Abstract
Miniaturized and integrated analytical devices, including chemical sensors, are at the forefront of modern analytical chemistry. The construction of novel analytical tools takes advantage of contemporary micro- and nanotechnologies, as well as materials science and technology. The goal of this study was investigate electron transfer resistance in model solution and protein adsorption using integrated electrochemical cell with different geometry.
1. Introduction
Electrochemical impedance spectroscopy (EIS) is one of the techniques used in the measurement of biological and biochemical layers, e.g., bacteria and proteins. EIS is a technique, which monitors the electrical response of the system studied after application of a periodic small amplitude alternating current (AC) signal. Analysis of the system response provides information concerning the interface and reactions occurring at it.
Also cyclic voltammetry (CV) is proven to be very effective for the study the redox process on gold electrode [1], characterization of biomolecule-modified electrode surfaces and the analysis of the alteration in the interfacial properties originating from biomolecular recognition events.
Typically, such measurements are performed in the electrochemical cells which consists of individual electrodes placed inside the macroscopic vessel. Integration of the electrochemical cell electrodes on the surface of the substrate allows for their miniaturization and facilitates the increase of the number of simultaneously conducted experiments in multiplexed measurement system.
In this work integrated electrochemical cells were used in test experiments with model solution containing Fe2+/3+ ions and in investigation protein adsorption on gold surface using electrochemical impedance spectroscopy and cyclic voltammetry.
2. Materials and Method
Integrated electrochemical cells (IEC) were fabricated in Low Temperature Cofired Ceramic (LTCC) technology. The IECs were made on rectangular substrate (20 × 3.5 mm) with electrodes varying in size (Figure 1) and were formed using 3 layers of green tape (DP 951, DuPont). The dimensions of all IECs are shown in Table 1. The gold working (WE) and counter electrodes (CE), silver reference electrode (RE) and contact pads were screen-printed with 325 mesh stainless steel screen (conductive Au paste ESL 8880-H and Ag paste ESL 903A were used). For sensors 1–5, the length of WE and CE as well as the distance between the electrodes were changed. For IEC 5–9 only the length of the WE and CE was changed. The width of the RE was 0.5 mm in all cases. After lamination and shaping of structures, they were co-fired in chamber furnace with standard firing profile at maximum temperature 875 °C.
Figure 1.
(a) Design of integrated electrochemical cell fabricated LTCC technology; (b) Photograph of all types of integrated electrochemical cell fabricated LTCC technology; (c) Schematic drawing presenting the integrated electrochemical cell dimensions.
Table 1.
Dimensions of the integrated electrochemical sensors and calculated values of Rct for cFe2+/3+ = 1.17 mmol/dm3 and cell constant, where h—height of WE and CE, w—width of WE and CE, d—distance between and CE, AWE,CE—area of WE and CE, ARE – area of RE, Rct—charge transfer resistance, κ—cell constant.
Fabricated IECs are meant to be used in the protein and biofilm layers measurements done in the presence of the Fe2+/3+ ions. Results presented in this work were obtained using model solution of potassium hexacyanoferrate (III) and potassium hexacyanoferrate (II) in either physiological saline or Phosphate Buffered Saline (PBS). Role of the latter was to maintain a constant pH. Providing constant measurement conditions is important because protein adsorption is a process with high sensitivity to the influence of the environment.
The protein used in the experiment was Bovine Serum Albumin (BSA). BSA is a rigid, neutral, stable, moderately non-reactive protein [2,3]. It adsorbs to any type of surface and has high stability [4].
Before the measurements an Ag/AgCl RE was formed using two methods: electrolysis [4] and immersion of a RE in a highly concentrated NaCl solution [5].
The 8-channel potentiostat of our own design was used in the measurements. Its advantages are small dimensions, portability and the ability to work in the galvanostat mode. The sensors were made in such way that they can be easily inserted directly in the micro USB connector and placed in the 8-channel measurement head vertically in the wells of a 24-well titrate plate. Impedance analyzer IMP-STM32 [3] was used in the measurements. Range of frequency was 10 mHz to 100 kHz.
The measurement system was controlled by a LabView software which provided a multi-channel EIS and CV measurement.
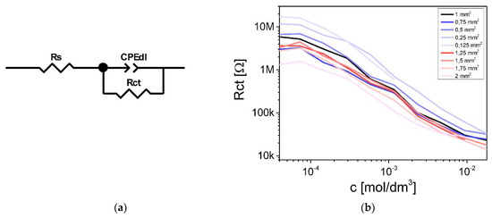
The results of experiments were analyzed using the Electrical Equivalent Circuit (EEC) method. A EEC was used for this experiment (Figure 2a), where Rs—the electrolyte resistance, CPEdl—electrical double layer capacitance, Rct—electron transfer resistance. The values of these parameters were calculated for each of the time-points using Scribner ZView 3.2c software.
Figure 2.
(a) Electrical Equivalent Circuit used in experiment, (b) Charge transport resistance as a function of the concentration of Fe2+/3+ for integrated electrochemical cell.
3. Results
To test all types of the IECs experiments were carried out with the presence of various concentrations of Fe2+/3+. Obtained Rct was inversely proportional to the cFe2+/3+ (Figure 2b). It can be concluded that integrated sensors worked correctly. The value of Rct was not greater than 1 MΩ at cFe2+/3+ = 1.17 mmol/dm3, which means current is large enough to not prevent measurements. Therefore even IEC with small WE surface can be easily used in further measurements.
The IECs cell constants were calculated. It varied with electrodes distance (no 1-5 Table 1) and remained about 2.7 cm-1 for other sensors.
Protein adsorption to the WE surface was investigated for one type of sensor (Table 1 no 5). The experiment was divided into two steps. In the first step impedance sensor was placed in 2 mL PBS solution with the presence of Fe2+/3+ ions (cFe2+/3+ = 5 mmol/dm3). In the second step 10% solution was replaced by bovine albumin dissolved in buffer in the proportions of 0.1 mg BSA in 5 mL PBS.
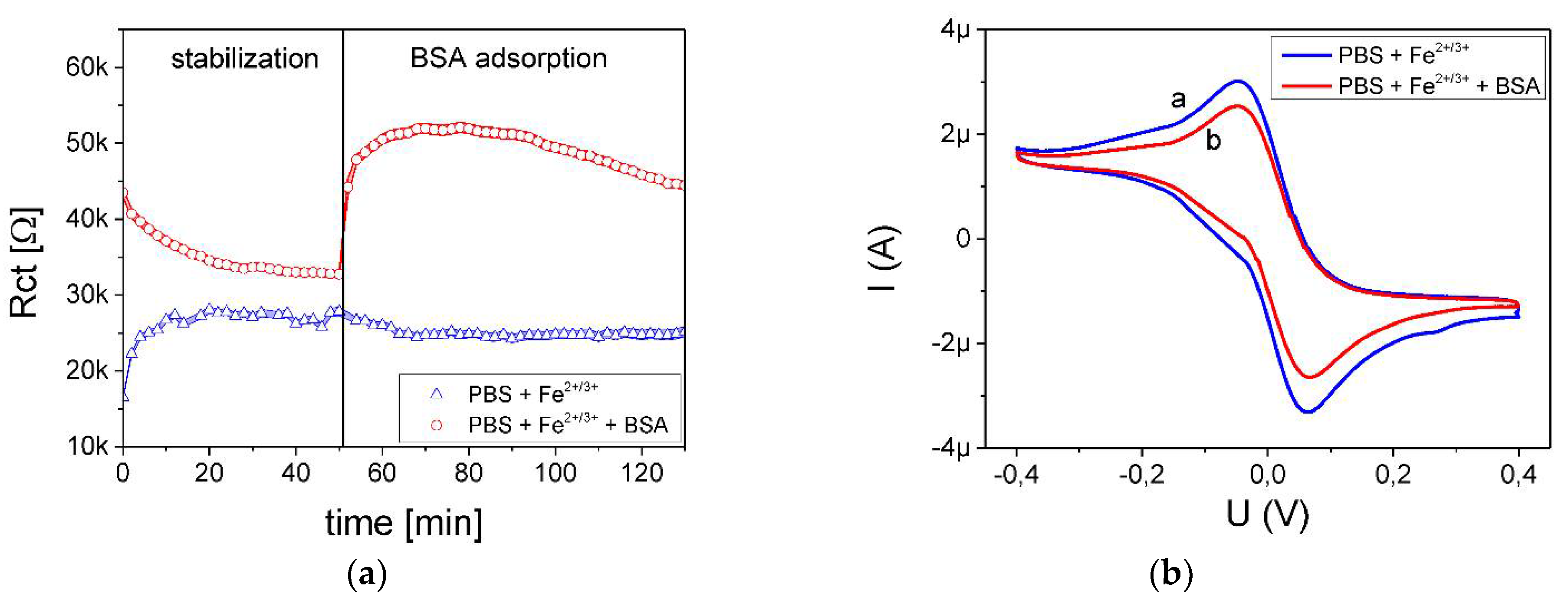
Charge transfer resistance (Rct) as a function of time are shown in Figure 3a.
Figure 3.
(a) Transfer charge resistance (Rct) as a function of time (b) Cyclic voltammograms recorded in a 0.5 mM Fe2+/3+ + PBS solution after different step of modification, (a) bare Au WE, (b) BSA adsorption on WE electrode.
At the beginning sensor was stabilized for 50 min. Next the BSA was added to the PBS solution with the presence of Fe2+/3+ ions. The value electrical equivalent circuit parameters were changed because there were modification in a solution-electrode system. The value of Rct gradually increased with protein adsorption on WE surface. The process lasted 20 min and the system was stabilized. The relative change of Rct was 30%.
CV is used with EIS to characterize protein adsorption. Cyclic voltammetry experiments further confirmed that the BSA was successfully adsorbed on gold WE surface. The cyclic voltammograms of Fe2+/3+ at a bare gold WE (curve a) and WE after BSA adsorption (curve b) are shown in the Figure 3b. The decreasing amperometric response of the WE is used as evidence of protein adsorption on the electrode.
4. Discussion
Miniature integrated impedance sensors fabricated in LTCC technology were used in measurement with model solution containing iron ions and for investigate protein adsorption on WE. Tests performed at various of Fe2+/3+ concentration allowed to verify proper work. Electrodes geometry influenced on cell constant and charge transfer resistance. Cell constant was range 2.5 to 5.1 cm−1. Rct determined for Fe2+/3+ concentration of 1.17 mmol/dm3 was not greater than 1 MΩ. The influence of organic substances (BSA) adsorbing to the surface of the IECs was investigated by EIS and CV. The value of Rct increased with protein adsorption and the relative change of Rct was 30%.
The results of presented preliminary work confirmed that the IECs were used in the measurement with the presence of Fe2+/3+ ions and seem suitable for multichannel EIS system for biological layers measurements. In the future LTCC technology could be used in creation of microfluidic systems integrated with EIS cells.
Author Contributions
T.P. and P.S. conceived the ICE idea and design. D.N. fabricated the IECs in LTCC technology. P.S. performed and analyzed the experiments and wrote paper under supervision of T.P. D.N. contributed with LTCC technology description.
Funding
This work was funded by Wrocław University of Science and Technology statutory grant number 0401/034/17.
Acknowledgments
This work was supported by Wrocław University of Science and Technology statutory grant.
References
- Ahmadab, A.; Moore, E. Electrochemical immunosensor modified with self-assembled monolayer of 11-mercaptoundecanoic acid on gold electrodes for detection of benzo[a]pyrene in water. Analyst 2012, 173, 5839–5844. [Google Scholar] [CrossRef] [PubMed]
- Du, J.; Li, B.; Zhang, P.; Wang, Y. Cationized bovine serum albumin as gene carrier: Influence of specificsecondary structure on DNA complexibility and gene transfection. Colloids Surf. B Biointerfaces 2016, 143, 37–46. [Google Scholar] [CrossRef] [PubMed]
- L-Jawada, S.A.; Tahab, A.; Al-Halbosiyc, M.; L-Barramd, L.A. Synthesis and characterization of small-sized gold nanoparticles coated by bovine serum albumin (BSA) for cancer photothermal therapy. Photodiagn. Photodyn. Ther. 2018, 21, 201–210. [Google Scholar] [CrossRef] [PubMed]
- Ignat, T.; Miu, M.; Kleps, I.; Bragaru, A.; Simion, M.; Danila, M. Electrochemical characterization of BSA/11- mercaptoundecanoic acid on Au electrode. Mater. Sci. Eng. B 2010, 169, 55–61. [Google Scholar] [CrossRef]
- Wang, T.; Gao, H.; Peng, X.J.H.; Chen, G.Z. Electrolysis of solid metal sulfide to metal and sulfur in molten NaCl-KCl. Electrochem. Commun. 2011, 13, 1492–1495. [Google Scholar] [CrossRef]
- Jin, M.; Jiang, L.; Xu, J.; Chu, H.; Tao, D.; Bai, S.; Jia, Y. Electrochemical Characterization of Solid Ag/AgCl Reference Electrode with Different Electrolytes for Corrosion Monitoring of Steel Concrete. Electrochemistry 2016, 84, 383–389. [Google Scholar] [CrossRef]
- Piasecki, T.; Chabowski, K.; Nitsch, K. Design, calibration and tests of versatile low frequency impedance analyser based on ARM microcontroller. Measurement 2016, 91, 155–161. [Google Scholar] [CrossRef]
Publisher’s Note: MDPI stays neutral with regard to jurisdictional claims in published maps and institutional affiliations. |
© 2018 by the authors. Licensee MDPI, Basel, Switzerland. This article is an open access article distributed under the terms and conditions of the Creative Commons Attribution (CC BY) license (https://creativecommons.org/licenses/by/4.0/).


