Dual Gate Microsensors and Nanomaterials for Chemical Detection †
Abstract
:1. Introduction
2. Materials and Methods
3. Results
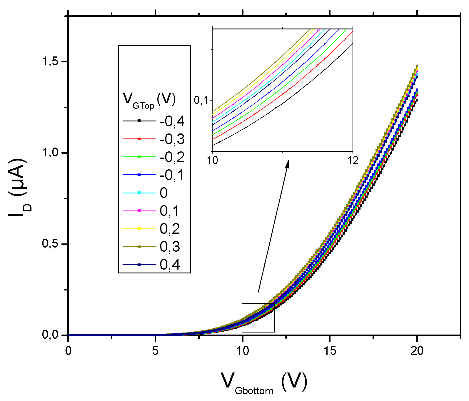
3.1. Sensitivity to pH
3.2. Integration of Nanomaterials
4. Conclusion
Acknowledgments
Conflicts of Interest
References
- Bergveld, P. Thirty years of ISFETOLOGY: What happened in the past 30 years and what may happen in the next 30 years. Sens. Actuators B Chem. 2003, 88, 1–20. [Google Scholar] [CrossRef]
- Van Hal, R.E.G.; Eijkel, J.C.T.; Bergveld, P. A novel description of ISFET sensitivity with the buffer capacity and double-layer capacitance as key parameters. Sens. Actuators B Chem. 1995, 24, 201–205. [Google Scholar] [CrossRef]
- Spijkman, M.J.; Brondijk, J.J.; Geuns, T.C.; Smits, E.C.; Cramer, T.; Zerbetto, F.; Stoliar, P.; Biscarini, F.; Blom, P.W.; de Leeuw, D.M. Dual-gate organic field-effect transistors as potentiometric sensors in aqueous solution. Adv. Funct. Mater. 2010, 20, 898–905. [Google Scholar] [CrossRef]
- Jang, H.-J.; Cho, W.-J. Performance Enhancement of Capacitive-Coupling Dual-Gate Ion-Sensitive Field-Effect Transistor in Ultra-Thin-Body. Sci Rep. 2014, 4. [Google Scholar] [CrossRef] [PubMed]
- Donero, L.; Bouts, N.; El Mel, A.A.; Le Borgne, B.; Gautron, E.; Le Brizoual, L.; Le Bihan, F.; Tessier, P.Y. Effect of temperature on the synthesis of nanoporous carbon from copper/carbon thin films to nanoporous carbon for sensing applications. Thin Solid Films 2017, 630, 59–65. [Google Scholar] [CrossRef]
- Demami, F.; Ni, L.; Rogel, R.; Salaun, A.-C.; Pichon, L. Silicon nanowires based resistors as gas sensors. Sens. Actuators B Chem. 2011, 170, 158. [Google Scholar] [CrossRef]






Publisher’s Note: MDPI stays neutral with regard to jurisdictional claims in published maps and institutional affiliations. |
© 2017 by the authors. Licensee MDPI, Basel, Switzerland. This article is an open access article distributed under the terms and conditions of the Creative Commons Attribution (CC BY) license (https://creativecommons.org/licenses/by/4.0/).
Share and Cite
Donero, L.; Brizoual, L.L.; Mel, A.A.E.; Tessier, P.-Y.; Bihan, F.L. Dual Gate Microsensors and Nanomaterials for Chemical Detection. Proceedings 2017, 1, 478. https://doi.org/10.3390/proceedings1040478
Donero L, Brizoual LL, Mel AAE, Tessier P-Y, Bihan FL. Dual Gate Microsensors and Nanomaterials for Chemical Detection. Proceedings. 2017; 1(4):478. https://doi.org/10.3390/proceedings1040478
Chicago/Turabian StyleDonero, Laetitia, Laurent Le Brizoual, Abel Aziz El Mel, Pierre-Yves Tessier, and France Le Bihan. 2017. "Dual Gate Microsensors and Nanomaterials for Chemical Detection" Proceedings 1, no. 4: 478. https://doi.org/10.3390/proceedings1040478
APA StyleDonero, L., Brizoual, L. L., Mel, A. A. E., Tessier, P.-Y., & Bihan, F. L. (2017). Dual Gate Microsensors and Nanomaterials for Chemical Detection. Proceedings, 1(4), 478. https://doi.org/10.3390/proceedings1040478
