Positively and Negatively Round Turbulent Buoyant Jets into Homogeneous Calm Ambient †
Abstract
:1. Introduction
2. Mathematical Model for Round Buoyant Jets
3. Results
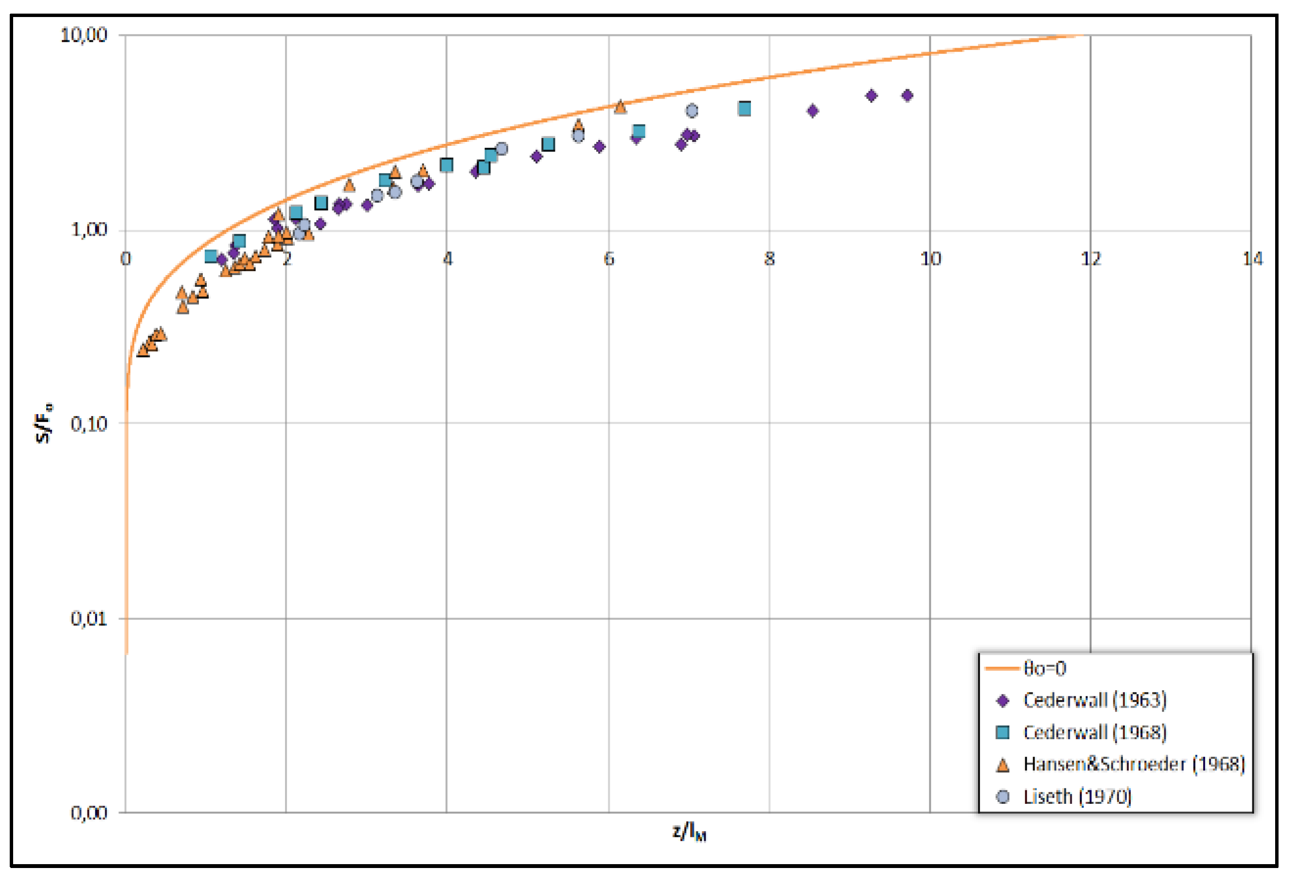
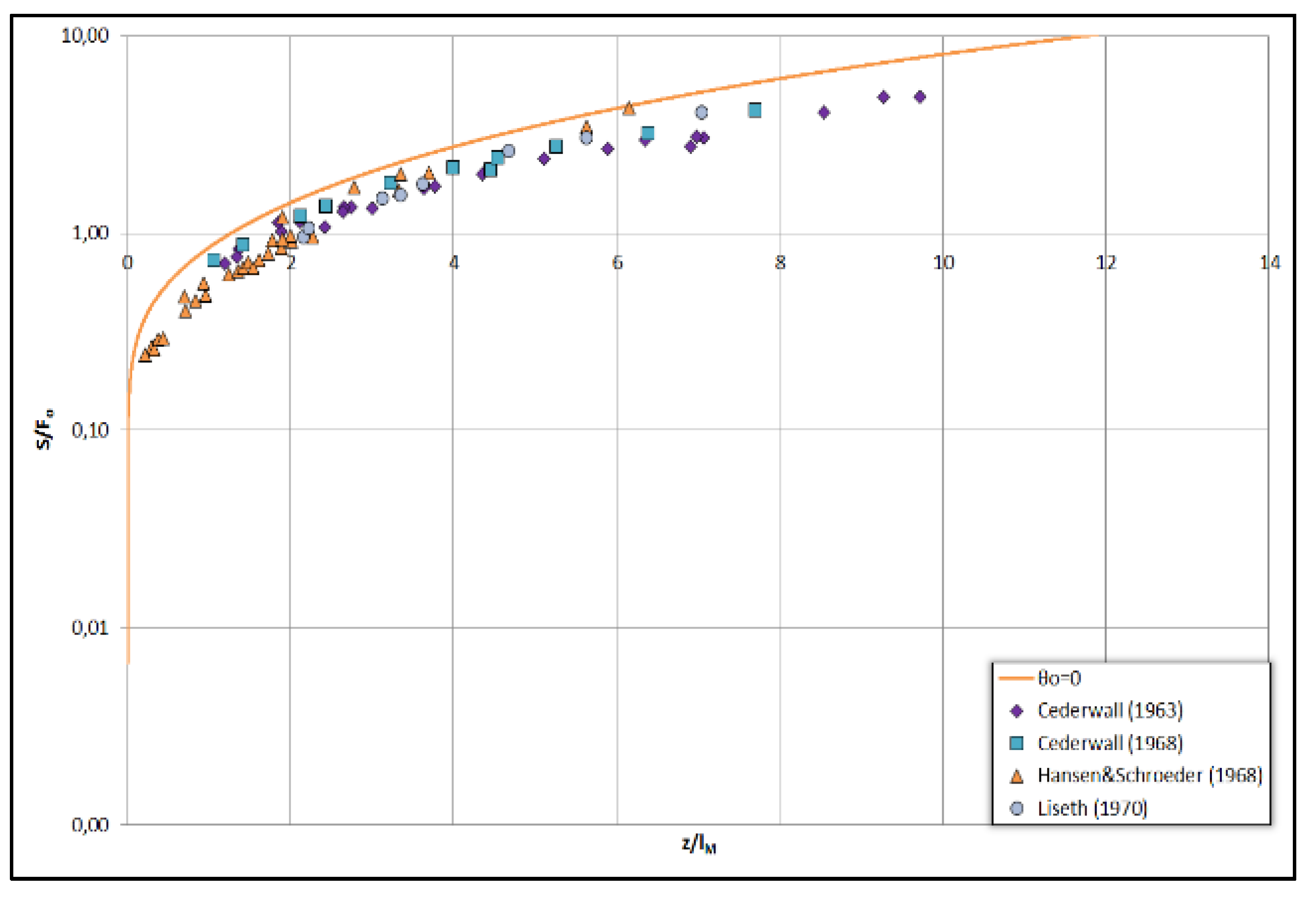
3.1. Positively Buoyant Saline Jets
3.2. Positively Buoyant Heated Jets (To > Tα)
3.3. Negatively Buoyant Saline Jets
3.4. Negatively Buoyant Heated Jets (To > Tα)
3.5. Comparison of Positively Buoyant Saline, Hot and Cold Water Turbulent Jets
3.6. Comparison of Negatively Buoyant Saline, Hot and Cold Water Turbulent Jets
4. Conclusions
Author Contributions
Conflicts of Interest
References
- Papanicolaou, P.N. Analytical Solutions in Vertical Buoyant Jets. In Proceedings of the 11th HSTAM International Congress on Mechanics, Athens, Greece, 27-30 May 2016. [Google Scholar]
- List, E.J.; Imberger, J. Turbulent entrainment in buoyant jets and plumes. J. Hydraul. Div. 1973, 99, 1461–1474. [Google Scholar] [CrossRef]
- Yannopoulos, P.C. An improved integral model for plane and round turbulent buoyant jets. J. Fluid Mech. 2006, 547, 267–296. [Google Scholar] [CrossRef]
- Fischer, H.B.; List, E.J.; Koh, R.C.Y.; Imberger, J.; Brooks, N.H. Mixing in Inland and Coastal Waters; Academic Press. Elsevier: New York, NY, USA, 1979. [Google Scholar]
- Papakonstantis, I.G. Turbulent Round Negatively Buoyant Jets at an Angle in a Calm Homogeneous Ambient. Ph.D. Thesis, School of Civil Engineering, NTUA, Athens, Greece, 2009. (In Greek). [Google Scholar]
- Papanicolaou, P.N.; List, J.E. Investigations of round vertical turbulent buoyant jets. J. Fluid Mech. 1988, 195, 341–391. [Google Scholar] [CrossRef]
- Kikkert, G.A.; Davidson, M.J.; Nokes, R.I. Inclined negatively buoyant discharges. ASCE J. Hydraul. Eng. 2007, 133, 545–554. [Google Scholar] [CrossRef]
- Cederwall, K. The Initial Mixing on Jet Disposal into a Recipient. Chalmers University of Technology, Goteborg, Sweden, 1963. (In Swedish). [Google Scholar]
- Cederwall, K. Hydraulics of Marine Waste Water Disposal. Ph.D. Thesis, Hydraulic Division Rep. No. 42. Chalmers Institute of Technology, Göteborg, Sweden, 1968. [Google Scholar]
- Hansen, J.; Schroder, H. Horizontal Jet Dilution Studies by Use of Radioactive Isotopes; Acta Polytechnica Scandinavia, Civil Engineering and Building Construction Series 49; Danish Academy of Technical Sciences: Copenhagen, Denmark, 1968. [Google Scholar]
- Michas, S.N. Experimental Investigation of Horizontal Round and Non-Axisymmetric Buoyant Jets in a Uniform Calm Ambient. Ph.D. Thesis, Hydromechanics and Environmental Engineering Laboratory, Department of Civil Engineering, University of Thessaly, Filellinon, Volos, Greece, 2008. (In Greek). [Google Scholar]
- Oliver, C.J. Near Field Mixing of Negatively Buoyant Jets. Ph.D. Thesis, University of Canterbury, Christchurch, New Zealand, 2012. [Google Scholar]
- Crowe, A.T. Inclined Negatively Buoyant Jets and Boundary Interaction. Ph.D. Thesis, University of Canterbury, Christchurch, New Zealand, 2013. [Google Scholar]
- Vrachiolidis, A. Negatively Buoyant Heated Turbulent Jets at an Angle. Diploma Thesis, School of Civil Engineering, National Technical University of Athens, Greece, 2016. (In Greek). [Google Scholar]
- Fragkou, A. Turbulent Round Positively and Negatively Buoyant Jets in a Homogeneous Calm Ambient. Diploma Thesis, School of Civil Engineering, National Technical University of Athens, Greece, 2017. (In Greek). [Google Scholar]














Publisher’s Note: MDPI stays neutral with regard to jurisdictional claims in published maps and institutional affiliations. |
© 2018 by the authors. Licensee MDPI, Basel, Switzerland. This article is an open access article distributed under the terms and conditions of the Creative Commons Attribution (CC BY) license (https://creativecommons.org/licenses/by/4.0/).
Share and Cite
Fragkou, A.; Papanicolaou, P. Positively and Negatively Round Turbulent Buoyant Jets into Homogeneous Calm Ambient. Proceedings 2018, 2, 572. https://doi.org/10.3390/proceedings2110572
Fragkou A, Papanicolaou P. Positively and Negatively Round Turbulent Buoyant Jets into Homogeneous Calm Ambient. Proceedings. 2018; 2(11):572. https://doi.org/10.3390/proceedings2110572
Chicago/Turabian StyleFragkou, Anastasia, and Panos Papanicolaou. 2018. "Positively and Negatively Round Turbulent Buoyant Jets into Homogeneous Calm Ambient" Proceedings 2, no. 11: 572. https://doi.org/10.3390/proceedings2110572
APA StyleFragkou, A., & Papanicolaou, P. (2018). Positively and Negatively Round Turbulent Buoyant Jets into Homogeneous Calm Ambient. Proceedings, 2(11), 572. https://doi.org/10.3390/proceedings2110572
