Impact of High Coupling Factor in Absolute Distance Measurement with Self-Mixing Interferometry †
Abstract
:1. Introduction
2. Theory
2.1. Self-Mixing Interferometry Basics
2.2. Absolute Distance Measurement
3. Experimental Setup
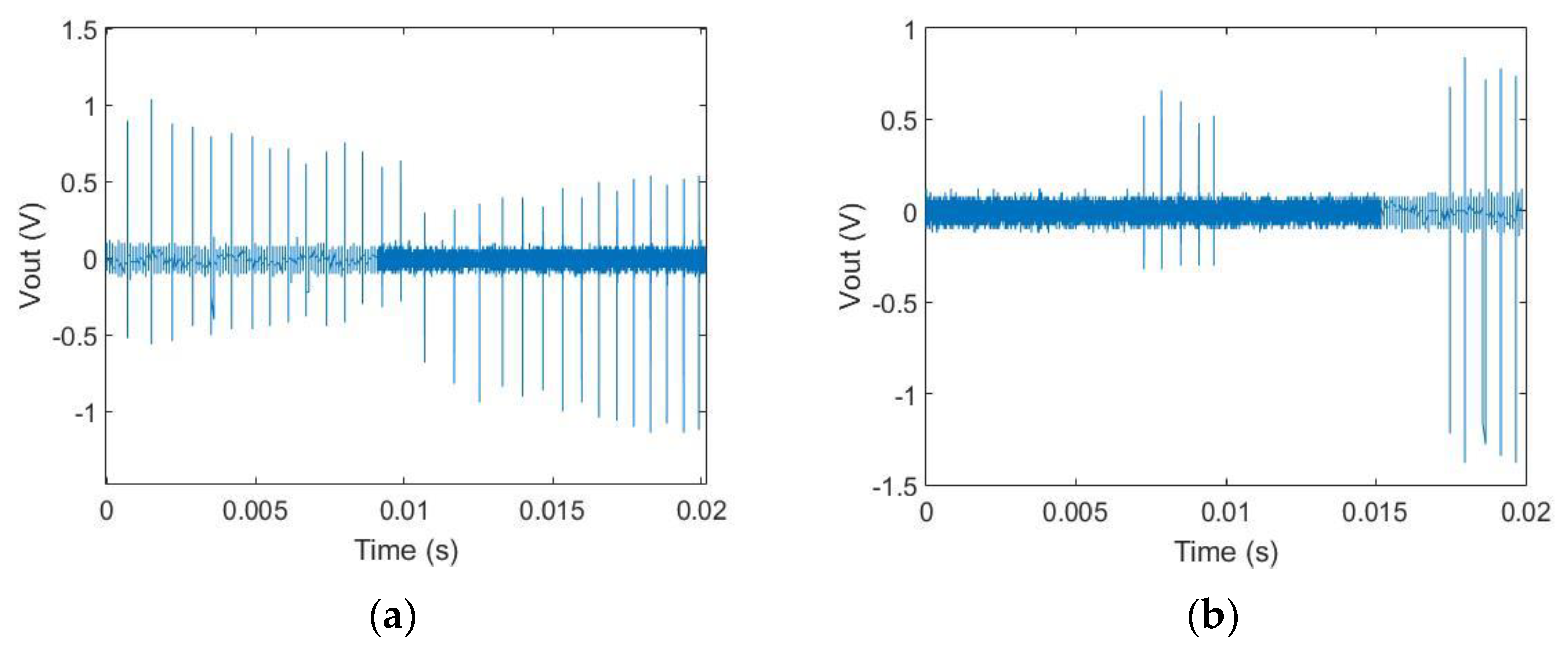
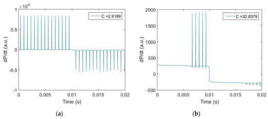
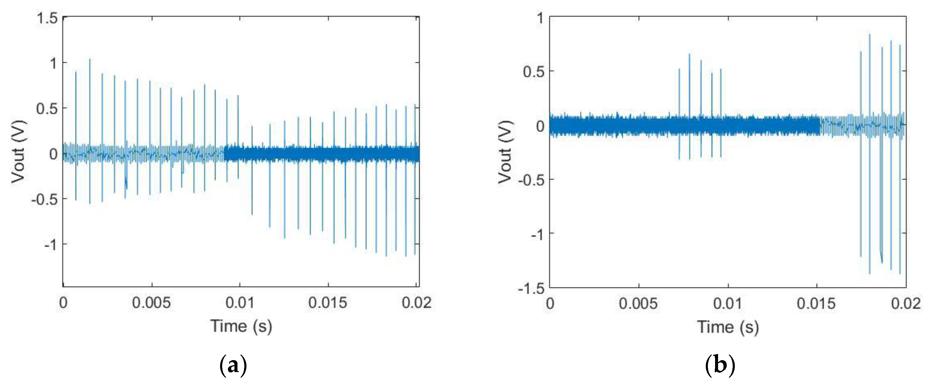
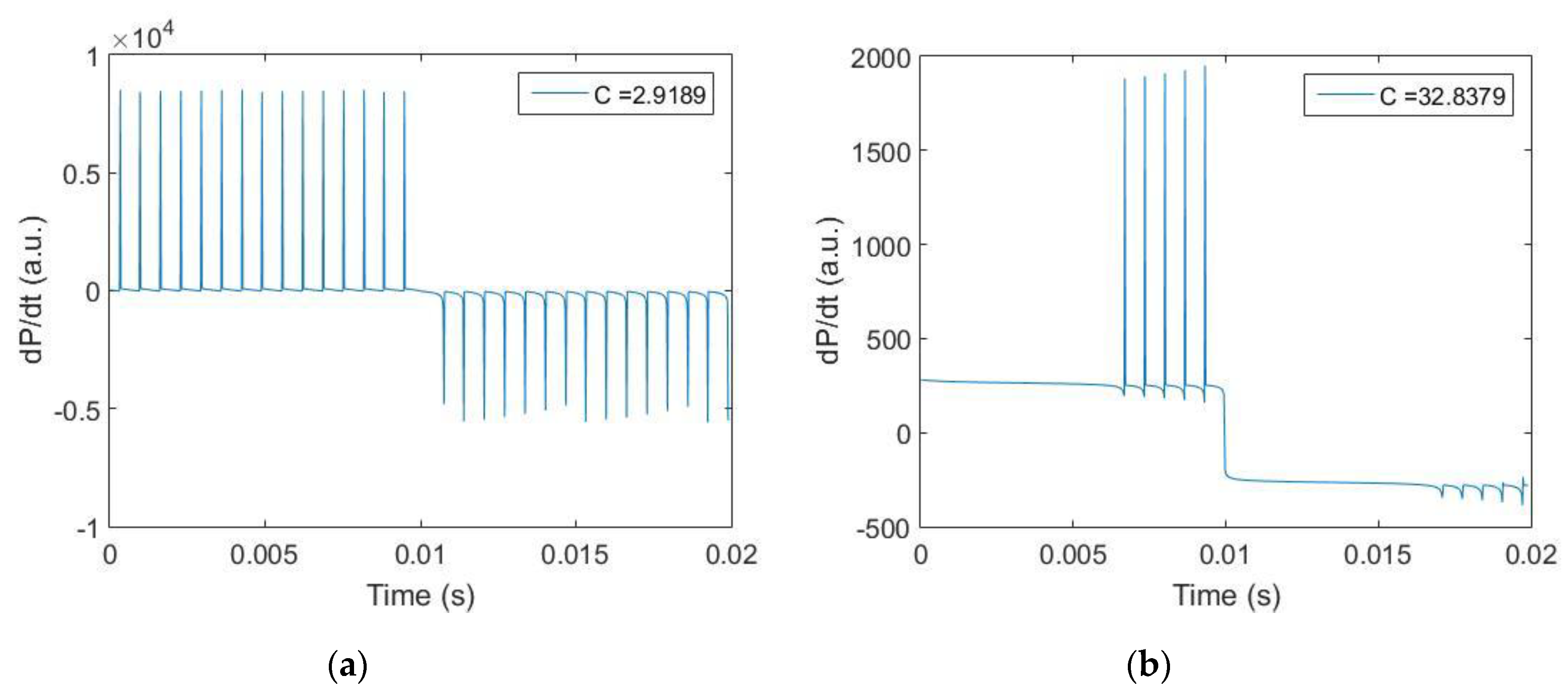
4. Results
5. Conclusions
Acknowledgments
Conflicts of Interest
References
- Donati, S. Developing self-mixing interferometry for instrumentation and measurement. LaserPhotonics Rev. 2012, 6, 393–417. [Google Scholar] [CrossRef]
- Bertling, K.; Perchoux, J.; Taimre, T.; Malkin, R.; Robert, D.; Rakić, A.D.; Bosch, T. Imaging of acoustic fields using optial feedback interferometry. Opt. Express 2014, 22, 30346–30356. [Google Scholar] [CrossRef] [PubMed]
- Bosch, T.; Bes, C.; Scalise, L.; Plantier, G. Optical Feedback Interferometry. In Encyclopedia of Sensors Vol 6; American Scientific Publishers: Valencia, CA, USA, 2006; pp. 1–20. ISBN 1-58883-056-X. [Google Scholar]
- Gagnon, E.; Rivest, J.F. Laser range imaging using the self-mixing effect in a laser diode. IEEE Trans. Instrum. Meas. 1999, 48, 693–699. [Google Scholar] [CrossRef]
- Petermann, K. Laser Diode Modulation and Noise; Kluwer Academic: Tokyo, Japan, 1988. [Google Scholar]
- Donati, S.; Guiliani, G.; Merlo, S. Laser diode feedback interferometer for measurement of displacements without ambiguity. IEEE J. Quantum Electron. 1995, 31, 113–119. [Google Scholar] [CrossRef]
- Kliese, R.; Taimre, T.; Bakar, A.A.A.; Lim, Y.L.; Bertling, K.; Nikolić, M.; Perchoux, J.; Bosch, T.; Rakić, A.D. Solving self-mixing equation for arbitrary feedback levels: A concise algorithm. Appl. Opt. 2014, 53, 3723–3736. [Google Scholar] [CrossRef] [PubMed]
- Taimre, T.; Nikolić, M.; Bertling, K.; Lim, Y.L.; Bosch, T.; Rakić, A.D. Laser feedback interferometry: A tutorial on the self-mixing effect for coherent sensing. Adv. Opt. Photonics 2015, 7, 570–631. [Google Scholar] [CrossRef]
- Yu, Y.; Xi, J.; Chicharo, J.F.; Bosch, T.M. Optical feedback self-mixing interferometry with a large feedback factor C: behavior studies. IEEE J. Quantum Electron. 2009, 45, 840–848. [Google Scholar] [CrossRef]



Publisher’s Note: MDPI stays neutral with regard to jurisdictional claims in published maps and institutional affiliations. |
© 2017 by the authors. Licensee MDPI, Basel, Switzerland. This article is an open access article distributed under the terms and conditions of the Creative Commons Attribution (CC BY) license (https://creativecommons.org/licenses/by/4.0/).
Share and Cite
Veng, M.; Perchoux, J.; Bony, F. Impact of High Coupling Factor in Absolute Distance Measurement with Self-Mixing Interferometry. Proceedings 2017, 1, 373. https://doi.org/10.3390/proceedings1040373
Veng M, Perchoux J, Bony F. Impact of High Coupling Factor in Absolute Distance Measurement with Self-Mixing Interferometry. Proceedings. 2017; 1(4):373. https://doi.org/10.3390/proceedings1040373
Chicago/Turabian StyleVeng, Mengkoung, Julien Perchoux, and Francis Bony. 2017. "Impact of High Coupling Factor in Absolute Distance Measurement with Self-Mixing Interferometry" Proceedings 1, no. 4: 373. https://doi.org/10.3390/proceedings1040373
APA StyleVeng, M., Perchoux, J., & Bony, F. (2017). Impact of High Coupling Factor in Absolute Distance Measurement with Self-Mixing Interferometry. Proceedings, 1(4), 373. https://doi.org/10.3390/proceedings1040373

