Study of a Layered Au, Pt-YSZ Mixed-Potential Sensing Electrode by ESEM, XRD and GD-OES with Relation to Its Electrochemical Behaviour †
Abstract
:1. Introduction
2. Materials and Methods
2.1. Sensor Element
2.2. Electrode Material Characterization
2.3. OCP and CV Measurements
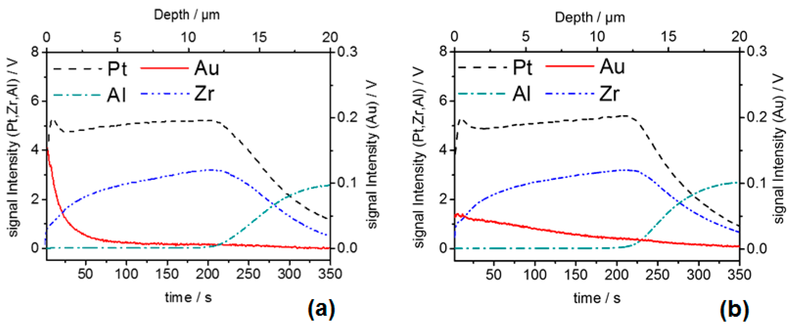
3. Results and Discussion
4. Conclusions
Author Contributions
Acknowledgments
Conflicts of Interest
References
- Riegel, J.; Neumann, H.; Wiedenmann, H.M. Exhaust gas sensors for automotive emission control. Solid State Ion. 2002, 152–153, 783–800. [Google Scholar] [CrossRef]
- Miura, N.; Sato, T.; Anggraini, S.A.; Ikeda, H.; Zhuiykov, S. A review of mixed-potential type zirconia-based gas sensors. Ionics 2014, 20, 901–925. [Google Scholar] [CrossRef]
- Zhang, X.; Kohler, H.; Schwotzer, M.; Wu, Y.H.; Guth, U. Mixed-potential gas sensor with layered Au, Pt-YSZ electrode: Investigating the sensing mechanism with steady state and dynamic electrochemical methods. Sens. Actuators B Chem. 2017, 252, 554–560. [Google Scholar] [CrossRef]
- Garzon, F.H.; Mukundan, R.; Brosha, E.L. Solid-state mixed potential gas sensors: Theory, experiments and challenges. Solid State Ion. 2000, 136–137, 633–638. [Google Scholar] [CrossRef]





Publisher’s Note: MDPI stays neutral with regard to jurisdictional claims in published maps and institutional affiliations. |
© 2017 by the authors. Licensee MDPI, Basel, Switzerland. This article is an open access article distributed under the terms and conditions of the Creative Commons Attribution (CC BY) license (https://creativecommons.org/licenses/by/4.0/).
Share and Cite
Zhang, X.; Kohler, H.; Schwotzer, M.; Wu, Y.; Guth, U. Study of a Layered Au, Pt-YSZ Mixed-Potential Sensing Electrode by ESEM, XRD and GD-OES with Relation to Its Electrochemical Behaviour. Proceedings 2017, 1, 465. https://doi.org/10.3390/proceedings1040465
Zhang X, Kohler H, Schwotzer M, Wu Y, Guth U. Study of a Layered Au, Pt-YSZ Mixed-Potential Sensing Electrode by ESEM, XRD and GD-OES with Relation to Its Electrochemical Behaviour. Proceedings. 2017; 1(4):465. https://doi.org/10.3390/proceedings1040465
Chicago/Turabian StyleZhang, Xin, Heinz Kohler, Matthias Schwotzer, Yanhong Wu, and Ulrich Guth. 2017. "Study of a Layered Au, Pt-YSZ Mixed-Potential Sensing Electrode by ESEM, XRD and GD-OES with Relation to Its Electrochemical Behaviour" Proceedings 1, no. 4: 465. https://doi.org/10.3390/proceedings1040465
APA StyleZhang, X., Kohler, H., Schwotzer, M., Wu, Y., & Guth, U. (2017). Study of a Layered Au, Pt-YSZ Mixed-Potential Sensing Electrode by ESEM, XRD and GD-OES with Relation to Its Electrochemical Behaviour. Proceedings, 1(4), 465. https://doi.org/10.3390/proceedings1040465

