Non-Extensive Motivated Parton Fragmentation Functions †
Abstract
:1. Introduction
2. The Formalism
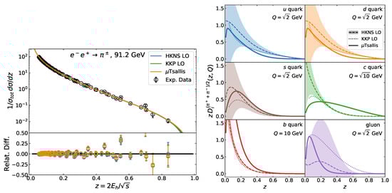
3. Results
4. Conclusions
Funding
Acknowledgments
References
- Bíró, G.; Barnaföldi, G.G.; Biró, T.S.; Ürmössy, K.; Takacs, A. Systematic Analysis of the Non-Extensive Statistical Approach in High Energy Particle Collisions—Experiment vs. Theory. Entropy 2017, 19, 88. [Google Scholar]
- Tsallis, C. Introduction to Nonextensive Statistical Mechanics; Springer: New York, NY, USA, 2009. [Google Scholar]
- Campa, A.; Dauxois, T.; Fanelli, D.; Ruffo, S. Physics of Long-Range Interacting Systems; Oxford University Press: Oxford, UK, 2014. [Google Scholar]
- Takacs, A.; Kocsis, B. Isotropic-Nematic Phase Transitions in Gravitational Systems. II. Higher Order Multipoles. Astrophys. J. 2018, 856, 113. [Google Scholar]
- Biró, T.S.; Ván, P.; Barnaföldi, G.G.; Ürmössy, K. Statistical Power Law due to Reservoir Fluctuations and the Universal Thermostat Independence Principle. Entropy 2014, 16, 6497–6514. [Google Scholar] [CrossRef]
- Urmossy, K.; Barnafoldi, G.G.; Biro, T.S. Generalised Tsallis Statistics in Electron-Positron Collisions. Phys. Lett. 2011, B701, 111–116. [Google Scholar]
- Ellis, R.; Stirling, W.; Webber, B. QCD and Collider Physics; Cambridge University Press: Cambridg, UK, 2003. [Google Scholar]
- Patrignani, C. Review of Particle Physics. Chin. Phys. C 2016, 40, 100001. [Google Scholar]
- Bertone, V.; Hartland, N.P.; Nocera, E.R.; Rojo, J.; Rottoli, L. A determination of the fragmentation functions of pions, kaons, and protons with faithful uncertainties. Eur. Phys. J. 2018, C78, 651. [Google Scholar] [CrossRef] [PubMed]
- Hirai, M.; Kumano, S.; Nagai, T.H.; Sudoh, K. Determination of fragmentation functions and their uncertainties. Phys. Rev. 2007, D75, 094009. [Google Scholar] [CrossRef]
- Kniehl, B.A.; Kramer, G.; Potter, B. Fragmentation functions for pions, kaons, and protons at next-to-leading order. Nucl. Phys. 2000, B582, 514. [Google Scholar] [CrossRef]
- de Florian, D.; Sassot, R.; Epele, M.; Hernández-Pinto, R.J.; Stratmann, M. Global analysis of fragmentation functions for pions and kaons and their uncertainties. Phys. Rev. D 2015, 91, 014035. [Google Scholar] [CrossRef]
- Blaizot, J.P.; Mehtar-Tani, Y. Energy flow along the medium-induced parton cascade. Ann. Phys. 2016, 368, 148–176. [Google Scholar] [CrossRef]


Publisher’s Note: MDPI stays neutral with regard to jurisdictional claims in published maps and institutional affiliations. |
© 2019 by the authors. Licensee MDPI, Basel, Switzerland. This article is an open access article distributed under the terms and conditions of the Creative Commons Attribution (CC BY) license (http://creativecommons.org/licenses/by/4.0/).
Share and Cite
Takacs, A.; Barnaföldi, G.G. Non-Extensive Motivated Parton Fragmentation Functions. Proceedings 2019, 10, 12. https://doi.org/10.3390/proceedings2019010012
Takacs A, Barnaföldi GG. Non-Extensive Motivated Parton Fragmentation Functions. Proceedings. 2019; 10(1):12. https://doi.org/10.3390/proceedings2019010012
Chicago/Turabian StyleTakacs, Adam, and Gergely Gábor Barnaföldi. 2019. "Non-Extensive Motivated Parton Fragmentation Functions" Proceedings 10, no. 1: 12. https://doi.org/10.3390/proceedings2019010012
APA StyleTakacs, A., & Barnaföldi, G. G. (2019). Non-Extensive Motivated Parton Fragmentation Functions. Proceedings, 10(1), 12. https://doi.org/10.3390/proceedings2019010012

