Enhancing Compressive Performance of Gyroid Structures Through Evolutionary Design †
Abstract
1. Motivation
2. Design Methodology
3. Materials
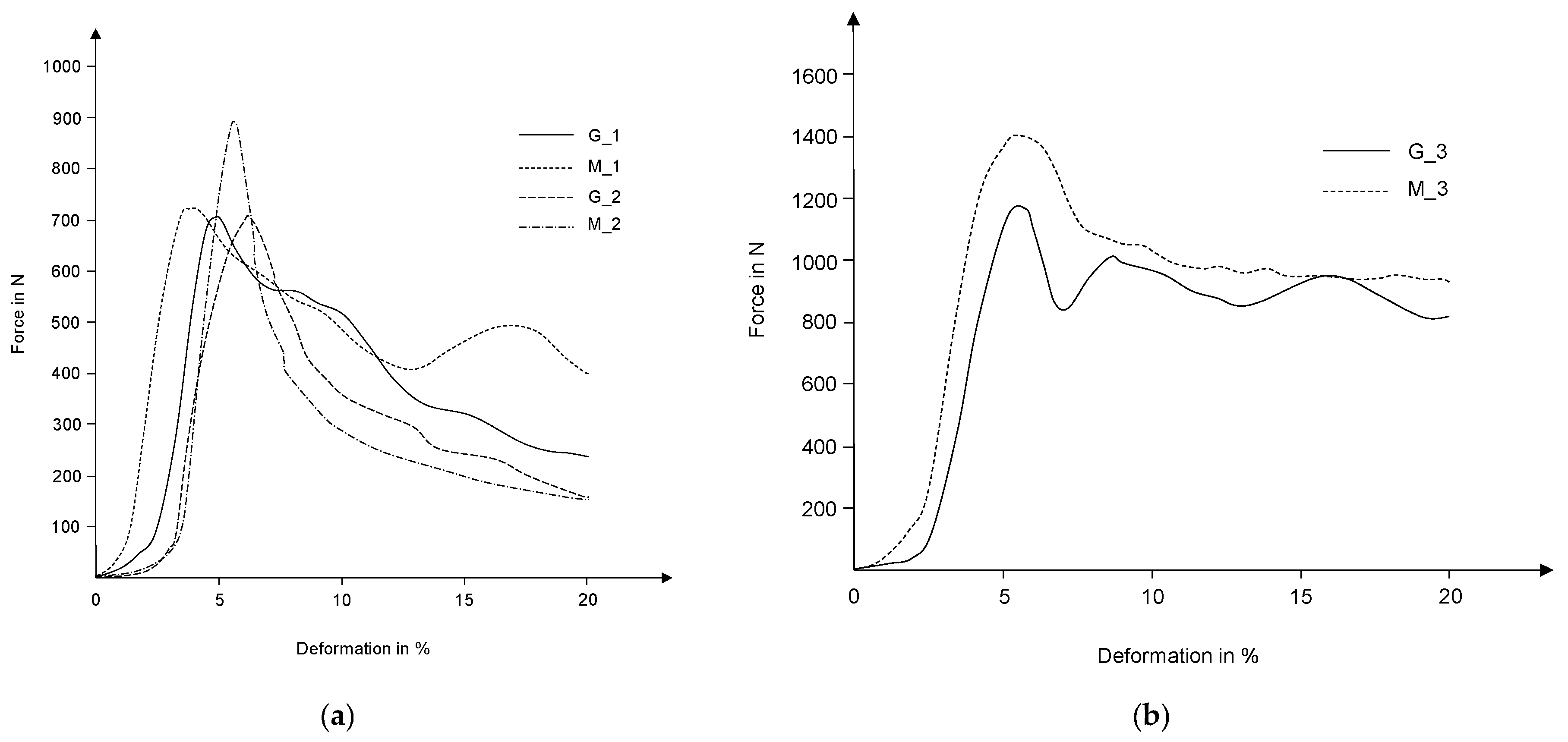
4. Results
5. Summary
Author Contributions
Funding
Institutional Review Board Statement
Informed Consent Statement
Data Availability Statement
Acknowledgments
Conflicts of Interest
Abbreviations
| TPMS | Triply periodic minimal surface |
| FDM | Fused deposition modeling |
| SLA | Stereolithography |
| PLA | Polylactic acid |
References
- Anderson, D.M.; Davis, H.T.; Nitsche, J.C.C.; Scriven, L.E. Periodic surfaces of prescribed mean curvature. In Physics of Amphiphilic Layers: Proceedings of the Workshop, Les Houches, France February 10–19; Springer: Berlin/Heidelberg, Germany, 1987; pp. 336–396. [Google Scholar] [CrossRef]
- Jung, Y.; Torquato, S. Fluid permeabilities of triply periodic minimal surfaces. Phys. Rev. E—Stat. Nonlinear Soft Matter Phys. 2005, 72, 056319. [Google Scholar] [CrossRef] [PubMed]
- Li, D.; Liao, W.; Dai, N.; Xie, Y.M. Comparison of mechanical properties and energy absorption of sheet-based and strut-based gyroid cellular structures with graded densities. Materials 2019, 12, 2183. [Google Scholar] [CrossRef] [PubMed]
- Michielsen, K.; Stavenga, D.G. Gyroid cuticular structures in butterfly wing scales: Biological photonic crystals. J. R. Soc. Interface 2008, 5, 85–94. [Google Scholar] [CrossRef] [PubMed]
- Wilts, B.D.; Apeleo Zubiri, B.; Klatt, M.A.; Butz, B.; Fischer, M.G.; Kelly, S.T.; Spiecker, E.; Steiner, U.; Schröder-Turk, G.E. Butterfly gyroid nanostructures as a time-frozen glimpse of intracellular membrane development. Sci. Adv. 2017, 3, e1603119. [Google Scholar] [CrossRef] [PubMed]
- Schoen, A.H. Honeycomb Core Structures of Minimal Surface Tubule Sections. U.S. Patent No. 3,663,346, 16 May 1972. [Google Scholar]
- Shinde, M.; Ramirez-Chavez, I.E.; Anderson, D.; Fait, J.; Jarrett, M.; Bhate, D. Towards an ideal energy absorber: Relating failure mechanisms and energy absorption metrics in additively manufactured AlSi10Mg cellular structures under quasistatic compression. J. Manuf. Mater. Process. 2022, 6, 140. [Google Scholar] [CrossRef]
- Ali, D. Mimicking Bone Anisotropic Structure with Modified Gyroid Scaffolds; A Finite Element Analysis. Politek. Derg. 2021, 24, 1637–1646. [Google Scholar] [CrossRef]
- Dutta, G.S.; Meiners, D.; Merkert, N. A Study of Free-Form Shape Rationalization Using Biomimicry as Inspiration. Polymers 2023, 15, 2466. [Google Scholar] [CrossRef] [PubMed]
- Dutta, G.S.; Meiners, D.; Ziegmann, G. A study of deployable structures based on nature inspired curved-crease folding. Polymers 2024, 16, 766. [Google Scholar] [CrossRef] [PubMed]
- Anycubic i3 Mega S. ANYCUBIC 3D Printing. Available online: https://www.anycubic.com/products/anycubic-i3-mega-s (accessed on 2 November 2025).
- Travieso-Rodriguez, J.A.; Jerez-Mesa, R.; Llumà, J.; Traver-Ramos, O.; Gomez-Gras, G.; Roa Rovira, J.J. Mechanical Properties of 3D-Printing Polylactic Acid Parts subjected to Bending Stress and Fatigue Testing. Materials 2019, 12, 3859. [Google Scholar] [CrossRef] [PubMed]
- Formlabs. Form 2: Affordable Desktop SLA 3D Printer. Available online: https://formlabs.com/3d-printers/form-2/ (accessed on 2 November 2025).
- Formlabs. Resin Family: Rigid. 2024. Available online: https://formlabs.com/materials/rigid/ (accessed on 2 November 2025).







| Variations | d | % Fill | Unit Cell Combinations | Support Plates | Printing Method/Material |
|---|---|---|---|---|---|
| G_1 | 30 mm | 10 | 1 × 1 × 1 | No | FDM/PLA |
| M_1 | 30 mm | 10 | 1 × 1 × 1 | No | FDM/PLA |
| G_2 | 30 mm | 10 | 1 × 1 × 1 | Yes | FDM/PLA |
| M_2 | 30 mm | 10 | 1 × 1 × 1 | Yes | FDM/PLA |
| G_3 | 30 mm | 10 | 2 × 2 × 2 | No | FDM/PLA |
| M_3 | 30 mm | 10 | 2 × 2 × 2 | No | FDM/PLA |
| G_4 | 40 mm | 15 | 1 × 1 × 1 | Yes | SLA/Formlabs Rigid |
| M_4 | 40 mm | 15 | 1 × 1 × 1 | Yes | SLA/Formlabs Rigid |
| G_5 | 20 mm | 30 | 2 × 2 × 2 | Yes | SLA/Formlabs Rigid |
| M_5 | 20 mm | 30 | 2 × 2 × 2 | Yes | SLA/Formlabs Rigid |
Disclaimer/Publisher’s Note: The statements, opinions and data contained in all publications are solely those of the individual author(s) and contributor(s) and not of MDPI and/or the editor(s). MDPI and/or the editor(s) disclaim responsibility for any injury to people or property resulting from any ideas, methods, instructions or products referred to in the content. |
© 2025 by the authors. Licensee MDPI, Basel, Switzerland. This article is an open access article distributed under the terms and conditions of the Creative Commons Attribution (CC BY) license (https://creativecommons.org/licenses/by/4.0/).
Share and Cite
Dutta, G.S.; Hartkopf, F.; Steuernagel, L. Enhancing Compressive Performance of Gyroid Structures Through Evolutionary Design. Proceedings 2025, 132, 1. https://doi.org/10.3390/proceedings2025132001
Dutta GS, Hartkopf F, Steuernagel L. Enhancing Compressive Performance of Gyroid Structures Through Evolutionary Design. Proceedings. 2025; 132(1):1. https://doi.org/10.3390/proceedings2025132001
Chicago/Turabian StyleDutta, Gaurab Sundar, Fabian Hartkopf, and Leif Steuernagel. 2025. "Enhancing Compressive Performance of Gyroid Structures Through Evolutionary Design" Proceedings 132, no. 1: 1. https://doi.org/10.3390/proceedings2025132001
APA StyleDutta, G. S., Hartkopf, F., & Steuernagel, L. (2025). Enhancing Compressive Performance of Gyroid Structures Through Evolutionary Design. Proceedings, 132(1), 1. https://doi.org/10.3390/proceedings2025132001

