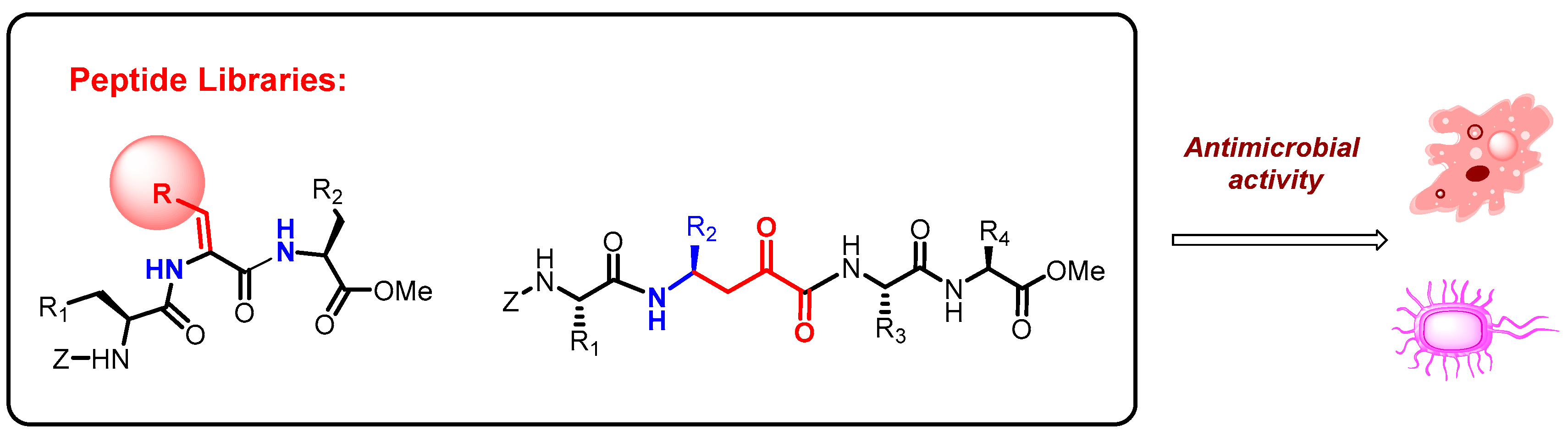
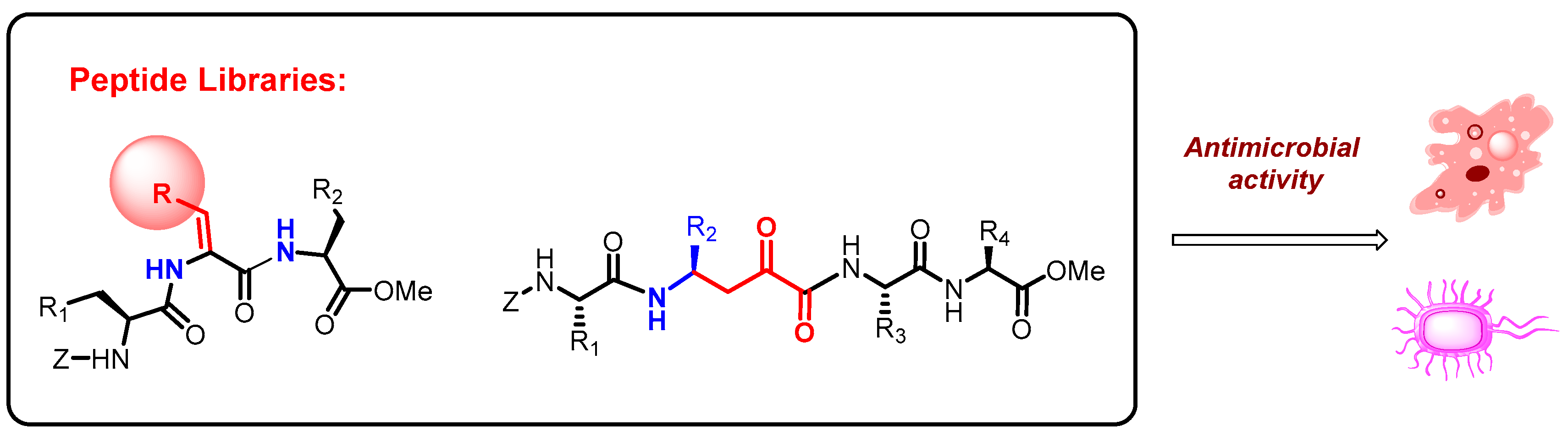
Antimicrobial Activity of Amino Acid Analogues and Their Derivatives †

Author Contributions
Acknowledgments
Conflicts of Interest
References
- Saavedra, C.J.; Boto, A.; Hernández, R. “Customizable” Units in Di- and Tripeptides: Selective Conversion into Substituted Dehydroamino Acids. Org. Lett. 2012, 14, 3788–3791. [Google Scholar] [CrossRef] [PubMed]
- Boto, A.; Hernández, D.; Hernández, R. One-Pot Conversion of Proline Derivatives into Iodinated Iminosugar-Based Nucleosides, Useful Precursors of Highly Functionalized Nucleoside Analogues. Eur. J. Org. Chem. 2010, 6633–6642. [Google Scholar] [CrossRef]
- Hernández, D.; Boto, A.; Guzmán, D.; Alvarez, E. Metal-free, direct conversion of α-amino acids into α-keto γ-amino esters for the synthesis of α,γ-peptides. Org. Biomol. Chem. 2017, 15, 7736–7742. [Google Scholar] [CrossRef] [PubMed]
Publisher’s Note: MDPI stays neutral with regard to jurisdictional claims in published maps and institutional affiliations. |
© 2017 by the authors. Licensee MDPI, Basel, Switzerland. This article is an open access article distributed under the terms and conditions of the Creative Commons Attribution (CC BY) license (https://creativecommons.org/licenses/by/4.0/).
Share and Cite
Hernández, D.; Saavedra, C.; Carro, C.; Boto, A.; Lastra, J.M.P.d. Antimicrobial Activity of Amino Acid Analogues and Their Derivatives. Proceedings 2017, 1, 657. https://doi.org/10.3390/proceedings1060657
Hernández D, Saavedra C, Carro C, Boto A, Lastra JMPd. Antimicrobial Activity of Amino Acid Analogues and Their Derivatives. Proceedings. 2017; 1(6):657. https://doi.org/10.3390/proceedings1060657
Chicago/Turabian StyleHernández, Dácil, Carlos Saavedra, Carmen Carro, Alicia Boto, and José M. Pérez de Lastra. 2017. "Antimicrobial Activity of Amino Acid Analogues and Their Derivatives" Proceedings 1, no. 6: 657. https://doi.org/10.3390/proceedings1060657
APA StyleHernández, D., Saavedra, C., Carro, C., Boto, A., & Lastra, J. M. P. d. (2017). Antimicrobial Activity of Amino Acid Analogues and Their Derivatives. Proceedings, 1(6), 657. https://doi.org/10.3390/proceedings1060657

