand, D.; Damon-Lacoste, J.; Wöllenstein, J.; De Rooij, N.F. Evaluation of pH indicator-based colorimetric films for ammonia detection using optical waveguides. Sens. Actuators B Chem. 2009, 143, 62–70. [Google Scholar] [CrossRef]


Publisher’s Note: MDPI stays neutral with regard to jurisdictional claims in published maps and institutional affiliations. |
© 2020 by the authors. Licensee MDPI, Basel, Switzerland. This article is an open access article distributed under the terms and conditions of the Creative Commons Attribution (CC BY) license (https://creativecommons.org/licenses/by/4.0/).
Share and Cite
Driau, C.; Casals, O.; Benito-Altamirano, I.; Prades, J.D.; Fàbrega, C. Revisiting Colorimetric Gas Sensors: Compact, Versatile and Cost-Effective. Proceedings 2020, 56, 20. https://doi.org/10.3390/proceedings2020056020
Driau C, Casals O, Benito-Altamirano I, Prades JD, Fàbrega C. Revisiting Colorimetric Gas Sensors: Compact, Versatile and Cost-Effective. Proceedings. 2020; 56(1):20. https://doi.org/10.3390/proceedings2020056020
Chicago/Turabian StyleDriau, Christian, Olga Casals, Ismael Benito-Altamirano, Joan Daniel Prades, and Cristian Fàbrega. 2020. "Revisiting Colorimetric Gas Sensors: Compact, Versatile and Cost-Effective" Proceedings 56, no. 1: 20. https://doi.org/10.3390/proceedings2020056020
APA StyleDriau, C., Casals, O., Benito-Altamirano, I., Prades, J. D., & Fàbrega, C. (2020). Revisiting Colorimetric Gas Sensors: Compact, Versatile and Cost-Effective. Proceedings, 56(1), 20. https://doi.org/10.3390/proceedings2020056020

