Hybrid Photonic Crystal-Surface Plasmon Polariton Waveguiding System for On-Chip Sensing Applications †
Abstract
:1. Introduction
2. Sensor Based on Photonic Crystal Waveguide
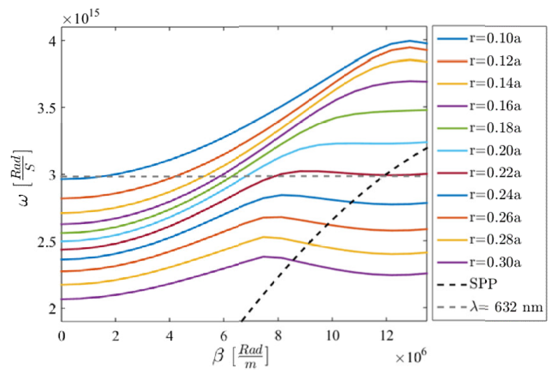
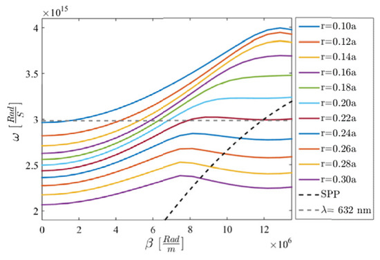
3. Hybrid Photonic Crystal Surface Plasmon Polariton System
4. Conclusions
Author Contributions
Acknowledgments
Conflicts of Interest
References
- Maier, S.A. Plasmonics: Fundamentals and Applications; Springer: Bath, UK, 2006. [Google Scholar]
- Joannopoulos, J.D.; Johnson, S.G.; Winn, J.N.; Meade, R.D. Photonic Crystal Molding Flow of Light; Princeton University Press: Princeton, NJ, USA, 2008. [Google Scholar]
- Song, B.S.; Noda, S.; Asano, T.; Akahane, Y. Ultra-high-Q photonic double-heterostructure nanocavity. Nat. Mater. 2005, 4, 207–210. [Google Scholar] [CrossRef]
- Pedersen, J.; Xiao, S.; Mortensen, N.A. Slow-light enhanced absorption for bio-chemical sensing applications: Potential of low-contrast lossy materials. J. Eur. Opt. Soc. 2008, 3. [Google Scholar] [CrossRef]
- Jannesari, R.; Ranacher, C.; Consani, C.; Grille, T.; Jakoby, B. Sensitivity optimization of a photonic crystal ring resonator for gas sensing applications. Sens. Actuators A Phys. 2017, 264, 347–351. [Google Scholar] [CrossRef]
- Kraeh, C.; Martinez-Hurtado, J.L.; Zeitlmair, M.; Popescu, A.; Hedler, H.; Finley, J.J. Strong transmittance above the light line in mid-infrared two-dimensional photonic crystals. J. Appl. Phys. 2015, 117, 223101. [Google Scholar] [CrossRef]
- Jannesari, R.; Ranacher, C.; Consani, C.; Lavchiev, V.; Grille, T.; Jakoby, B. High-Quality-Factor Photonic Crystal Ring Resonator with Applications for Gas Sensing. Procedia Eng. 2016, 168, 375–379. [Google Scholar] [CrossRef]
- Mortensen, N.A.; Xiao, S. Slow-light enhancement of Beer-Lambert-Bouguer absorption. Appl. Phys. Lett. 2007, 90, 2–5. [Google Scholar] [CrossRef]





Publisher’s Note: MDPI stays neutral with regard to jurisdictional claims in published maps and institutional affiliations. |
© 2018 by the authors. Licensee MDPI, Basel, Switzerland. This article is an open access article distributed under the terms and conditions of the Creative Commons Attribution (CC BY) license (https://creativecommons.org/licenses/by/4.0/).
Share and Cite
Jannesari, R.; Abasahl, B.; Grille, T.; Jakoby, B. Hybrid Photonic Crystal-Surface Plasmon Polariton Waveguiding System for On-Chip Sensing Applications. Proceedings 2018, 2, 864. https://doi.org/10.3390/proceedings2130864
Jannesari R, Abasahl B, Grille T, Jakoby B. Hybrid Photonic Crystal-Surface Plasmon Polariton Waveguiding System for On-Chip Sensing Applications. Proceedings. 2018; 2(13):864. https://doi.org/10.3390/proceedings2130864
Chicago/Turabian StyleJannesari, Reyhaneh, Banafsheh Abasahl, Thomas Grille, and Bernhard Jakoby. 2018. "Hybrid Photonic Crystal-Surface Plasmon Polariton Waveguiding System for On-Chip Sensing Applications" Proceedings 2, no. 13: 864. https://doi.org/10.3390/proceedings2130864
APA StyleJannesari, R., Abasahl, B., Grille, T., & Jakoby, B. (2018). Hybrid Photonic Crystal-Surface Plasmon Polariton Waveguiding System for On-Chip Sensing Applications. Proceedings, 2(13), 864. https://doi.org/10.3390/proceedings2130864

