Abstract
In nonequilibrium processes, work extraction from a system is subject to random fluctuations associated with the statistical distribution prescribed by its environment. The probability of extracting work above a given arbitrary threshold can be a measure of restriction imposed by experimental circumstances. We present a lower bound for the probability when the work value lies in a finite range. For the case of fixed maximum work, the lower bound gets larger as the free energy difference between initial and final states becomes larger. We point out also that an upper bound previously reported in the literature is a direct consequence of the well-known second mean value theorem for definite integrals.
1. Introduction
It has been well recognized that the random nature of thermal fluctuation in nonequilibrium processes for microscopic systems entails statistical distribution of work values when we measure them. Thus, we may consider that seeking fundamental constraints or bounds for the probability distribution would represent one of research directions among the vast literature of nonequilibrium science. This article aims at obtaining such bounds. Of course the statement of the 2nd law of thermodynamics bolsters any possible extraction of work; i.e., average work done on a system invariably exceeds the value of equilibrium free energy difference between initial and final thermal states (i.e., ) with holding equality when the process is reversibly done [1].
We note that in the process of the extraction of work by a mechanically coupled device with a system, its value can be regarded as a random variable with an associated probability distribution. However, the form of the extracted work distribution is not determined from the outset by a first principle behind it. We can only estimate it from measurements.
Up to the present date, a robust constraint on the distribution of the value of extracted work is imposed via the relation
which is referred to as the nonequilibrium work relation or the Jarzynski identity [2], in which is the inverse temperature with the Boltzmann constant and the brackets in the right hand side denote an integral of this factor over the observed work distribution , i.e., the statistical mean. Conversely, however, getting information regarding the form of the work distribution itself from this identity is implicit and therefore the precise form must be determined through experimental measurements or numerical simulations based on each model.
The constraint on the work distribution that exceeds a certain value , which is defined by the integral is our present primary interest, where we set the maximum work . This quantity of course takes on the property of the distribution . A previous study mentions that is approximately Gaussian according to the central limit theorem when a process proceeds sufficiently slowly [3], and the left tail of it is exponentially suppressed [4]. To the contrary, it is reported that in the experiment of single molecule force measurements the distribution of the forward work value shows two distinct peaks, i.e., bimodal distributions [5]. The deviation from the Gaussian shape has been reported in several cases. For example, Ref. [6] confirmed that the numerical simulations of a one-dimensional particle model and of soft sphere fluid particles in three dimension show highly non-Gaussian work distribution. In addition, the work value, at which the value of the quantity is peaked, is very different from the average work except for slow switching procedure (thermalization). Moreover, a direct evidence of the profile by experiments reports the distinct non-Gaussian work distribution [7], where the motion of an overdamped colloidal particle in a time-dependent nonharmonic potential was traced. Also in quantum regime, the observed work distribution in a trapped ion system is found to be different from the Gaussian form [8].
To get useful bounds also for these non-Gaussian cases, we need to invoke mathematical inequalities that any work distribution must satisfy. Indeed, useful physical bounds are often obtained as direct consequences of applying inequalities. For example, the fact that the extracted work from a system on average cannot exceed the decrease in free energy of the system has the strong connection to the Jensen’s inequality. That is, the Jensen’s inequality that holds for a convex function of a variable X readily provides the relation that leads to the above statement, i.e., by combining the identity Equation (1).
With the above situation in mind, the present focus of this paper is how the probability of work extraction that exceeds an arbitrary value denoted as can be bounded from below under nonequilibrium processes governed by the equality Equation (1). To achieve this goal, we take advantage of employing the decreasing property of the exponential function. This paper proceeds as follows: In the next section, before seeking the bound, we see an equality that the probability must satisfy in terms of the free energy difference and of the end point values of work. In Section 3, a lower bound is presented and some remarks on upper bounds stemming from the random nature of the work variable W are appended. In Section 4, we discuss how the obtained lower bound works for a previous experimental study. The last section summarizes our results and provides a conclusion.
2. Equality for the Probability
Before we derive a lower bound, we first consider an equality that always holds for the probability . We first restrict the work value in a finite interval, i.e., so that the probability of the work done on a system takes nonzero value within this range. This is legitimate as a measuring device is mechanically coupled with a system and detects its conceivable finite changes. Recall here that the well-known second mean value theorem for definite integrals (e.g., [9]). Let be a bounded and monotonic function on . Further, if is an integrable function on the domain, then there exists a real number such that
In precise, and are understood as and , respectively unless otherwise noted in our present purpose. Applying this theorem to the nonequilibrium work relation by Jarzynski Equation (1) for an arbitrary intermediate work value , we readily obtain
which leads to an equality by rearranging the above
This tells us only the existence of the work value somewhere between the interval, and not indicating more than anything that. Indeed, the right hand side does not contain information of where the is located. Recently in the study [10], the r.h.s of Equation (4) was derived as an upper bound on the probability in a different way from ours and its attainability of this limit is analyzed for two examples: discrete quantum processes for a two-level system and the Szilard-like heat engine composed of a single molecule [11]. Note that the sign convention of work W in ref. [10] is opposite from the present consideration; that is, while we set the sign of work W done on a system positive (i.e., the factor is ), the work done by a system is set to be positive, so that the factor is expressed as . The important indication of this observation is that the upper bound claimed in [10] is nothing but the immediate consequence of the second mean value theorem for definite integrals; that is, the equality always holds. For the unrestricted case of the maximum work (i.e., ), we obtain . On the other hand, when the minimum work is unrestricted, the Equation (4) does not make sense, indicating that the strategy of separation of the work domain by in the second line of Equation (4) is not an effective method in that case.
3. A Lower Bound on the Probability
A way forward to deriving a lower bound on the probability can be sought by simply using the decreasing property of the exponential function. With this, we can include the unrestricted case of the minimum work (i.e., ) and of the maximum work (i.e., ). We first consider the case where lies in the finite interval . We thus evaluate the exponential factor as
The inequality in the second line follows from the decreasing property () applied for each term in the first line. Therefore, the following lower bound is readily obtained by rearranging terms;
Note that contrary to the equality Equation (4), the right hand side of the above contains the information of the position of . In addition, the value of the minimum work is irrelevant, because it does not appear in the bound. We show in Figure 1 that the lower bound lines are decreasing functions of for a fixed maximum work value. We observe that the bound lines move rightward as increases and the value of bounds approach unity as the threshold value gets smaller, which is intuitively consistent. The bound value vanishes when equals to the free energy difference. Just to be certain, we stress that the bound Equation (6) is relevant only for and it is simply replaced by for a range .
Figure 1.
The lower bound lines for the probability are provided by Equation (6) as a function of for some fixed values of the free energy difference . We used a fixed value of and . The bounds vanish when . Also with other values of and , the behaviour is similar.
Some Remarks on the Upper Bounds
As we mentioned in Introduction, the extracted work value is a random variable whose distribution is not a priori known. In this case, probability theory in general gives restrictions for a nonnegative random variable W (e.g., [12]):
where is the variance of work value, i.e., . The first inequality certainly provides an upper bound on the probability of work value greater or equal to . It is not clear, however, whether it is tight or not due to its universality, that is, it may not be the best possible. For a general purpose, an upper bound would indeed be desired to reflect shape information of the distribution of the work variable W. The direct application of the third one (i.e., the exponential Chebyshev’s inequality) gives an upper bound because the work value does not exceed the maximum, i.e., . However, this is actually not a useful bound because it always holds with equality when . Furthermore, it gives an exponentially loose bound as the threshold work value departs from the maximum. In sum, if the mean and the variance of the distribution are known, arbitrary distributions can be upper bounded by the Chebyshev inequalities, therefore, how and in what forms of inequalities we should invoke seems an important question to link the free energy difference to work data by real experiments.
4. Discussion
To obtain the probability directly from an experiment of nonequilibrium process is not an easy task. One usually needs the information of the work distribution and integrates it. Even in this procedure, a reliable bound, if exists, is a helpful guide. We have resorted to the decreasing property of the exponential factor to obtain a lower bound Equation (6). To see how the obtained lower bound works, we examine the work distribution reported in Ref. [7], where the measured distribution of applied work on an overdamped colloidal particle in a time-dependent non-harmonic potential exhibits asymmetry and non-Gaussian. According to Ref. [7], the histogram of the work values is well fitted by the Pearson type III distribution [13], i.e., a gamma distribution with moments: the mean 2.4 and the variance 11.6 . We thus reconstruct the histogram and perform the nonlinear regression fitting to obtain the probability by integrating of the form:
The k and are referred to as the shape and the rate parameters, respectively. We can deduce the value of as −4 from the Figure 4 of Ref. [7], below which the experimentally measured counts negligibly contribute. We determined the parameters as and by the nonlinear least-squares method. The first moment of this distribution, which is given as , is thus determined as 2.32 . This value is consistent with the calculated one 2.4 in Ref. [7]. With these values, the probability is thus expressed as
where is the lower incomplete gamma function defined as [13].
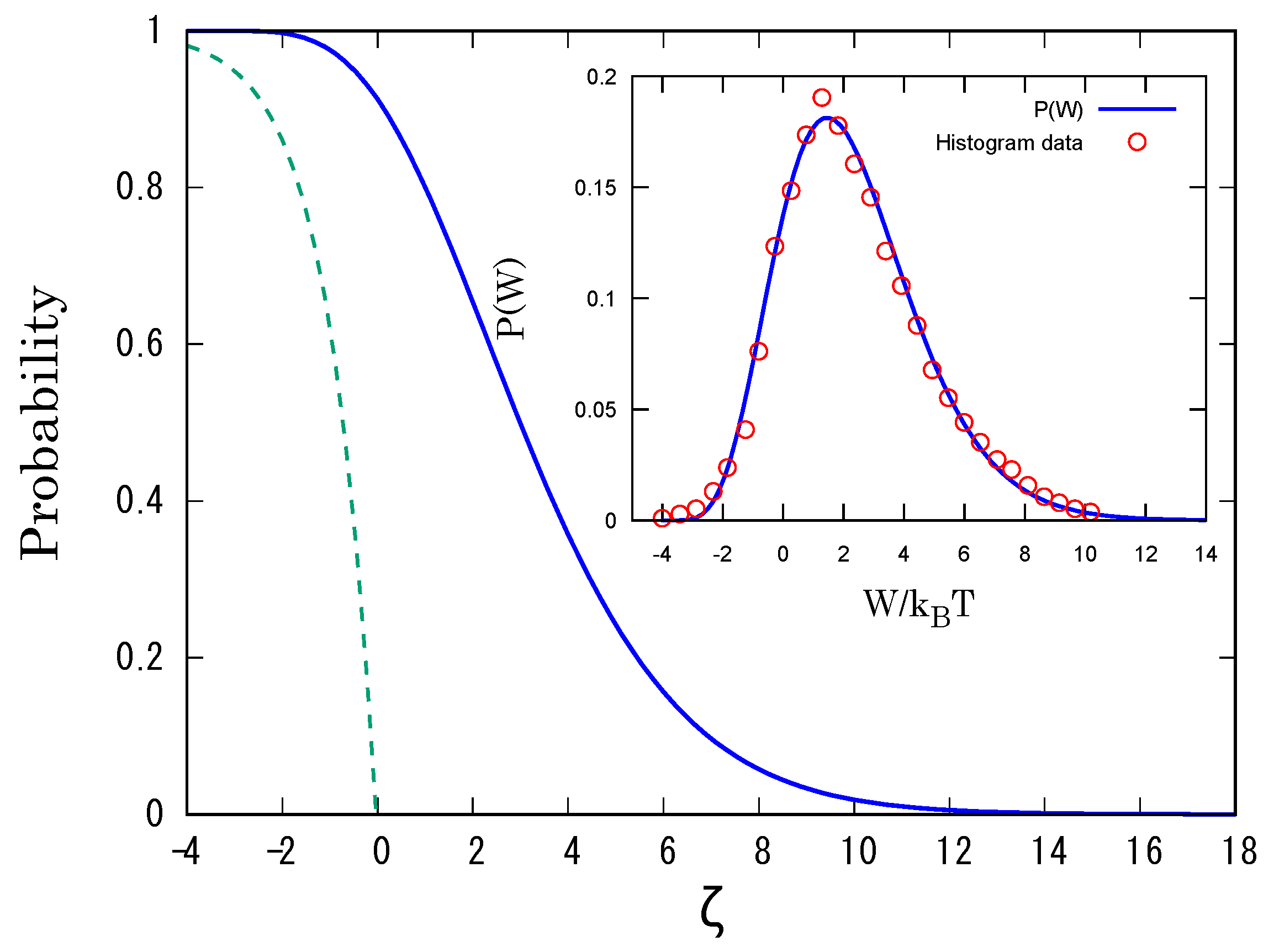
In Figure 2, we show the curve of the probability together with the reproduced work distribution in the inset. We can read out the value of as from the work distribution, which can be regarded as the unrestricted case , because the value almost vanishes in this case. From the reported value [7], we can deduce the free energy difference as by applying the Jarzinski equality. Because the free energy difference in the experiment was close to zero, the bound line covers relatively smaller domain of . We think that the bound line extends towards larger if the free energy difference set to larger in the experiment. From this consideration, we think that the present lower bound can be a useful guide over a certain range of the free energy difference. A more refined lower bound to cover a small free energy difference is worth seeking as a future work.
Figure 2.
The plot data in the inset shows the work distribution constructed from the measured histogram by the experiment of Ref. [7] and the solid line shows the nonlinear least-squares fit to the gamma distribution Equation (8). The solid blue line indicates the probability represented by the lower incomplete gamma function Equation (9). The dashed line indicates the lower bound by Equation (6). The values and are used for the calculations of the bound line.
Finally, although the present study considers only the case in which the nonequilibrium work relation Equation (1) holds, one should bear in mind the scope of the applicability of this equality. In some single-molecule pulling experiments, where RNA molecules receive time dependent forces, the standard link between work (external force × displacement) and changes in Hamiltonian may not hold [14,15,16]. In such cases thermodynamic free-energy changes cannot be estimated accurately and the breakdown of the equality relation can be implied as a corollary. A validity condition for the equality is addressed in Ref. [17], which states that the phase space extension of the system, i.e., the sum over all microscopic states of the system must be kept constant before and after the process. For example, in adiabatic vacuum expansion of ideal gases, the condition cannot be satisfied because no work is done on the gas system during the sudden increase of volume. This leads to vanishing free energy change for any initial microstates in the associated initial phase space extension. Accordingly, such a process is not covered by the Jarzynski’s equality and is excluded by the scope of the present bound. It therefore needs to devise a lower bound separately from our approach.
5. Conclusions
The bound for the probability of observed work above a given arbitrary intermediate value is interesting in its own right in nonequilibrium processes. Since the measured work value is a random variable under a statistical distribution that reflects system’s nature, the role of such limitation in experimental settings would be much more restrictive than it has been in the previous studies based on specific models. Although the probability of the work value is amenable to limit by the Chebyshev’s inequalities, the presented bound serves as a useful guide. We pointed out also that the previously found upper bound Equation (4) is nothing more than a consequence of the application of the mean value theorem for definite integrals in itself and it is thus an equality. The implication of this observation is interesting and important because the probabilistic violation of the second law of thermodynamics can be allowed in general. As long as we limit nonequilibrium processes that proceed under the prescription of the Jarzynski’s work relation, our result should also universally holds.
Author Contributions
T.Y. conceived the topic, performed calculations, and wrote the whole paper.
Acknowledgments
This research did not receive any specific grant from funding agencies in the public, commercial, or not-for-profit sectors.
Conflicts of Interest
The author declares no conflict of interest.
References
- Huang, K. Statistical Mechanics, 2nd ed.; John Wiley & Sons: New York, NY, USA, 1987. [Google Scholar]
- Jarzynski, C. Nonequilibrium Equality for Free Energy Differences. Phys. Rev. Lett. 1997, 78, 2690–2693. [Google Scholar] [CrossRef]
- Jarzynski, C. Equalities and Inequalities: Irreversibility and the Second Law of Thermodynamics at the Nanoscale. Annu. Rev. Condens. Matter Phys. 2011, 2, 329–351. [Google Scholar] [CrossRef]
- Jarzynski, C. Nonequilibrium Work Relations: Foundations and Applications. Eur. Phys. J. B 2008, 64, 331–340. [Google Scholar] [CrossRef]
- Frey, E.W.; Li, J.; Wijeratne, S.; Kiang, C.-H. Reconstructing Multiple Free Energy Pathways of DNA Stretching from Single Molecule Experiments. J. Phys. Chem. B 2015, 119, 5132–5135. [Google Scholar] [CrossRef] [PubMed]
- Oberhofer, H.; Dellago, C.; Geissler, P.L. Biased Sampling of Nonequilibrium Trajectories: Can Fast Switching Simulations Outperform Conventional Free Energy Calculation Methods? J. Phys. Chem. B 2005, 109, 6902–6915. [Google Scholar] [CrossRef] [PubMed]
- Blickle, V.; Speck, T.; Helden, L.; Seifert, U.; Bechinger, C. Thermodynamics of a Colloidal Particle in a Time-Dependent Nonharmonic Potential. Phys. Rev. Lett. 2006, 96. [Google Scholar] [CrossRef] [PubMed]
- An, S.; Zhang, J.-N.; Um, M.; Lv, D.; Lu, Y.; Zhang, J.; Yin, Z.-Q.; Quan, H.T.; Kim, K. Experimental Test of Quantum Jarzynski Equality with a Trapped Ion System. Nat. Phys. 2014, 11, 193–199. [Google Scholar] [CrossRef]
- Hobson, E.W. On the Second Mean-Value Theorem of the Integral Calculus. Proc. Lond. Math. Soc. 1909, 2, 14–23. [Google Scholar] [CrossRef]
- Cavina, V.; Mari, A.; Giovannetti, V. Optimal Processes for Probabilistic Work Extraction beyond the Second Law. Sci. Rep. 2016, 6, 29282. [Google Scholar] [CrossRef]
- Szilard, L. Über die Entropieverminderung in einem Thermodynamischen System bei Eingriffen Intelligenter Wesen. Z. Phys. 1929, 53, 840–856. [Google Scholar] [CrossRef]
- Grimmett, G.; Stirzaker, D. Probability and Random Processes, 3rd ed.; Oxford University Press: Oxford, UK, 2001. [Google Scholar]
- Abramowitz, M.; Stegun, I.A. (Eds.) Handbook of Mathematical Functions with Formulas, Graphs, and Mathematical Tables, 9th ed.; Dover: New York, NY, USA, 1972; Chapter 6. [Google Scholar]
- Vilar, J.M.G.; Rubi, J.M. Failure of the work-Hamiltonian connection for free-energy calculations. Phys. Rev. Lett. 2008, 100, 020601–020604. [Google Scholar] [CrossRef]
- Horowitz, J.; Jarzynski, C. Comment on “Failure of the work-Hamiltonian connection for free-energy calculations”. Phys. Rev. Lett. 2008, 100, 098901. [Google Scholar] [CrossRef]
- Vilar, J.M.G.; Rubi, J.M. Vilar and Rubi Reply. Phys. Rev. Lett. 2008, 101, 098902. [Google Scholar] [CrossRef]
- Sung, J. Validity condition of the Jarzynski’s relation for a classical mechanical system. arXiv 2005, arXiv:cond-mat/0506214. [Google Scholar]
Publisher’s Note: MDPI stays neutral with regard to jurisdictional claims in published maps and institutional affiliations. |
© 2018 by the author. Licensee MDPI, Basel, Switzerland. This article is an open access article distributed under the terms and conditions of the Creative Commons Attribution (CC BY) license (https://creativecommons.org/licenses/by/4.0/).

