Comparison and Evaluation of Dimensionality Reduction Techniques for Hyperspectral Data Analysis †
Abstract
:1. Introduction
2. Material and Methods
2.1. Dataset Used
2.2. Methodology
2.2.1. Optimal Band Selection through Dimensionality Reduction
2.2.2. Principal Component Analysis
2.2.3. Minimum Noise Fraction
3. Results and Discussion
3.1. Transformation Results
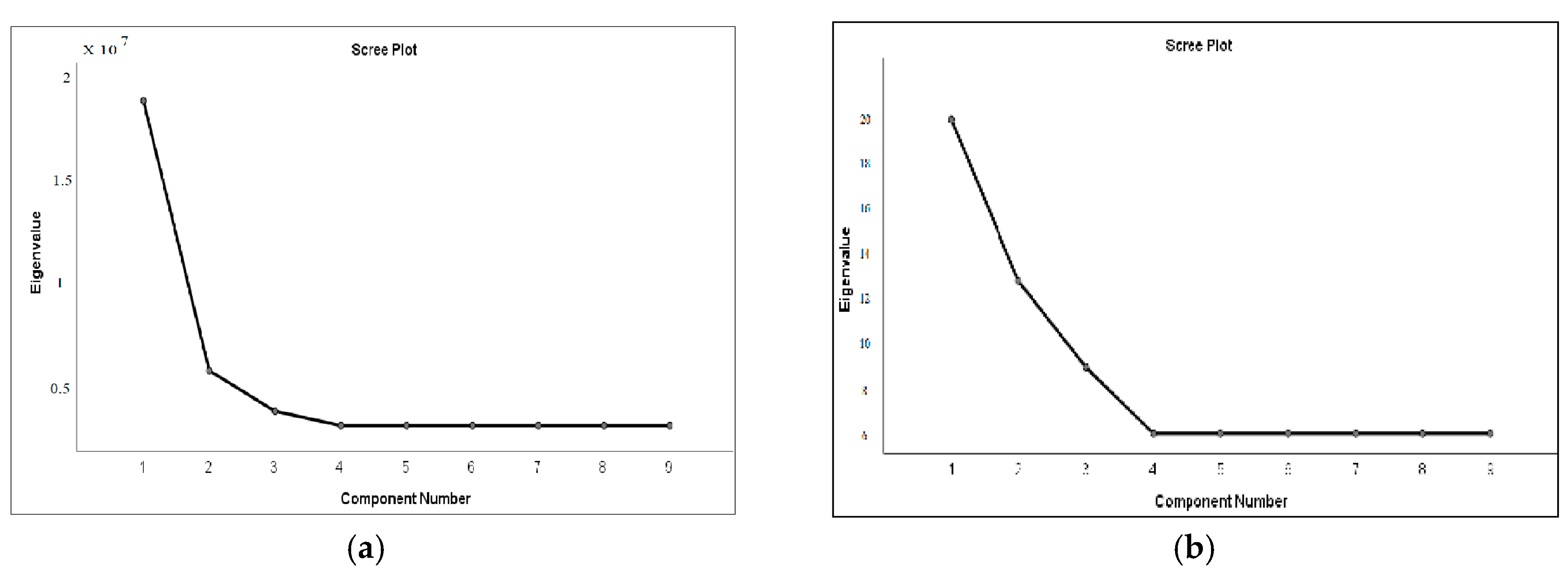
3.2. Interpretation of Eigenvalues Presented ina Scree Plot
4. Conclusions
Author Contributions
Funding
Conflicts of Interest
References
- Goetz, A.F.H.; Vane, G.; Solomon, E.J.; Rock, B.N. Imaging spectrometry for earth remote sensing. Science 1985, 228, 1147–1153. [Google Scholar] [CrossRef] [PubMed]
- Roger, R.E. Principal components transform with simple, automatic noise adjustment. Int. J. Remote Sens. 1996, 17, 2719–2727. [Google Scholar] [CrossRef]
- Green, A.A.; Berman, M.; Switzer, P.; Craig, M.D. A transformation for ordering multispectral datain terms of image quality with implications for noise removal. IEEE Trans. Geosci. Remote Sens. 1988, 26, 65–74. [Google Scholar] [CrossRef]
- Gao, L.; Zhang, B.; Sun, X.; Li, S.; Du, Q.; Wu, C. Optimized maximum noise fraction for dimensionality reduction of Chinese HJ-1A hyperspectral data. Eurasip J. Adv. Signal Process. 2013, 65. [Google Scholar] [CrossRef]
- Liu, X.; Zhang, B.; Gao, L.; Chen, D. A maximum noise fraction transform with improved noise estimation for hyperspectral images. Sci. China Ser. F: Inf. Sci. 2009, 52, 1578–1587. [Google Scholar] [CrossRef]
- Arslan, O.; AkyÜRek, Ö.; Kaya, Ş. A comparative analysis of classification methods for hyperspectral images generated with conventional dimension reduction methods. Turk. J. Electr. Eng. Comput. Sci. 2017, 25, 58–72. [Google Scholar] [CrossRef]
- Principal Component Analysis. Available online: https://www.harrisgeospatial.com/docs/PrincipalComponentAnalysis.html (accessed on 20 May 2019).
- A Beginner’s Guide to Eigenvectors, Eigenvalues, PCA, Covariance. Available online: https://skymind.ai/wiki/eigenvector (accessed on 20 May 2019).
- Minimum Noise Fraction Transform. Available online: https://www.harrisgeospatial.com/docs/MinimumNoiseFractionTransform.html (accessed on 21 May 2019).




| PCA | Eigenvalues | Percentage | Cumulative |
|---|---|---|---|
| 1 | 18654093.4388 | 96.28 | 96.28 |
| 2 666 3 666 4 666 5 666 6 666 7 666 8 666 9 | 6258454.6755 666 4700620.3861 666 2242108.3396 666 911200.4619 666 754888.8681 666 339785.7655 666 136636.2315 666 70024.2476 | 1.30 666 0.77 666 0.44 666 0.41 666 0.33 666 0.19 666 0.15 666 0.06 | 97.58 666 98.35 666 98.79 666 99.20 666 99.53 666 99.72 666 99.87 666 99.93 |
| MNF | Eigenvalues | Percentage | Cumulative |
|---|---|---|---|
| 1 | 20.0705 | 16.43 | 16.43 |
| 2 666 3 666 4 666 5 666 6 666 7 666 8 666 9 | 12.9622 666 9.4114 666 7.7143 666 6.5404 666 6.3144 666 5.5829 666 5.0555 666 4.9387 | 1.03 666 1.05 666 1.17 666 1.32 666 1.37 666 1.62 666 1.97 666 2.71 | 15.40 666 14.35 666 13.18 666 11.86 666 10.49 666 8.87 666 6.90 666 4.19 |
Publisher’s Note: MDPI stays neutral with regard to jurisdictional claims in published maps and institutional affiliations. |
© 2019 by the authors. Licensee MDPI, Basel, Switzerland. This article is an open access article distributed under the terms and conditions of the Creative Commons Attribution (CC BY) license (https://creativecommons.org/licenses/by/4.0/).
Share and Cite
Priyadarshini, K.N.; Sivashankari, V.; Shekhar, S.; Balasubramani, K. Comparison and Evaluation of Dimensionality Reduction Techniques for Hyperspectral Data Analysis. Proceedings 2019, 24, 6. https://doi.org/10.3390/IECG2019-06209
Priyadarshini KN, Sivashankari V, Shekhar S, Balasubramani K. Comparison and Evaluation of Dimensionality Reduction Techniques for Hyperspectral Data Analysis. Proceedings. 2019; 24(1):6. https://doi.org/10.3390/IECG2019-06209
Chicago/Turabian StylePriyadarshini, K Nivedita, V Sivashankari, Sulochana Shekhar, and K Balasubramani. 2019. "Comparison and Evaluation of Dimensionality Reduction Techniques for Hyperspectral Data Analysis" Proceedings 24, no. 1: 6. https://doi.org/10.3390/IECG2019-06209
APA StylePriyadarshini, K. N., Sivashankari, V., Shekhar, S., & Balasubramani, K. (2019). Comparison and Evaluation of Dimensionality Reduction Techniques for Hyperspectral Data Analysis. Proceedings, 24(1), 6. https://doi.org/10.3390/IECG2019-06209

