Poultry Manure Induced Garden Eggs Yield and Soil Fertility in Tropical and Semi-Arid Sandy-Loam Soils
Abstract
:1. Introduction
- (1)
- growth and yield of garden eggs in Ghanaian tropical sandy-loam soils.
- (2)
- soil fertility in a semi-arid fine sandy-loam pastureland under no-till and flood irrigation.
2. Materials and Methods
2.1. Effect of PM on Growth and Yield of Garden Eggs in Ghana
2.1.1. Study Area
2.1.2. Experimental Design and Treatments
2.1.3. Land Preparation and PM Composition and Application Rates
2.1.4. Nursery Establishment and Transplanting
2.1.5. Cultural Practices
2.1.6. Data Collection
2.2. PM Effects on Soil Fertility in an Arizonan Semi-Arid Sandy-Loam Soil
2.2.1. Study Areas and the Soil Properties
2.2.2. PM Source, Mineral Composition and Application Rates
2.2.3. Irrigation Method and Rate
2.2.4. Soil Sampling and Mineral Analysis
2.2.5. Experimental Design and Data Analysis
3. Results
3.1. Poultry Manure Effects Garden Eggs Phynology
3.2. Poultry Manure (PM) on Garden Eggs Biomass and Yield
3.3. Manure Effect on Soil Minerals and Salt in Arizona Semi-Arid Pasture Soil under Flood Irrigation
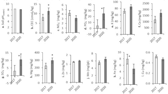
3.3.1. Manure Application and Soil pH
3.3.2. Manure Application and Soil Cation Exchange Capacity (CEC)
3.3.3. Manure Application and Soil Mineral Nutrients
3.3.4. Manure Application and Soil Salinity
4. Discussion
4.1. PM Effects on Growth and Yield of Garden Eggs
4.2. PM Effects on Soil Dynamics (Physical, Chemical and Biological Properties)
5. Conclusions
Supplementary Materials
Author Contributions
Funding
Data Availability Statement
Acknowledgments
Conflicts of Interest
Sample Availability
References
- Rao, D.L.N.; Balachandar, D. Nitrogen Inputs from Biological Nitrogen Fixation in Indian Agriculture. In The Indian Nitrogen Assessment; Yash, P., Abrol, T.K., Adhya, B., Eds.; Elsevier: Amsterdam, The Netherlands, 2020. [Google Scholar]
- Hernandez, J.A.; Schmit, M.A. Manure Management in Minnesota; WW-03553; Minnesota Pollution Control Agency (MPCA): St. Paul, MN, USA, 2012. [Google Scholar]
- Follett, R.F. Fate and Transport of Nutrients: Nitrogen. NRCS Working Paper 1995, No. 7. Available online: https://www.nrcs.usda.gov/wps/portal/nrcs/detail/national/landuse/crops/?cid=nrcFigureS143_014202 (accessed on 25 June 2020).
- Hoover, N.L.; Ji, Y.L.; Leigh, A.M.L.; Ramesh, S.K.; Soupir, M.L. Long-term impact of poultry manure on crop yield, soil and water quality, and crop revenue. J. Environ. Manag. 2019, 252, 109582. [Google Scholar] [CrossRef] [PubMed]
- Xia, L.; Lam, S.; Yan, X.; Chen, D. How does recycling of livestock manure in agroecosystems affect crop productivity, reactive nitrogen losses, and soil carbon balance? Environ. Sci. Technol. 2017, 51, 7450–7457. [Google Scholar] [CrossRef] [PubMed]
- Mpanga, I.K.; Neumann, G.; Schuch, U.K.; Schalau, J. Sustainable Agriculture Practices as a Driver for Increased Harvested Cropland among Large-Scale Growers in Arizona: A Paradox for Small-Scale Growers. Adv. Sustain. Syst. 2000, 4, 1900143. [Google Scholar] [CrossRef] [Green Version]
- Mpanga, I.K.; Schuch, U.K.; Schalau, J. Needs Assessment for Commercial Horticulture and Small Acreage Growers in North Central Arizona. University of Arizona Cooperative Extension 2020b, az1853. Available online: https://extension.arizona.edu/pubs/needs-assessment-commercial-horticulture-small-acreage-north-central-arizona (accessed on 12 November 2020).
- Rahman, S.A. The Place of Organic Manure in Sustaining Agricultural Development in Nigeria. In Proceedings of the Science Technology and Society National Workshop in Lafia, Nasarawa State, Nigeria, 11 July 2004. [Google Scholar]
- Patterson, P.; White, C.; Shoop, E. Poultry Manure as a Garden Amendment. Penn State Ext. 2020. Available online: https://extension.psu.edu/poultry-manure-as-a-garden-amendment (accessed on 12 November 2020).
- Horna, D.; Timpo, S.; Gruere, G. Marketing Underutilized Crops: The Case of the African Garden Egg (Solanum aethiopicum) in Ghana. In Proceedings of the Global Facilitation Unit for Underutilized Species (GFU), Via dei Tre Denri, Rome, Italy, 2007. [Google Scholar]
- Khalid, A.A.; Oppong, H.T.; Mensah, B.; Adjei-Gyapong, T.; Abubakar, A.; Boateng, I.Y.; Melenya, C.; Kpotor, P. Effects of Poultry Manure and NPK Fertilizer on Growth and Yield of Garden Eggs (Solanum Melongena) in a Sandy Soil in Ghana. Int. J. Sci. Res. Knowl. 2014, 2, 257–264. [Google Scholar] [CrossRef]
- Ghana Forestry Commission. Final Strategic Environmental and Social Assessment (SESA) Report for the Ghana REDD+ Mechanism; SAL Consult Ltd.: Accra, Ghana, 2017; pp. 69–119. [Google Scholar]
- WRC. National Baseline Studies and Institutional Analyses towards the Development of the National IWRM Plan; SAL Consult Ltd.: Accra, Ghana, 2010; pp. 1–89. [Google Scholar]
- Asiamah, R.D. Soils and Soil Suitability of Ashanti Region; UNESCO/FAO/CSRI Technical Report, No. 193; CSIR-Soil Research Institute: Kwadaso-Kumasi, Ghana, 1998. [Google Scholar]
- Schofield, R.K.; Taylor, A.W. The measurement of soil pH. Soil Sci. Soc. Am. Proc. 1955, 19, 164–167. [Google Scholar] [CrossRef]
- Kachurina, O.M.; Zhang, H.; Raun, H.; Krenzer, E.G. Simultaneous determination of soil aluminum, ammonium- and nitrate-nitrogen using 1 M potassium chloride extraction. Commun. Soil Sci. Plant Anal. 2000, 31, 893–903. [Google Scholar] [CrossRef]
- Keeney, D.R.; Nelson, D.W. Nitrogen-Inorganic Forms. In Methods of Soil Analysis: Part 2 Chemical and Microbiological Properties 9.2.2, 2nd ed.; Agronomy Monographs; Page, A.L., Ed.; American Society of Agronomy, Inc.; Soil Science Society of America, Inc.: Madison, WI, USA, 1982; pp. 643–687. [Google Scholar]
- Mehlich, A. New extractant for soil test evaluation of phosphorus, potassium, magnesium, Calcium, sodium, manganese, and zinc. Commun. Soil Sci. Plant Anal. 1978, 9, 477–492. [Google Scholar] [CrossRef]
- Mehlich, A. Mehlich-3 soil test extractant: A modification of Mehlich-2 extractant. Commun. Soil Sci. Plant Anal. 1984, 15, 1409–1416. [Google Scholar] [CrossRef]
- Murphy, J.; Riley, J.P. A modified single solution method for determination of phosphates in natural water. Anal. Chim. Acta 1962, 27, 31–36. [Google Scholar] [CrossRef]
- Lindsay, W.L.; Norvell, W.A. Development of a DTPA soil test for zinc, iron, manganese, and copper. Soil Sci. Soc. Amer. J. 1978, 42, 421–428. [Google Scholar] [CrossRef]
- Rhoades, J.D.; Clark, M. Sampling Procedures and Chemical Methods in Use at the US Salinity Laboratory for Characterizing Salt-Affected Soils and Waters; US Salinity Laboratory USDA: Riverside, CA, USA, 1978; pp. 11–12. [Google Scholar]
- Paul, O.J.; Frank, O.O.; Ambrose, A.E. Effect of poultry manure and NPK fertilizer on growth and yield of eggplant. JARR 2017, 1, 112–117. [Google Scholar]
- Adeyemo, A.J.; Akingbola, O.O.; Ojeniyi, S.O. Effects of poultry manure on soil infiltration, organic matter contents and maize performance on two contrasting degraded alfisols in southwestern Nigeria. Int. J. Recycl. Org. Waste Agricult. 2019, 8, 73–80. [Google Scholar] [CrossRef] [Green Version]
- Nguyen, H.Q. Long-Term Effects of Land Application of Poultry Manure on Crop Production, and Soil and Water Quality under a Corn-Soybean Rotation System in Iowa. Master’s Thesis, Iowa State University, Ames, IA, USA, 2010; p. 11718. Available online: https://lib.dr.iastate.edu/etd/11718 (accessed on 12 November 2020).
- Mpanga, I.K.; Dapaah, H.K.; Geistlinger, J.; Ludewig, U.; Neumann, G. Soil type-dependent interactions of P-solubilizing microorganisms with organic and inorganic fertilizers mediate plant growth promotion in tomato. Agronomy 2018, 8, 213. [Google Scholar] [CrossRef] [Green Version]
- Adekiyaa, A.O.; Agbede, T.M. Effect of methods and time of poultry manure application on soil and leaf nutrient concentrations, growth and fruit yield of tomato (Lycopersicon esculentum Mill). J. Saudi Soc. Agric. Sci. 2017, 16, 383–388. [Google Scholar] [CrossRef] [Green Version]
- Jury, W.A.; Nielson, D.R. Nitrate transport and leaching mechanisms. In Nitrogen Management and Ground Water Protection; Follett, R.F., Ed.; Elsevier: Amsterdam, The Netherlands, 1989; pp. 139–157. [Google Scholar]
- Carlos, A.C.; Eduardo, G.; Cledimar, R.L.; Gustavo, T.; Renan, C.B.V.; Gustavo, B. Nutrient transfer by run-off under no tillage in a soil treated with successive applications of pig slurry. Agric. Ecosyst. Environ. 2010, 139, 689–699. [Google Scholar] [CrossRef] [Green Version]
- Daryanto, S.; Wang, L.; Jacinthe, P.A. Impacts of no-tillage management on nitrate loss from corn, soybean and wheat cultivation: A meta-analysis. Sci. Rep. 2017, 7, 12117. [Google Scholar] [CrossRef]
- Mpanga, I.K.; Braun, H.; Walworth, J. Zeolite Application in Crop Production: Importance to Soil Nutrient, Water, Health, and Environmental Pollution Management; University of Arizona Cooperative Extension Bulletin: Tucson, AZ, USA, 2020; p. 1851. [Google Scholar]
- Mpanga, I.K.; Idowu, O.J. A Decade of Irrigation Water use trends in Southwestern USA: The Role of Irrigation Technology, Best Management Practices, and Outreach Education Programs. Agric. Water Manag. 2021, 243, 106438. [Google Scholar] [CrossRef]
- Mpanga, I.K. Poultry Manure Effects on Soil Minerals in a Flood Irrigated Sandy-Loam Pastureland; University of Arizona Cooperative Extension Bulletin: Tucson, AZ, USA, 2021; p. 1879. [Google Scholar]


| Soil Texture | Soil pH (water) | Organic Carbon (%) | Organic Matter (%) | Total N (g/kg) | Available P (mg/kg) | Available K (mg/kg) | |
|---|---|---|---|---|---|---|---|
| 2011-Ashanti Mampong | Sandy loam | 5.5 | 0.37 | 0.64 | 4.0 | 15.85 | 70.30 |
| 2020 (major season)-Sunyani | Sandy loam | 5.5 | 1.08 | 1.85 | 1.2 | 5.32 | 65.30 |
| 2020 (minor season)-Sunyani | Sandy loam | 5.7 | 1.09 | 1.78 | 1.5 | 5.21 | 70.37 |
| Total N (g/kg) | Total P (g/kg) | Total K (g/kg) | Total Ca (g/kg) | Total Mg (g/kg) | Total Na (g/kg) | Total Zn (g/kg) | Total Fe (g/kg) | Total Cu (g/kg) | Total Mn (g/kg) | Total S (g/kg) | Dry Matter (%) |
|---|---|---|---|---|---|---|---|---|---|---|---|
| 38.4 | 26.3 | 22.1 | 119.3 | 7.6 | 7.0 | 6540.8 | 1320.4 | 637.7 | 5577.9 | 69,062.0 | 30.2 |
| %Establishment at 21DAP | Plant Height (cm) | No. of Leaves per Plant | No. of Branches per Plant | Stem Diameter (cm) | Canopy Width (cm) | ||||||
|---|---|---|---|---|---|---|---|---|---|---|---|
| 21DAP | 51DAP | 21DAP | 51DAP | 21DAP | 51DAP | 21DAP | 51DAP | 21DAP | 51DAP | ||
| 2011 (Major Season) Ashanti-Mampong | |||||||||||
| NF | 85.0(7.5) a | 9.7(1.5) b | 32.9(3.6) b | 5.9(0.2) b | 53.1(4.2) b | 1.4(0.3) b | 10.8(0.6) a | 0.4(0.3) a | 0.8(0.1) a | 28.7(4.9) a | 54.7(5.1) b |
| PM | 77.1(9.1) b | 11.5(0.5) b | 39.4(2.5) a | 6.8(0.2) a | 63.4(6.9) a | 2.3(0.2) a | 11.3(0.5) a | 0.5(0.4) a | 1.1(0.1) a | 29.7(3.9) a | 63.8(2.5) a |
| 2020 (Major Season) Sunyani | |||||||||||
| NF | 87.7(6.2) a | 17.1(0.6) b | 36.8(1.9) b | 5.7(0.3) a | 27.9(0.5) b | 2.1(0.1) a | 10.9(0.2) b | 0.6(0.0) a | 1.5(0.0) b | 20.9(0.4) b | 39.9(3.1) b |
| PM | 88.7(4.3) a | 22.0(0.4) a | 58.0(1.5) a | 7.8(0.7) a | 50.2(1.2) a | 2.3(0.1) a | 18.4(0.2) a | 1.0(0.0) a | 2.4(0.1) a | 26.8(1.9) a | 59.3(0.8) a |
| 2020 (Minor Season) Sunyani | |||||||||||
| NF | 80.0(2.5) b | 11.6(0.3)b | 28.4(0.2) b | 6.6(0.3) a | 28.6(1.3) b | 2.1(0.4) a | 10.7(0.5) b | 0.4(0.1) a | 0.9(0.0) b | 21.9(1.0) b | 38.9(1.9) b |
| PM | 86.7(3.0) a | 13.1(0.3)a | 46.9(1.2) a | 7.0(0.7) a | 53.2(3.6) a | 2.1(0.3) a | 16.8(0.3) a | 0.5(0.0) a | 1.6(0.0) a | 30.5(0.4) a | 61.8(1.7) a |
| Location | |||||||||||
| Ashanti-Mampong | 81.3(13.7) a | 10.6(2) b | 36.2(6) a | 6.4(0.8) a | 58.3(10.5) a | 1.9(0.7) a | 11.1(0.9) a | 0.4(0.1) b | 1.0(0.2) b | 29.2(6.8) a | 59.3(8) a |
| Sunyani | 85.8(5.9) a | 15.9(1.8) a | 42.5(10.9) a | 6.8(0.8) a | 40.0(13) b | 2.1(0.3) a | 14.2(3.8) a | 0.6(0.1) a | 1.6(0.4) a | 25.0(4.1) a | 50.0(11.7) a |
| Dry Matter (kg/ha) 21 DAP 51 DAP | Fruit Length (cm) | Fruit DIAMETER (cm) | Fruit Yield (kg/ha) | ||
|---|---|---|---|---|---|
| 2011 (Major Season) Ashanti-Mampong | |||||
| NF | 1(0.4) b | 14(4.3) b | 3.3(0.1) b | 4.4(0.1) b | 454(52.0) b |
| PM | 2.5(0.5) a | 35.9(1.3) a | 3.7(0.1) a | 5.2(0.1) a | 676(128.3) a |
| 2020 (Major Season) Sunyani | |||||
| NF | 3.7(0.4) b | 18(1.5) b | 6.9(0.4) b | 3.3(0.1) b | 400(55.3) b |
| PM | 7.8(0.5) a | 31.8(0.5) a | 9.6(0.2) a | 5.7(0.1) a | 740(22.2) a |
| 2020 (Minor Season) Sunyani | |||||
| NF | 3.8(0.5) a | 19.8(0.9) b | 4.4(0.1) b | 3.3(0.0) b | 299(4.5) b |
| PM | 4.5(1.2) a | 35.5(1.0) a | 7.2(0.0) a | 4.9(0.0) a | 539(10.8) a |
| Location | |||||
| Ashanti-Mampong | 2.1(1.2) b | 30(15.2) a | 3.5(0.3) b | 4.8(0.4) a | 565.1(194.0) a |
| Sunyani | 5.9(1.9) a | 31.5(9.7) a | 7.3(1.4) a | 4.5(1.0) a | 512.4(158.3) a |
Publisher’s Note: MDPI stays neutral with regard to jurisdictional claims in published maps and institutional affiliations. |
© 2021 by the authors. Licensee MDPI, Basel, Switzerland. This article is an open access article distributed under the terms and conditions of the Creative Commons Attribution (CC BY) license (https://creativecommons.org/licenses/by/4.0/).
Share and Cite
Mpanga, I.K.; Adjei, E.; Dapaah, H.K.; Santo, K.G. Poultry Manure Induced Garden Eggs Yield and Soil Fertility in Tropical and Semi-Arid Sandy-Loam Soils. Nitrogen 2021, 2, 321-331. https://doi.org/10.3390/nitrogen2030022
Mpanga IK, Adjei E, Dapaah HK, Santo KG. Poultry Manure Induced Garden Eggs Yield and Soil Fertility in Tropical and Semi-Arid Sandy-Loam Soils. Nitrogen. 2021; 2(3):321-331. https://doi.org/10.3390/nitrogen2030022
Chicago/Turabian StyleMpanga, Isaac Kwadwo, Eric Adjei, Harrison Kwame Dapaah, and Kwadwo Gyasi Santo. 2021. "Poultry Manure Induced Garden Eggs Yield and Soil Fertility in Tropical and Semi-Arid Sandy-Loam Soils" Nitrogen 2, no. 3: 321-331. https://doi.org/10.3390/nitrogen2030022
APA StyleMpanga, I. K., Adjei, E., Dapaah, H. K., & Santo, K. G. (2021). Poultry Manure Induced Garden Eggs Yield and Soil Fertility in Tropical and Semi-Arid Sandy-Loam Soils. Nitrogen, 2(3), 321-331. https://doi.org/10.3390/nitrogen2030022
