Insight into Thermal Modifications of Quarkonia From a Comparison of Continuum-Extrapolated Lattice Results to Perturbative QCD †
Abstract
1. Introduction
2. Continuum Extrapolation
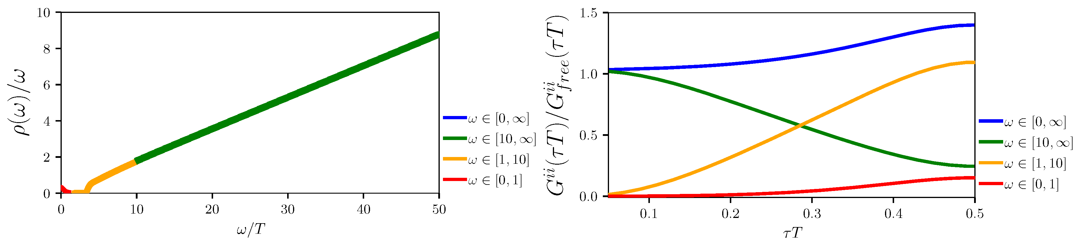
3. The Perturbative Spectral Function
4. Comparison of Lattice and Perturbative Correlators
5. Conclusions
Funding
References
- Ding, H.-T.; Kaczmarek, O.; Kruse, A.-L.; Ohno, H.; Sandmeyer, H. Continuum extrapolation of quarkonium correlators at non-zero temperature. EPJ Web. Conf. 2018, 175, 07010. [Google Scholar] [CrossRef][Green Version]
- Lüscher, M.; Sint, S.; Sommer, R.; Wittig, H. Non-perturbative determination of the axial current normalization constant in O(a) improved lattice QCD. Nucl. Phys. 1997, B491, 344. [Google Scholar] [CrossRef]
- Burnier, Y.; Ding, H.-T.; Kaczmarek, O.; Kruse, A.-L.; Laine, M.; Ohno, H.; Sandmeyer, H. Thermal quarkonium physics in the pseudoscalar channel. JHEP 2017, 11, 206. [Google Scholar] [CrossRef]
- Burnier, Y.; Laine, M.; Vepsalainen, M. Heavy quarkonium in any channel in resummed hot QCD. JHEP 2008, 1, 043. [Google Scholar] [CrossRef]
- Ding, H.-T.; Kaczmarek, O.; Mukherjee, S.; Ohno, H.; Shu, H.-T. Stochastic reconstructions of spectral functions: Application to lattice QCD. Phys. Rev. 2018, D97, 094503. [Google Scholar] [CrossRef]




| Charmonium | Bottomonium | |||||
|---|---|---|---|---|---|---|
| 1.1 | 1.04 | 0.52 | 0.01 | 0.85 | −0.11 | 0.02 |
| 1.3 | 1.04 | 0.37 | 0.01 | 0.87 | −0.13 | 0.04 |
| 1.5 | 1.02 | 0.33 | 0.02 | 0.87 | −0.11 | 0.10 |
| 2.25 | 1.06 | 0.16 | 0.08 | 0.93 | −0.04 | 0.28 |
Publisher’s Note: MDPI stays neutral with regard to jurisdictional claims in published maps and institutional affiliations. |
© 2019 by the authors. Licensee MDPI, Basel, Switzerland. This article is an open access article distributed under the terms and conditions of the Creative Commons Attribution (CC BY) license (https://creativecommons.org/licenses/by/4.0/).
Share and Cite
Kruse, A.-L.; Ding, H.-T.; Kaczmarek, O.; Ohno, H.; Sandmeyer, H. Insight into Thermal Modifications of Quarkonia From a Comparison of Continuum-Extrapolated Lattice Results to Perturbative QCD. Proceedings 2019, 10, 45. https://doi.org/10.3390/proceedings2019010045
Kruse A-L, Ding H-T, Kaczmarek O, Ohno H, Sandmeyer H. Insight into Thermal Modifications of Quarkonia From a Comparison of Continuum-Extrapolated Lattice Results to Perturbative QCD. Proceedings. 2019; 10(1):45. https://doi.org/10.3390/proceedings2019010045
Chicago/Turabian StyleKruse, Anna-Lena, H.-T. Ding, O. Kaczmarek, H. Ohno, and H. Sandmeyer. 2019. "Insight into Thermal Modifications of Quarkonia From a Comparison of Continuum-Extrapolated Lattice Results to Perturbative QCD" Proceedings 10, no. 1: 45. https://doi.org/10.3390/proceedings2019010045
APA StyleKruse, A.-L., Ding, H.-T., Kaczmarek, O., Ohno, H., & Sandmeyer, H. (2019). Insight into Thermal Modifications of Quarkonia From a Comparison of Continuum-Extrapolated Lattice Results to Perturbative QCD. Proceedings, 10(1), 45. https://doi.org/10.3390/proceedings2019010045
