Yellowstone Wildfires Increased Stream Ion Concentrations and Export
Abstract
1. Introduction
2. Materials and Methods
2.1. Study Area
2.2. Data Collection
2.3. Data Analysis
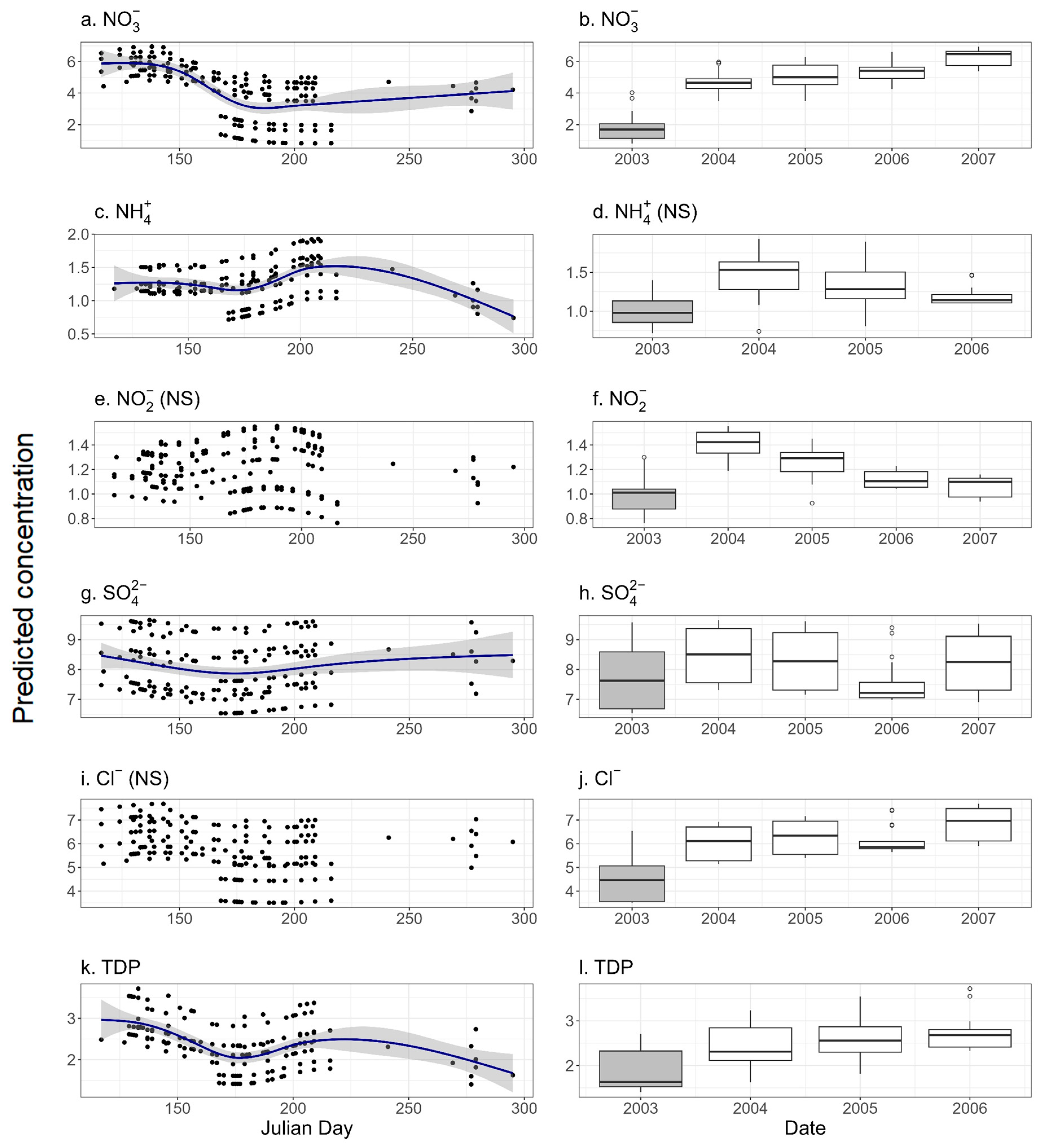
3. Results
3.1. Ion Concentrations
3.2. Ion Export
4. Discussion
4.1. Ion Conentrations Increased Dramatically After Wildfire
4.2. Ion Export Increased and Remained High After Wildfire
4.3. Comparisons to Other Fires in Yellowstone National Park
4.4. Conclusions
Supplementary Materials
Author Contributions
Funding
Data Availability Statement
Acknowledgments
Conflicts of Interest
References
- Doerr, S.H.; Santín, C. Global trends in wildfire and its impacts: Perceptions versus realities in a changing world. Philos. Trans. R. Soc. B Biol. Sci. 2016, 371, 20150345. [Google Scholar] [CrossRef] [PubMed]
- Jones, M.W.; Abatzoglou, J.T.; Veraverbeke, S.; Andela, N.; Lasslop, G.; Forkel, M.; Smith, A.J.; Burton, C.; Betts, R.A.; van der Werf, G.R.; et al. Global and regional trends and drivers of fire under climate change. Rev. Geophys. 2022, 60, e2020RG000726. [Google Scholar] [CrossRef]
- Higuera, P.E.; Shuman, B.N.; Wolf, K.D. Rocky Mountain subalpine forests now burning more than any time in recent millennia. Proc. Natl. Acad. Sci. USA 2021, 118, e2103135118. [Google Scholar] [CrossRef] [PubMed]
- Westerling, A.L. Increasing western US forest wildfire activity: Sensitivity to changes in the timing of spring. Philos. Trans. R. Soc. Lond. B Biol. Sci. 2016, 371, 20150178. [Google Scholar] [CrossRef] [PubMed]
- Pausas, J.G.; Keeley, J.E. Wildfires as an ecosystem service. Front. Ecol. Environ. 2019, 17, 289–295. [Google Scholar] [CrossRef]
- Certini, G. Effects of fire on properties of forest soils: A review. Oecologia 2005, 143, 1–10. [Google Scholar] [CrossRef]
- Jager, H.I.; Long, J.W.; Malison, R.L.; Murphy, B.P.; Rust, A.; Silva, L.G.; Sollmann, R.; Steel, Z.L.; Bowen, M.D.; Dunham, J.B.; et al. Resilience of terrestrial and aquatic fauna to historical and future wildfire regimes in western North America. Ecol. Evol. 2021, 11, 12259–12284. [Google Scholar] [CrossRef]
- Bixby, R.J.; Cooper, S.D.; Gresswell, R.E.; Brown, L.E.; Dahm, C.N.; Dwire, K.A. Fire effects on aquatic ecosystems: An assessment of the current state of the science. Freshw. Sci. 2015, 34, 1340–1350. [Google Scholar] [CrossRef]
- Elliott, S.M.; Hornberger, M.I.; Rosenberry, D.O.; Frus, R.J.; Webb, R.M. A conceptual framework to assess post-wildfire water quality: State of the science and knowledge gaps. Water Resour. Res. 2024, 60, e2023WR036260. [Google Scholar] [CrossRef]
- Vitousek, P.M.; Reiners, W.A. Ecosystem succession and nutrient retention: A hypothesis. BioSci 1975, 25, 376–381. [Google Scholar] [CrossRef]
- Bormann, F.H.; Likens, G.E. Pattern and Process in a Forested Ecosystem: Disturbance, Development and the Steady State Based on the Hubbard Brook Ecosystem Study; Springer Science & Business Media: Berlin/Heidelberg, Germany, 2012. [Google Scholar]
- Vitousek, P.M.; Gosz, J.R.; Grier, C.C.; Melillo, J.M.; Reiners, W.A.; Todd, R.L. Nitrate Losses from Disturbed Ecosystems: Interregional comparative studies show mechanisms underlying forest ecosystem response to disturbance. Science 1979, 204, 469–474. [Google Scholar] [CrossRef] [PubMed]
- Attiwill, P.M.; Adams, M.A. Nutrient cycling in forests. New Phytol. 1993, 124, 561–582. [Google Scholar] [CrossRef] [PubMed]
- Ice, G.G.; Neary, D.G.; Adams, P.W. Effects of wildfire on soils and watershed processes. J. For. 2004, 102, 16–20. [Google Scholar] [CrossRef]
- Hauer, F.R.; Spencer, C.N. Phosphorus and nitrogen dynamics in streams associated with wildfire: A study of immediate and longterm effects. Int. J. Wildland Fire 1998, 8, 183–198. [Google Scholar] [CrossRef]
- Betts, E.F.; Jones, J.B., Jr. Impact of wildfire on stream nutrient chemistry and ecosystem metabolism in boreal forest catchments of interior Alaska. Arct. Antarct. Alp. Res. 2009, 41, 407–417. [Google Scholar] [CrossRef]
- Minshall, G.W.; Robinson, C.T.; Lawrence, D.E. Postfire responses of lotic ecosystems in Yellowstone National Park, USA. Can. J. Fish. Aquat. Sci. 1997, 54, 2509–2525. [Google Scholar] [CrossRef]
- Bayley, S.E.; Schindler, D.W.; Beaty, K.G.; Parker, B.R.; Stainton, M.P. Effects of multiple fires on nutrient yields from streams draining boreal forest and fen watersheds: Nitrogen and phosphorus. Can. J. Fish. Aquat. Sci. 1992, 49, 584–596. [Google Scholar] [CrossRef]
- Bayley, S.E.; Schindler, D.W.; Parker, B.R.; Stainton, M.P.; Beaty, K.G. Effects of forest fire and drought on acidity of a base-poor boreal forest stream: Similarities between climatic warming and acidic precipitation. Biogeochemistry 1992, 17, 191–204. [Google Scholar] [CrossRef]
- Silins, U.; Bladon, K.D.; Kelly, E.N.; Esch, E.; Spence, J.R.; Stone, M.; Emelko, M.B.; Boon, S.; Wagner, M.J.; Williams, C.H.; et al. Five-year legacy of wildfire and salvage logging impacts on nutrient runoff and aquatic plant, invertebrate, and fish productivity. Ecohydrology 2014, 7, 1508–1523. [Google Scholar] [CrossRef]
- Earl, S.R.; Blinn, D.W. Effects of wildfire ash on water chemistry and biota in South-Western USA streams. Freshw. Biol. 2003, 48, 1015–1030. [Google Scholar] [CrossRef]
- Albin, D.P. Fire and stream ecology in some Yellowstone Lake tributaries. California Fish. Game 1979, 65, 216–238. [Google Scholar]
- Biggs, B.J. Eutrophication of streams and rivers: Dissolved nutrient-chlorophyll relationships for benthic algae. J. N. Am. Benthol. Soc. 2000, 19, 17–31. [Google Scholar] [CrossRef]
- Lintern, A.; Webb, J.A.; Ryu, D.; Liu, S.; Bende-Michl, U.; Waters, D.; Leahy, P.; Wilson, P.; Western, A.W. Key factors influencing differences in stream water quality across space. Wiley Interdiscip. Rev. Water 2018, 5, 1260. [Google Scholar] [CrossRef]
- Hallema, D.W.; Sun, G.; Bladon, K.D.; Norman, S.P.; Caldwell, P.V.; Liu, Y.; McNulty, S.G. Regional patterns of postwildfire streamflow response in the Western United States: The importance of scale-specific connectivity. Hydrol. Process 2017, 31, 2582–2598. [Google Scholar] [CrossRef]
- Covino, T.; McGlynn, B.; Baker, M. Separating physical and biological nutrient retention and quantifying uptake kinetics from ambient to saturation in successive mountain stream reaches. J. Geophys. Res. Biogeo 2010, 115, 1–17. [Google Scholar] [CrossRef]
- Moody, J.A.; Martin, D.A. Post-fire, rainfall intensity–peak discharge relations for three mountainous watersheds in the western USA. Hydrol. Process 2001, 15, 2981–2993. [Google Scholar] [CrossRef]
- Rhoades, C.C.; Chow, A.T.; Covino, T.P.; Fegel, T.S.; Pierson, D.N.; Rhea, A.E. The legacy of a severe wildfire on stream nitrogen and carbon in headwater catchments. Ecosystems 2019, 22, 643–657. [Google Scholar] [CrossRef]
- Lane, P.N.; Sheridan, G.J.; Noske, P.J.; Sherwin, C.B. Phosphorus and nitrogen exports from SE Australian forests following wildfire. J. Hydrol. 2008, 361, 186–198. [Google Scholar] [CrossRef]
- Gustine, R.N.; Hanan, E.J.; Robichaud, P.R.; Elliot, W.J. From burned slopes to streams: How wildfire affects nitrogen cycling and retention in forests and fire-prone watersheds. Biogeochemistry 2022, 157, 51–68. [Google Scholar] [CrossRef]
- Rhoades, C.C.; Entwistle, D.; Butler, D. The influence of wildfire extent and severity on streamwater chemistry, sediment and temperature following the Hayman Fire, Colorado. Int. J. Wildland Fire 2011, 20, 430–442. [Google Scholar] [CrossRef]
- Oliver, A.A.; Reuter, J.E.; Heyvaert, A.C.; Dahlgren, R.A. Water quality response to the Angora fire, Lake Tahoe, California. Biogeochemistry 2012, 111, 361–376. [Google Scholar] [CrossRef]
- McCullough, I.M.; Cheruvelil, K.S.; Lapierre, J.F.; Lottig, N.R.; Moritz, M.A.; Stachelek, J.; Soranno, P.A. Do lakes feel the burn? Ecological consequences of increasing exposure of lakes to fire in the continental United States. Glob. Change Biol. 2019, 25, 2841–2854. [Google Scholar] [CrossRef] [PubMed]
- Turner, M.G.; Romme, W.H.; Tinker, D.B. Surprises and lessons from the 1988 Yellowstone fires. Front. Ecol. Environ. 2003, 1, 351–358. [Google Scholar] [CrossRef]
- Tronstad, L.M.; Hall, R.O., Jr.; Koel, T.M. Introduced lake trout alter nitrogen cycling beyond Yellowstone Lake. Ecosphere 2015, 6, 1–24. [Google Scholar] [CrossRef]
- Dirks, R.A. The Climate of Yellowstone and Grand Teton National Parks (No. 6); US Department of the Interior, National Park Service: Washington, DC, USA, 1982. [Google Scholar]
- Christiansen, R.L. The Quaternary and Pliocene Yellowstone Plateau Volcanic Field of Wyoming, Idaho, and Montana; US Department of the Interior, US Geological Survey: Washington, DC, USA, 2001; Volume 729. [Google Scholar]
- Despain, D.G. Yellowstone Vegetation: Consequences of Environment and History in a Natural Setting; Roberts Rinehart Publishers: Boulder, CO, USA, 1990. [Google Scholar]
- Turner, M.G.; Hargrove, W.W.; Gardner, R.H.; Romme, W.H. Effects of fire on landscape heterogeneity in Yellowstone National Park, Wyoming. J. Veg. Sci. 1994, 5, 731–742. [Google Scholar] [CrossRef]
- Kaplinski, M.A. Geomorphology and Geology of Yellowstone Lake, Yellowstone National Park, Wyoming. Doctoral Dissertation, Northern Arizona University, Flagstaff, AZ, USA, 1991. [Google Scholar]
- Keefer, W.R. The Geologic Story of Yellowstone National park (Vol. 1347); US Government Printing Office: Washington, DC, USA, 1971. [Google Scholar]
- Rodman, A.W.; Shovic, H.F.; Thoma, D.P. Soils of Yellowstone National Park; Yellowstone Center for Resources, National Park Service: Yellowstone National Park, WY, USA, 1996. [Google Scholar]
- Taylor, B.W.; Keep, C.F.; Hall, R.O., Jr.; Koch, B.J.; Tronstad, L.M.; Flecker, A.S.; Ulseth, A.J. Improving the fluorometric ammonium method: Matrix effects, background fluorescence, and standard additions. J. N. Am. Benthol. Soc. 2007, 26, 167–177. [Google Scholar] [CrossRef]
- Wickham, H.; Averick, M.; Bryan, J.; Chang, W.; McGowan, L.D.A.; François, R.; Grolemund, G.; Hayes, A.; Henry, L.; Hester, J.; et al. Welcome to the Tidyverse. J. Open Source Softw. 2019, 4, 1686. [Google Scholar] [CrossRef]
- Wood, S.N. mgcv: GAMs and generalized ridge regression for R. R News 2001, 1, 20–25. [Google Scholar]
- Mast, M.A.; Clow, D.W. Effects of 2003 wildfires on stream chemistry in Glacier National Park, Montana. Hydrol. Process 2008, 22, 5013–5023. [Google Scholar] [CrossRef]
- Gluns, D.R.; Toews, D.A.A. Effect of a major wildfire on water quality in southeastern British Columbia. In Proceedings of the Symposium on Headwaters Hydrology, Missoula, MT, USA, 27–30 June 1989; American Water Resources Association: Bethesda, MD, USA, 1989; pp. 487–499. [Google Scholar]
- Richardson, C.; Montalvo, M.; Wagner, S.; Barton, R.; Paytan, A.; Redmond, M.; Zimmer, M. Exploring the Complex Effects of Wildfire on Stream Water Chemistry: Insights From Concentration-Discharge Relationships. Water Resour. Res. 2024, 60, 2023WR034940. [Google Scholar] [CrossRef]
- Murphy, J.D.; Johnson, D.W.; Miller, W.W.; Walker, R.F.; Carroll, E.F.; Blank, R.R. Wildfire effects on soil nutrients and leaching in a Tahoe Basin watershed. J. Environ. Qual. 2006, 35, 479–489. [Google Scholar] [CrossRef] [PubMed]
- Svensson, T.; Lovett, G.M.; Likens, G.E. Is chloride a conservative ion in forest ecosystems? Biogeochemistry 2012, 107, 125–134. [Google Scholar] [CrossRef]
- Lajtha, K. Nutrient retention and loss during ecosystem succession: Revisiting a classic model. Ecology 2020, 101, e02896. [Google Scholar] [CrossRef] [PubMed]
- Sánchez, R.A.; Meixner, T.; Roy, T.; Ferré, P.T.; Whitaker, M.; Chorover, J. Physical and biogeochemical drivers of solute mobilization and flux through the critical zone after wildfire. Front. Water 2023, 5, 1148298. [Google Scholar] [CrossRef]
- Schlesinger, W.H.; Bernhardt, E.S. Biogeochemistry: An Analysis of Global Change, 4th ed.; Academic Press: Cambridge, MA, USA, 2020. [Google Scholar]
- Santos, F.; Wymore, A.S.; Jackson, B.K.; Sullivan, S.M.P.; McDowell, W.H.; Berhe, A.A. Fire severity, time since fire, and site-level characteristics influence streamwater chemistry at baseflow conditions in catchments of the Sierra Nevada, California, USA. Fire Ecol. 2019, 15, 3. [Google Scholar] [CrossRef]
- Brass, J.A.; Ambrosia, V.G.; Riggan, P.J.; Sebesta, P.D. Consequences of fire on aquatic nitrate and phosphate dynamics in Yellowstone National Park. Int. Assoc. Wild Fire 1996, 6, 53–57. [Google Scholar]
- Turner, M.G.; Smithwick, E.A.; Metzger, K.L.; Tinker, D.B.; Romme, W.H. Inorganic nitrogen availability after severe stand-replacing fire in the Greater Yellowstone ecosystem. Proc. Natl. Acad. Sci. USA 2007, 104, 4782–4789. [Google Scholar] [CrossRef]
- Romme, W.H.; Turner, M.G. Ten Years After the 1988 Yellowstone Fires: Is Restoration Needed? In After the Fires: The Ecology of Change in Yellowstone National Park; Wallace, L.L., Ed.; Yale University Press: New Haven, CT, USA, 2004. [Google Scholar]
- Westerling, A.L.; Turner, M.G.; Smithwick, E.A.; Romme, W.H.; Ryan, M.G. Continued warming could transform Greater Yellowstone fire regimes by mid-21st century. Proc. Natl. Acad. Sci. USA 2011, 108, 13165–13170. [Google Scholar] [CrossRef]
- Hostetler, S.; Whitlock, C.; Shuman, B.; Liefert, D.; Drimal, C.W.; Bischke, S. Greater Yellowstone Climate Assessment: Past, Present, and Future Climate Change in Greater Yellowstone Watersheds; Institute on Ecosystems, Montana State University: Bozeman, MT, USA, 2021; Available online: https://bit.ly/3PyynhD (accessed on 18 September 2024).
- Tymstra, C.; Stocks, B.J.; Cai, X.; Flannigan, M.D. Wildfire management in Canada: Review, challenges and opportunities. Prog. Disaster Sci. 2020, 5, 100045. [Google Scholar] [CrossRef]
- Kreider, M.R.; Higuera, P.E.; Parks, S.A.; Rice, W.L.; White, N.; Larson, A.J. Fire suppression makes wildfires more severe and accentuates impacts of climate change and fuel accumulation. Nat. Commun 2024, 15, 2412. [Google Scholar] [CrossRef]
- Erdozain, M.; Cardil, A.; de-Miguel, S. Fire impacts on the biology of stream ecosystems: A synthesis of current knowledge to guide future research and integrated fire management. Glob. Change Biol. 2024, 30, e17389. [Google Scholar] [CrossRef] [PubMed]
- Hall, R.O., Jr. A stream’s role in watershed nutrient export. Proc. Natl. Acad. Sci. USA 2003, 100, 10137–10138. [Google Scholar] [CrossRef] [PubMed]
- Rhoades, C.C.; Nunes, J.P.; Silins, U.; Doerr, S.H. The influence of wildfire on water quality and watershed processes: New insights and remaining challenges. Int. J. Wildland Fire 2019, 28, 721–725. [Google Scholar] [CrossRef]





| Stream | Watershed Area (km2) | Length (km) | Stream Order | Area-Burned (%) | Mean Discharge (m3/s) | Mean Temp (°C) |
|---|---|---|---|---|---|---|
| Clear | 57.82 | 15.8 | 3rd | 40 | 1.93 ± 1.19 | 7.0 ± 4.7 |
| Cub | 21.80 | 11.8 | 3rd | 95 | 0.86 ± 0.85 | 6.4 ± 5.3 |
| Little Cub | 5.55 | 3 | 1st | 95 | 0.11 ± 0.15 | 5.6 ± 5.0 |
| Stream | Year | NH4+ | NO3− | NO2− | TDN | DON | PON | SO42− | Cl− | TDP |
|---|---|---|---|---|---|---|---|---|---|---|
| Clear | 2004 | 1.8 | 5.6 | 1.3 | 1.4 | 1.3 | 2.6 | 2.3 | 0.6 | 1.5 |
| 2005 | 1.2 | 72 | 2.0 | 4.2 | 1.2 | 2.9 | 1.8 | 8.8 | 2.2 | |
| 2006 | 1.4 | 100 | 0.9 | 4.3 | 1.1 | - | 2.1 | 6.4 | 2.4 | |
| 2007 | - | 56 | 1.3 | - | - | - | 2.0 | 9.0 | - | |
| Cub | 2004 | 6.4 | 68 | 2.9 | 4.3 | 1.3 | 5.2 | 2.7 | 13 | 3.1 |
| 2005 | 2.9 | 160 | 2.6 | 8.0 | 0.9 | 9.2 | 2.2 | 12 | 3.6 | |
| 2006 | 2.3 | 220 | 0.8 | 11 | 0.8 | - | 1.9 | 5.8 | 6.7 | |
| 2007 | - | 150 | 0.7 | - | - | - | 2.1 | 9.3 | - | |
| Little Cub | 2004 | 1.9 | 26 | 1.1 | 1.8 | 1.0 | 6.5 | 2.2 | 15 | 2.6 |
| 2005 | 1.5 | 59 | 2.8 | 2.6 | 1.0 | 4.8 | 1.2 | 12 | 2.2 | |
| 2006 | 1.1 | 39 | 1.3 | 2.3 | 1.2 | - | 2.2 | 7.0 | 2.8 | |
| 2007 | - | 20 | 1.7 | - | - | - | 1.4 | 8.5 | - |
| Stream | Year | NH4+ | NO3− | NO2− | SO42− | Cl− |
|---|---|---|---|---|---|---|
| Clear | 2004 | 2.2 | 8.3 | 1.4 | 3.1 | 0.6 |
| 2005 | 1.6 | 150 | 2.5 | 3.0 | 14.1 | |
| 2006 | 3.1 | 292 | 1.7 | 5.5 | 15.1 | |
| Cub | 2004 | 6.9 | 84 | 3.1 | 3.7 | 16.1 |
| 2005 | 6.7 | 523 | 5.6 | 5.9 | 30.1 | |
| 2006 | 13.4 | 1392 | 4.7 | 14.3 | 37.5 |
Disclaimer/Publisher’s Note: The statements, opinions and data contained in all publications are solely those of the individual author(s) and contributor(s) and not of MDPI and/or the editor(s). MDPI and/or the editor(s) disclaim responsibility for any injury to people or property resulting from any ideas, methods, instructions or products referred to in the content. |
© 2024 by the authors. Licensee MDPI, Basel, Switzerland. This article is an open access article distributed under the terms and conditions of the Creative Commons Attribution (CC BY) license (https://creativecommons.org/licenses/by/4.0/).
Share and Cite
Sadler, I.G.; Tronstad, L.M.; Fisher, C.; Hall, R.O., Jr.; Koel, T.M. Yellowstone Wildfires Increased Stream Ion Concentrations and Export. Nitrogen 2024, 5, 1181-1195. https://doi.org/10.3390/nitrogen5040075
Sadler IG, Tronstad LM, Fisher C, Hall RO Jr., Koel TM. Yellowstone Wildfires Increased Stream Ion Concentrations and Export. Nitrogen. 2024; 5(4):1181-1195. https://doi.org/10.3390/nitrogen5040075
Chicago/Turabian StyleSadler, Isabella G., Lusha M. Tronstad, Christine Fisher, Robert O. Hall, Jr., and Todd M. Koel. 2024. "Yellowstone Wildfires Increased Stream Ion Concentrations and Export" Nitrogen 5, no. 4: 1181-1195. https://doi.org/10.3390/nitrogen5040075
APA StyleSadler, I. G., Tronstad, L. M., Fisher, C., Hall, R. O., Jr., & Koel, T. M. (2024). Yellowstone Wildfires Increased Stream Ion Concentrations and Export. Nitrogen, 5(4), 1181-1195. https://doi.org/10.3390/nitrogen5040075

