Benzylidene as Efficient Corrosion Inhibition of Mild Steel in Acidic Solution †
Abstract
:1. Introduction
2. Experimental
2.1. Synthesis of Benzylidene-5-phenyl-1,3,4-thiadiazol-2-amine (BPTA)
2.2. Materials and Sample Preparation
2.3. Weight Loss Techniques
2.4. Density Functional Theory Calculation
3. Results and Discussion
3.1. Chemistry
3.2. Gravimetric Techniques
3.2.1. Effects of Concentrations
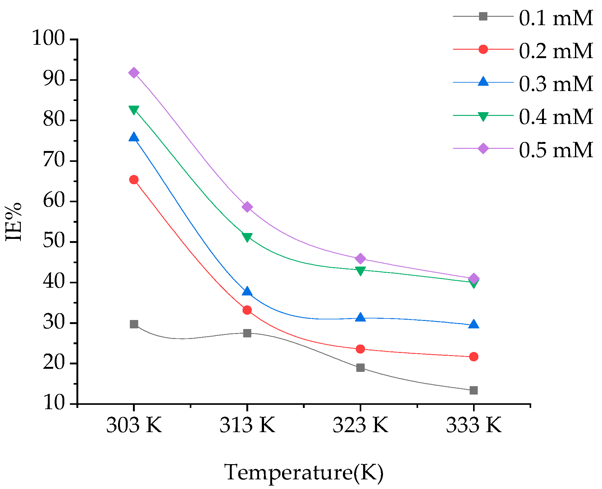
3.2.2. Effect of Temperature
3.3. Adsorption Isotherms
3.4. Quantum Chemistry
4. Conclusions
Author Contributions
Funding
Acknowledgments
Conflicts of Interest
References
- Tian, H.; Li, W.; Liu, A.; Gao, X.; Han, P.; Ding, R.; Yang, C.; Wang, D. Controlled delivery of multi-substituted triazole by metalorganic framework for efficient inhibition of mild steel corrosion in neutral chloride solution. Corros. Sci. 2018, 131, 1–16. [Google Scholar] [CrossRef]
- Dutta, A.; Saha, S.K.; Adhikari, U.; Banerjee, P.; Sukul, D. Effect of substitution on corrosion inhibition properties of 2-(substituted phenyl) benzimidazole derivatives on mild steel in 1 M HCl solution: A combined experimental and theoretical approach. Corros. Sci. 2017, 123, 256–266. [Google Scholar] [CrossRef]
- Jayalakshmi, M.; Muralidharan, V.S. Correlation between structure and inhibition of organic-compounds for acid corrosion of transition-metals. Ind. J. Chem. Tech. 1998, 5, 16–28. [Google Scholar]
- Granese, S.L. Study of the inhibitory action of nitrogencontaining compounds. Corrosion 1998, 44, 322–329. [Google Scholar] [CrossRef]
- Granese, S.L.; Rosales, B.M.; Oviedo, C.; Zebrino, J.O. The inhibition action of heterocyclic nitrogen organic compounds on Fe and steel in HCl media. Corros. Sci. 1992, 33, 1439–1453. [Google Scholar] [CrossRef]
- Junaedi, S.; Kadhum, A.; Al-Amiery, A.; Mohamad, A.; Takriff, M. Synthesis and char-acterization of novel corrosion inhibitor derived from oleic acid: 2-Amino5-Oleyl-1,3,4-Thiadiazol (AOT). Int. J. Electrochem. Sci. 2012, 7, 3543–3554. [Google Scholar]
- Al-Amiery, A.A.; Kadhum, A.A.H.; Mohamad, A.B.; Junaedi, S. A Novel Hydrazinecarbothioamide as a Potential Corrosion Inhibitor for Mild Steel in HCl. Materials 2013, 6, 1420–1431. [Google Scholar] [CrossRef]
- Al-Amiery, A.; Kadhum, A.; Mohamad, A.; Musa, A.; Li, C. Electrochemical study on newly synthesized chlorocurcumin as an inhibitor for mild steel corrosion in hy-drochloric acid. Materials 2013, 6, 5466–5477. [Google Scholar] [CrossRef]
- Salman, T.; Al-Amiery, A.; Shaker, L.; Kadhum, A.; Takriff, S. A study on the inhibition of mild steel corrosion in hydrochloric acid environment by 4-methyl-2-(pyridin-3-yl)thiazole-5-carbohydrazide. Int. J. Corros. Scale Inhib. 2019, 8, 1035–1059. [Google Scholar]
- Kadhum, A.A.H.; Mohamad, A.B.; Hammed, L.A.; Al-Amiery, A.A.; San, N.H.; Musa, A.Y. Inhibition of Mild Steel Corrosion in Hydrochloric Acid Solution by New Coumarin. Materials 2014, 7, 4335–4348. [Google Scholar] [CrossRef]
- Al-Amiery, A.A.; Kadhum, A.A.H.; Kadihum, A.; Mohamad, A.B.; How, C.K.; Junaedi, S. Inhibition of Mild Steel Corrosion in Sulfuric Acid Solution by New Schiff Base. Materials 2014, 7, 787–804. [Google Scholar] [CrossRef] [PubMed]
- Al-Amiery, A.A.; Kadhum, A.A.H.; Alobaidy, A.H.M.; Mohamad, A.B.; Hoon, P.S. Novel Corrosion Inhibitor for Mild Steel in HCl. Materials 2014, 7, 662–672. [Google Scholar] [CrossRef] [PubMed]
- Mohamad, A.; Kadhum, A.; Al-Amiery, A.; Ying, L.; Musa, A. Synergistic of a coumarin derivative with potassium iodide on the corrosion inhibition of aluminum alloy in 1.0M H2SO4. Met. Mater. Int. 2014, 20, 459–467. [Google Scholar] [CrossRef]
- Obayes, R.; Al-Amiery, A.; Alwan, G.; Alobaidy, A.; Al-Amiery, A.; Kadhum, A.; Mohamad, A. Quantum chemical assessment of benzimidazole derivatives as corrosion Inhibitors. Chem. Cent. J. 2014, 8, 1–8. [Google Scholar] [CrossRef]
- Al-Amiery, A.A.; Al-Majedy, Y.K.; Kadhum, A.A.H.; Mohamad, A.B. New Coumarin Derivative as an Eco-Friendly Inhibitor of Corrosion of Mild Steel in Acid Medium. Molecules 2015, 20, 366–383. [Google Scholar] [CrossRef]
- Yousif, E.; Win, Y.; Al-Hamadani, A.; Al-Amiery, A.; Kadhum, A.; Mohamad, A. Furosemi as an environmental-friendly inhibitor of corrosion of zinc metal in acid medium experimental and theoretical studies. Int. J. Electrochem. Sci. 2015, 10, 1708–1718. [Google Scholar]
- Rubaye, A.; Abdulwahid, A.; Al-Baghdadi, S.; Al-Amiery, A.; Kadhum, A.; Mohamad, A. Cheery sticks plant extract as a green corrosion inhibitor complemented with LC-EIS/ MS spectroscopy. Int. J. Electrochem. Sci. 2015, 10, 8200–8209. [Google Scholar]
- Al-Obaidy, A.; Kadhum, A.; Al-Baghdadi, S.; Al-Amiery, A.; Kadhum, A.; Yousif, E. Eco-friendly corrosion inhibitor: Experimental studies on the corrosion inhibition performance of creatinine for mild steel in HCl complemented with quantum chemical calculations. Int. J. Electrochem. Sci. 2015, 10, 3961–12972. [Google Scholar]
- Al-Baghdadi1, S.B.; Noori, F.T.M.; Ahmed, W.K.; Al-Amiery, A.A. Thiadiazole as a Potential Corrosion Inhibitor for Mild Steel in 1 M HCl. J. Adv. Electrochem. 2016, 2, 67–69. [Google Scholar]
- Al-Amiery, A.A.; Kassim, F.A.B.; Kadhum, A.A.H.; Mohamad, A.B. Synthesis and characterization of a novel eco-friendly corrosion inhibition for mild steel in 1 M hydrochloric acid. Sci. Rep. 2016, 6, 19890. [Google Scholar] [CrossRef]
- Kadhim, A.; Al-Okbi, A.K.; Jamil, D.M.; Qussay, A.; Al-Amiery, A.A.; Gaaz, T.S. Experimental and theoretical studies of benzoxazines corrosion inhibitors. Results Phys. 2017, 7, 4013–4019. [Google Scholar] [CrossRef]
- Obayes, R.; Al-Amiery, A.; Alwan, G.; Abdullah, T.; Kadhum, A.; Mohamad, A. Sulphonamides as corrosion inhibitor: Experimental and DFT studies. J. Mol. Struct. 2017, 1138, 27–34. [Google Scholar] [CrossRef]
- Al-Baghdadi, S.B.; Hashim, F.G.; Salam, A.Q.; Abed, T.K.; Gaaz, T.S.; Al-Amiery, A.A.; Kadhum, A.H.; Reda, K.S.; Ahmed, W.K. Synthesis and corrosion inhibition application of NATN on mild steel surface in acidic media complemented with DFT studies. Results Phys. 2018, 8, 1178–1184. [Google Scholar] [CrossRef]
- Habeeb, H.J.; Luaibi, H.M.; Dakhil, R.M.; Kadhum, A.H.; Al-Amiery, A.A.; Gaaz, T.S. Development of new corrosion inhibitor tested on mild steel supported by electrochemical study. Results Phys. 2018, 8, 1260–1267. [Google Scholar] [CrossRef]
- Al-Azawi, K.F.; Mohammed, I.M.; Al-Baghdadi, S.B.; Salman, T.A.; Issa, H.A.; Al-Amiery, A.A.; Gaaz, T.S.; Kadhum, A.A.H. Experimental and quantum chemical simulations on the corrosion inhibition of mild steel by 3-((5-(3,5- dinitrophenyl)-1,3,4-thiadiazol-2-yl)imino)indolin-2-one. Results Phys. 2018, 9, 278–283. [Google Scholar] [CrossRef]
- Jamil, D.M.; Al-Okbi, A.K.; Al-Baghdadi, S.B.; Al-Amiery, A.A.; Kadhim, A.; Gaaz, T.S. Experimental and theoretical studies of Schiff bases as corrosion inhibitors. Chem. Cent. J. 2018, 12, 1–7. [Google Scholar] [CrossRef]
- Ahmed, M.; Al-Amiery, A.; Al-Majedy, Y.; Kadhum, A.; Mohamad, A.; Gaaz, T. Synthesis and characterization of a novel organic corrosion inhibitor for mild steel in 1 M hydrochloric acid. Results Phys. 2018, 8, 728–733. [Google Scholar] [CrossRef]
- Salman, T.; Zinad, D.; Jaber, S.; Al-Ghezi, M.; Mahal, A.; Takrif, M.; Al-Amiery, A. Effect of 1,3,4-Thiadiazole Scafold on the Corrosion Inhibition of Mild Steel in Acidic Medium: An Experimental and Computational Study. J. Bio-Tribo-Corros. 2019, 5, 1–11. [Google Scholar] [CrossRef]
- Güngör, Ö.; Gürkan, P. Synthesis and characterization of higher amino acid Schiff bases, as monosodium salts and neutral forms. Investigation of the intramolecular hydrogen bonding in all Schiff bases, antibacterial and antifungal activities of neutral forms. J. Mol. Struct. 2014, 1074, 62–70. [Google Scholar] [CrossRef]
- Guo, Z.; Xing, R.; Liu, S.; Yu, H.; Wang, P.; Li, C.; Li, P. The synthesis and antioxidant activity of the Schiff bases of chitosan and carboxymethyl chitosan. Bioorg. Med. Chem. Lett. 2005, 15, 4600–4603. [Google Scholar] [CrossRef]
- Şafak, S.; Duran, B.; Yurt, A.; Türkoĝlu, G. Schiff bases as corrosion inhibitor for aluminium in HCl solution. Corros. Sci. 2012, 54, 251–259. [Google Scholar] [CrossRef]
- Gaussian 03, Revision C.02; Gaussian, Inc.: Pittsburgh, PA, USA, 2003.
- Ahamad, I.; Prasad, R.; Quraishi, M.A. Experimental and quantum chemical characterization of the adsorption of some Schiff base compounds of phthaloyl thiocarbohydrazide on the mild steel in acid solutions. Mater. Chem. Phys. 2010, 124, 1155–1165. [Google Scholar] [CrossRef]
- Lashgari, M.; Arshadi, M.R.; Parsafar, G.A. A simple and fast method for comparison of corrosion inhibition powers between pairs of pyridine derivative molecules. Corrosion 2005, 61, 778–783. [Google Scholar] [CrossRef]
- Wang, J.; Lian, Z.; Wang, H.; Jin, X.; Liu, Y. Synthesis and antimicrobial activity of Schiff base of chitosan and acylated chitosan. J. Appl. Polym. Sci. 2012, 123, 3242–3247. [Google Scholar] [CrossRef]
- Sabirneeza, A.A.F. A novel water-soluble, conducting polymer composite for mild steel acid corrosion inhibition. J. Appl. Polym. Sci. 2016, 127, 3084–3092. [Google Scholar] [CrossRef]
- Biswas, A.; Pal, S.; Udayabhanu, G. Experimental and theoretical studies of xanthan gum and its graft co-polymer as corrosion inhibitor for mild steel in 15% HCl. Appl. Surface Sci. 2015, 353, 173–183. [Google Scholar] [CrossRef]
- Sastri, V.S.; Perumareddi, J.R. Molecular orbital theoretical studies of some organic corrosion inhibitors. Corrosion 1997, 53, 617–622. [Google Scholar] [CrossRef]
- Lukovits, I.; Kalm’an, E.; Zucchi, F. Corrosion inhibitors—Correlation between electronic structure and efficiency. Corrosion 2001, 57, 3–8. [Google Scholar] [CrossRef]






| Inhibitor | Energies in eV | Dipole Moment (Deby) | IE% | ||
|---|---|---|---|---|---|
| EHOMO | ELUMO | EHOMO-ELUMO | |||
| BPTA | −8.003 | −1.63 | 6.643 | 2.7 | 92 |
© 2019 by the authors. Licensee MDPI, Basel, Switzerland. This article is an open access article distributed under the terms and conditions of the Creative Commons Attribution (CC BY) license (http://creativecommons.org/licenses/by/4.0/).
Share and Cite
Al-Bghdadi, S.B.; Hanoon, M.M.; Odah, J.F.; Shaker, L.M.; Al-Amiery, A.A. Benzylidene as Efficient Corrosion Inhibition of Mild Steel in Acidic Solution. Proceedings 2019, 41, 27. https://doi.org/10.3390/ecsoc-23-06472
Al-Bghdadi SB, Hanoon MM, Odah JF, Shaker LM, Al-Amiery AA. Benzylidene as Efficient Corrosion Inhibition of Mild Steel in Acidic Solution. Proceedings. 2019; 41(1):27. https://doi.org/10.3390/ecsoc-23-06472
Chicago/Turabian StyleAl-Bghdadi, Shaimaa B., Mahdi M. Hanoon, Jafer F. Odah, Lina M. Shaker, and Ahmed A. Al-Amiery. 2019. "Benzylidene as Efficient Corrosion Inhibition of Mild Steel in Acidic Solution" Proceedings 41, no. 1: 27. https://doi.org/10.3390/ecsoc-23-06472
APA StyleAl-Bghdadi, S. B., Hanoon, M. M., Odah, J. F., Shaker, L. M., & Al-Amiery, A. A. (2019). Benzylidene as Efficient Corrosion Inhibition of Mild Steel in Acidic Solution. Proceedings, 41(1), 27. https://doi.org/10.3390/ecsoc-23-06472

