Development of a Device for Staged Determination of Water Activity and Moisture Content †
Abstract
:1. Introduction
2. Experimental Setup
3. Results
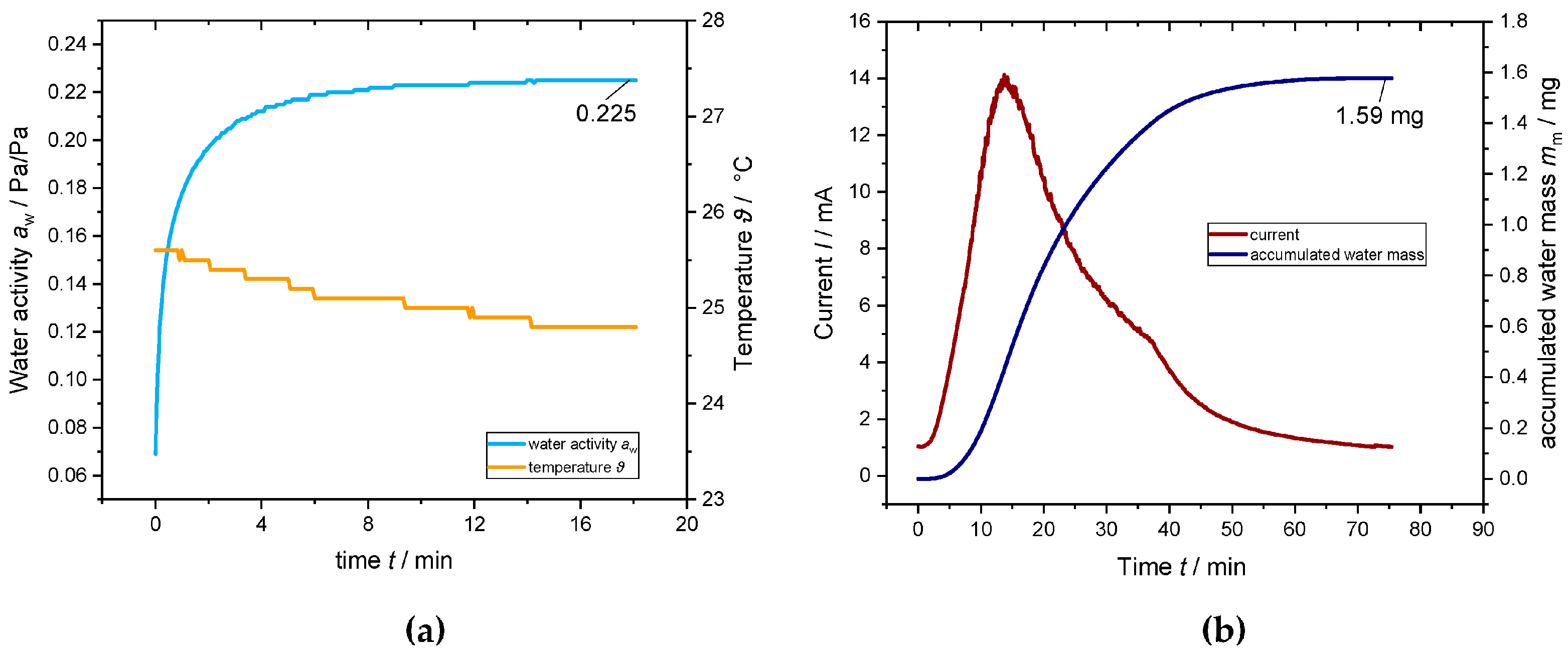
3.1. Functionality Test
3.2. Water Activity, Moisture Determinations and Sorption Isotherm of a Powdered Coffee
4. Conclusions
Funding
Acknowledgments
Conflicts of Interest
References
- Wernecke, R.; Wernecke, J. Industrial Moisture and Humidity Measurement—A Practical Guide; Wiley-VCH Verlag GmbH & Co. KGaA: Weinheim, Germany, 2014. [Google Scholar]
- Measurement of Gas Humidity—Methods of Measurement; VDI/VDE 3514-2:2013-03; Düsseldorf, Germany, 2013.
- Hübert, T.; Schuffenhauer, W.; Wernecke, R. Self-monitoring and regenerating system for on-line trace moisture measurements in chemical process gases. Chem. Ingenieur Technik 2000, 72, 1380–1382. [Google Scholar]
- Schmidt, S.J.; Fontana, A.J., Jr. Water activity values of select food ingredients and products. In Water Activity in Foods; Barbosa-Cánovas, G.V., Fontana, A.J., Jr., Schmidt, S.J., Labuza, T.P., Eds.; Wiley-Blackwell: Hoboken, NJ, USA, 2007; Volume 1, pp. 407–420. [Google Scholar]
- Werner, B.; Matissek, R. Lebensmittelchemie; Springer: Heidelberg, Germany, 2011; Volume 7. [Google Scholar]
- Cepeda, E.; de Latierro, R.O.; San Jose, M.J.; Olazar, M. Water sorption isotherms of roasted coffee and coffee roasted with sugar. Int. J. Food Sci. Technol. 1999, 34, 287–290. [Google Scholar] [CrossRef]
- Labuza, T.P.; Altunakar, B. Water activity prediction and moisture sorption isotherms. In Water Activity in Foods: Fundamentals and Applications; Barbosa-Cánovas, G.V., Fontana, A.J., Jr., Schmidt, S.J., Labuza, T.P., Eds.; Wiley-Blackwell: Hoboken, NJ, USA, 2007; Volume 1, pp. 109–154. [Google Scholar]



| Initial Water Mass mw0/mg | Q/C | Determined mw/mg | Relative Deviation Δmw/% |
|---|---|---|---|
| 10.1 | 105.831 | 9.88 | −2.2 |
| 1.93 | 20.667 | 1.93 | 0.0 |
| 2.10 | 22.059 | 2.06 | −1.9 |
| 2.04 | 21.952 | 2.05 | 0.5 |
| 1.80 | 19.275 | 1.80 | −2.2 |
| 1.84 | 19.703 | 1.84 | 2.2 |
Publisher’s Note: MDPI stays neutral with regard to jurisdictional claims in published maps and institutional affiliations. |
© 2018 by the authors. Licensee MDPI, Basel, Switzerland. This article is an open access article distributed under the terms and conditions of the Creative Commons Attribution (CC BY) license (https://creativecommons.org/licenses/by/4.0/).
Share and Cite
Tiebe, C.; Detjens, M.; Fechner, A.; Sielemann, S.; Lorek, A.; Wernecke, R.; Stoltenberg, H. Development of a Device for Staged Determination of Water Activity and Moisture Content. Proceedings 2018, 2, 881. https://doi.org/10.3390/proceedings2130881
Tiebe C, Detjens M, Fechner A, Sielemann S, Lorek A, Wernecke R, Stoltenberg H. Development of a Device for Staged Determination of Water Activity and Moisture Content. Proceedings. 2018; 2(13):881. https://doi.org/10.3390/proceedings2130881
Chicago/Turabian StyleTiebe, Carlo, Marc Detjens, Annika Fechner, Stefanie Sielemann, Andreas Lorek, Roland Wernecke, and Hartmut Stoltenberg. 2018. "Development of a Device for Staged Determination of Water Activity and Moisture Content" Proceedings 2, no. 13: 881. https://doi.org/10.3390/proceedings2130881
APA StyleTiebe, C., Detjens, M., Fechner, A., Sielemann, S., Lorek, A., Wernecke, R., & Stoltenberg, H. (2018). Development of a Device for Staged Determination of Water Activity and Moisture Content. Proceedings, 2(13), 881. https://doi.org/10.3390/proceedings2130881
