Analysis of Flood Hydrographs in Order to Predict the Shape of Their Falling Limbs †
Abstract
1. Introduction
2. Material and Methods
2.1. Study Area
2.2. Data
2.3. Methods
2.4. Evaluation
3. Results
4. Conclusions
Author Contributions
Acknowledgments
Conflicts of Interest
References
- David, V.; Davidová, T. Identification and frequency analysis of drought events in the Blanice River catchment (Czech Republic). In Drought: Research and Science-Policy Interfacing; Andreu, J., Solera, A., Paredes-Arquiola, J., Haro-Monteagudo, D., van Lanen, H., Eds.; CRC Press: Boca Raton, FL, USA, 2015; pp. 177–182. [Google Scholar]
- David, V.; Davidová, T. Assessment of summer drought in 2015 using different indices in the catchment of Blanice River. Proc. Eng. 2016, 162, 45–55. [Google Scholar] [CrossRef]
- Potop, V.; Türkott, L.; Kožnarová, V.; Možný, M. Drought episodes in the Czech Republic and their potential effects in agriculture. Theor. Appl. Climatol. 2010, 99, 373–388. [Google Scholar] [CrossRef][Green Version]
- Zahradníček, P.; Trnka, M.; Brázdil, R.; Možný, M.; Štěpánek, P.; Hlavinka, P.; Žalud, Z.; Malý, A.; Semerádová, D.; Dobrovolný, P.; et al. The extreme drought episode of August 2011–May 2012 in the Czech Republic. Int. J. Climatol. 2015, 35, 3335–3352. [Google Scholar] [CrossRef]
- Ministry of Agriculture of the Czech Republic and the Ministry of the Environment of the Czech Republic. The Concept of Drought Impact Prevention in the Territory of the Czech Republic. Available online: https://www.mzp.cz/C1257458002F0DC7/cz/news_170724_sucho/$FILE/koncepce_sucho_material.pdf (accessed on 31 January 2018).
- Pavelková, R.; Frajer, J.; Havlíček, M.; Netopil, P.; Rozkošný, M.; David, V.; Dzuráková, M.; Šarapatka, B. Historical ponds of the Czech Republic: An example of the interpretation of historic maps. J. Maps 2016, 12 (Suppl. 1), 551–559. [Google Scholar] [CrossRef]
- Šantrůčková, M.; Demková, K.; Weber, M.; Lipský, Z.; Dostálek, J. Long term changes in water areas and wetlands in an intensively farmed landscape: A case study from the Czech Republic. Eur. Countrys. 2017, 9, 132–144. [Google Scholar] [CrossRef]
- Act. No 114/1992 Coll., on the Conservation of Nature and Landscape. Available online: http://aplikace.mvcr.cz/sbirka-zakonu/ViewFile.aspx?type=c&id=2551 (accessed on 8 August 2018).
- Graham, D.N.; Butts, M.B. Flexible, integrated watershed modelling with MIKE SHE. Watershed Model. 2005, 849336090, 245–272. [Google Scholar]
- Downer, C.W.; Ogden, F.L. GSSHA: Model to simulate diverse stream flow producing processes. J. Hydrol. Eng. 2004, 9, 161–174. [Google Scholar] [CrossRef]
- Buytaert, W.; De Bièvre, B.; Wyseure, G.; Deckers, J. The use of the linear reservoir concept to quantify the impact of changes in land use on the hydrology of catchments in the Andes. Hydrol. Earth Syst. Sci. 2004, 8, 108–114. [Google Scholar] [CrossRef]
- Pedersen, J.T.; Peters, J.C.; Helweg, O.J. Hydrographs by Single Linear Reservoir Model. J. Hydraul. Div. 1980, 106, 837–852. [Google Scholar] [CrossRef]
- Peters, E.; Torfs, P.J.J.F.; Van Lanen, H.A.J.; Bier, G. Propagation of drought through groundwater—A new approach using linear reservoir theory. Hydrol. Process. 2003, 17, 3023–3040. [Google Scholar] [CrossRef]
- Maillet, E.T. Essais d’hydraulique Souterraine & Fluviale; A. Hermann: Paris, France, 1905. [Google Scholar]
- Brodie, R.S.; Hostetler, S. A review of techniques for analysing baseflow from stream hydrographs. In Proceedings of the NZHS-IAH-NZSSS 2005 Conference, Auckland, New Zealand, 29 November–1 December 2005; Volume 28. [Google Scholar]
- Wittenberg, H. Nonlinear analysis of flow recession curves. In IAHS Publications-Series of Proceedings and Reports-International Association Hydrological Sciences; IAHS: London, UK, 1994; Volume 221, pp. 61–68. [Google Scholar]
- Wagener, T.; Wheater, H.; Gupta, H.V. Rainfall-Runoff Modelling in Gauged and Ungauged Catchments; World Scientific: Singapore, 2004. [Google Scholar]




| ID | Date | Start Q (m3·s−1) | End Q (m3·s−1) | Duration (h) |
|---|---|---|---|---|
| A | 27–29 September 2014 | 0.973 | 0.104 | 48 |
| B | 23–25 October 2014 | 0.922 | 0.115 | 48 |
| C | 4–6 May 2016 | 0.781 | 0.178 | 40 |
| D | 15–17 July 2016 | 0.825 | 0.152 | 40 |
| E | 13–15 July 2017 | 0.659 | 0.106 | 42 |
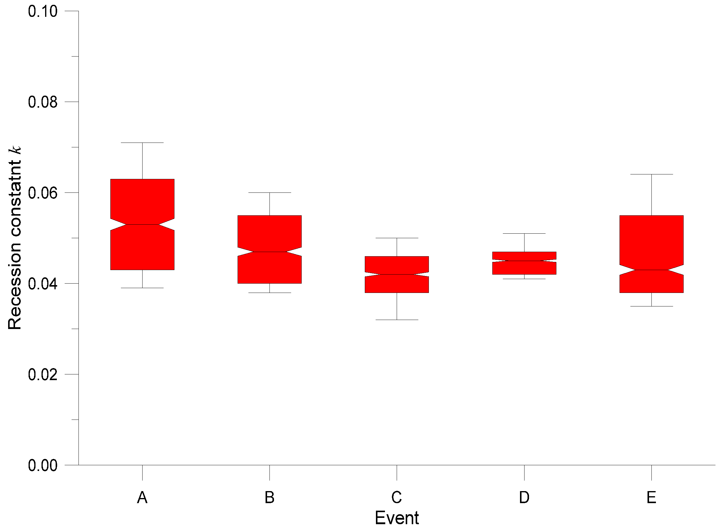
| Event | Mean | Median | Standard Deviation |
|---|---|---|---|
| A | 0.054 | 0.053 | 0.012 |
| B | 0.048 | 0.047 | 0.009 |
| C | 0.043 | 0.043 | 0.006 |
| D | 0.045 | 0.045 | 0.004 |
| E | 0.047 | 0.043 | 0.011 |
Publisher’s Note: MDPI stays neutral with regard to jurisdictional claims in published maps and institutional affiliations. |
© 2018 by the authors. Licensee MDPI, Basel, Switzerland. This article is an open access article distributed under the terms and conditions of the Creative Commons Attribution (CC BY) license (https://creativecommons.org/licenses/by/4.0/).
Share and Cite
David, V.; Davidová, T. Analysis of Flood Hydrographs in Order to Predict the Shape of Their Falling Limbs. Proceedings 2018, 2, 639. https://doi.org/10.3390/proceedings2110639
David V, Davidová T. Analysis of Flood Hydrographs in Order to Predict the Shape of Their Falling Limbs. Proceedings. 2018; 2(11):639. https://doi.org/10.3390/proceedings2110639
Chicago/Turabian StyleDavid, Václav, and Tereza Davidová. 2018. "Analysis of Flood Hydrographs in Order to Predict the Shape of Their Falling Limbs" Proceedings 2, no. 11: 639. https://doi.org/10.3390/proceedings2110639
APA StyleDavid, V., & Davidová, T. (2018). Analysis of Flood Hydrographs in Order to Predict the Shape of Their Falling Limbs. Proceedings, 2(11), 639. https://doi.org/10.3390/proceedings2110639

