Modelling and Experimental Analysis of a Magnetic Material Actuator: Towards Wireless Implantable Devices †
Abstract
:1. Introduction
2. Materials and Methods
2.1. Diaphragm Fabrication
2.2. Model Overview
2.2.1. Electromagnet
2.2.2. Magnetic Diaphragm
2.2.3. Field-Particle Interaction
2.2.4. Model Parameters
2.3. Experimental Protocol
3. Results
3.1. Optimisation Results
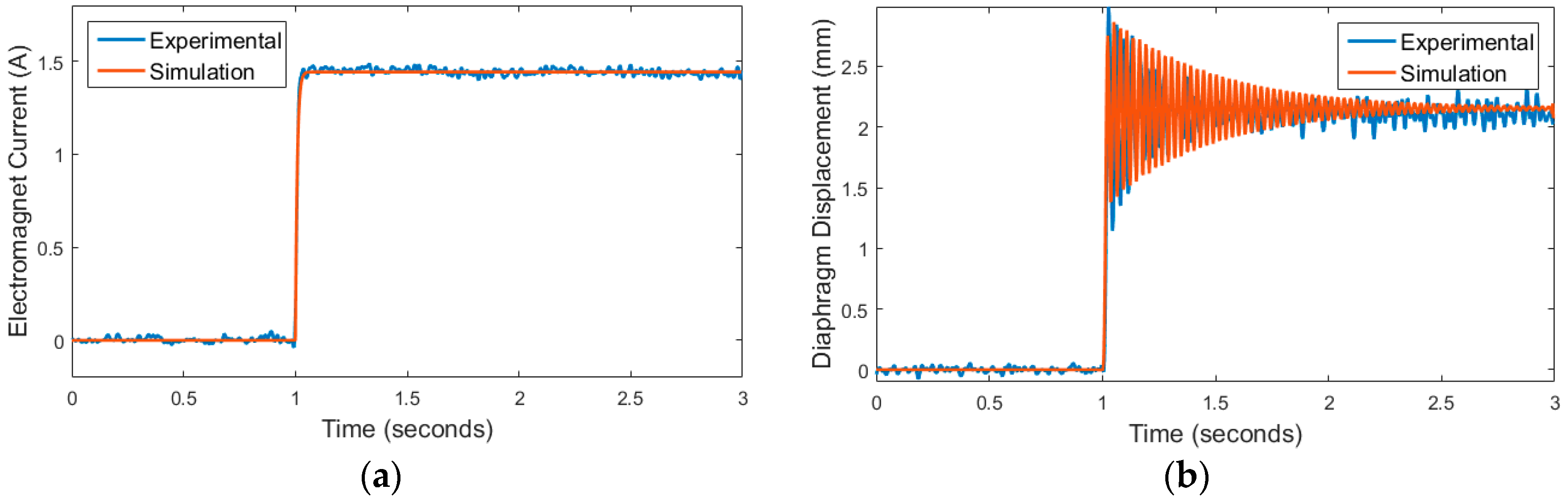
3.2. Validation Results
4. Discussion
Acknowledgments
Conflicts of Interest
References
- Ramanujan, R.V.; Lao, L.L. The mechanical behavior of smart magnet–hydrogel composites. Smart Mater. Struct. 2006, 15, 952. [Google Scholar] [CrossRef]
- Nguyen, V.Q.; Ramanujan, R.V. Novel coiling behavior in magnet-polymer composites. Macromol. Chem. Phys. 2010, 211, 618–626. [Google Scholar] [CrossRef]
- Jackson, J. Classical Electrodynamics, 2nd ed.; John Wiley & Sons: New York, NY, USA, 1975. [Google Scholar]




| Symbol | Parameter | Symbol | Parameter |
|---|---|---|---|
| A 1 | Electromagnet radius | R 2 | Electromagnet resistance |
| r0 1 | Gap distance | L 2 | Electromagnet inductance |
| ω0 1 | Natural frequency | 2 | Damping ratio |
| εm 2 | Magneto-mechanical gain |
Publisher’s Note: MDPI stays neutral with regard to jurisdictional claims in published maps and institutional affiliations. |
© 2017 by the authors. Licensee MDPI, Basel, Switzerland. This article is an open access article distributed under the terms and conditions of the Creative Commons Attribution (CC BY) license (https://creativecommons.org/licenses/by/4.0/).
Share and Cite
Jayaneththi, V.; Aw, K.; McDaid, A. Modelling and Experimental Analysis of a Magnetic Material Actuator: Towards Wireless Implantable Devices. Proceedings 2017, 1, 368. https://doi.org/10.3390/proceedings1040368
Jayaneththi V, Aw K, McDaid A. Modelling and Experimental Analysis of a Magnetic Material Actuator: Towards Wireless Implantable Devices. Proceedings. 2017; 1(4):368. https://doi.org/10.3390/proceedings1040368
Chicago/Turabian StyleJayaneththi, Vinura, Kean Aw, and Andrew McDaid. 2017. "Modelling and Experimental Analysis of a Magnetic Material Actuator: Towards Wireless Implantable Devices" Proceedings 1, no. 4: 368. https://doi.org/10.3390/proceedings1040368
APA StyleJayaneththi, V., Aw, K., & McDaid, A. (2017). Modelling and Experimental Analysis of a Magnetic Material Actuator: Towards Wireless Implantable Devices. Proceedings, 1(4), 368. https://doi.org/10.3390/proceedings1040368

