Microscopic Pore Structure Heterogeneity on the Breakthrough Pressure and Sealing Capacity of Carbonate Rocks: Insight from Monofractal and Multifractal Investigation
Abstract
1. Introduction
- Establish links between fractal parameters and breakthrough pressure variations;
- Elucidate how multi-scale pore heterogeneity governs hydrocarbon sealing.
2. Geological Setting
3. Samples and Methods
3.1. Samples
3.2. Measurement Methods
3.2.1. Breakthrough Pressure
3.2.2. Thin Section Analysis
3.2.3. Scanning Electron Microscopy
3.2.4. Porosity and Permeability Test
3.2.5. High-Pressure Mercury Intrusion Porosimetry
3.2.6. Nitrogen Adsorption Method
- (1)
- Crushing and sieving bulk specimens to obtain 0.28–0.45 mm particles;
- (2)
- Oven-drying 5–10 g aliquots at 105 °C for 8 h to remove adsorbed moisture and volatiles;
- (3)
- Vacuum-degassing prepared samples prior to analysis.
3.3. Monofractal Method
3.4. Multifractal Method
- (1)
- The D1 reflects the spatial clustering characteristics of the pore size distribution. When D1 approaches D0, it signifies that the pore size distribution tends toward homogeneity.
- (2)
- The dispersion index D0 − D1 quantifies the degree of heterogeneity in the pore size distribution. A smaller D0 − D1 value indicates a more homogeneous pore size distribution.
- (3)
- The value range of H characterizes the spatial autocorrelation and connectivity of the pore network. A higher H value indicates superior autocorrelation and connectivity within the sample.
- (4)
- The left and right spectral widths of the generalized fractal dimension spectrum are defined as D−10 − D0 (low-probability region) and D0 − D+10 (high-probability region), respectively. The magnitude of each width exhibits a positive correlation with the intensity of heterogeneity within its corresponding pore size range.
- (5)
- The singularity index (α0) represents the most probable distribution state of the pore system. An increase in α0 reflects an enhancement in the heterogeneity of the pore size distribution.
- (6)
- The singularity spectrum width (Δα) comprehensively characterizes the degree of heterogeneity across the entire pore size range. A larger Δα value corresponds to stronger heterogeneity in the pore size distribution.
- (7)
- The spectral symmetry parameter (Rd) quantitatively describes the differential contribution of high- and low-probability regions to the overall heterogeneity. When Rd > 0, the high-probability region dominates the heterogeneity, whereas when Rd < 0, the low-probability region plays the dominant role.
4. Results
4.1. Lithology and Pore Characteristics
4.2. Porosity and Permeability
4.3. Breakthrough Pressure Characteristic
4.4. Pore Size Distribution
4.5. Fractal Characteristics
4.5.1. Monofractal Characteristics
4.5.2. Multifractal Characteristics
5. Discussion
5.1. Monofractal and Multifractal Investigation on Pore Structure Heterogeneity
5.1.1. The Heterogeneous Differences in Pore Structure Between Reservoirs and Caprocks
5.1.2. The Relationship Between Lithology, Pore Types, and Heterogeneity
5.2. Impact of Pore Structure Heterogeneity on Breakthrough Pressure
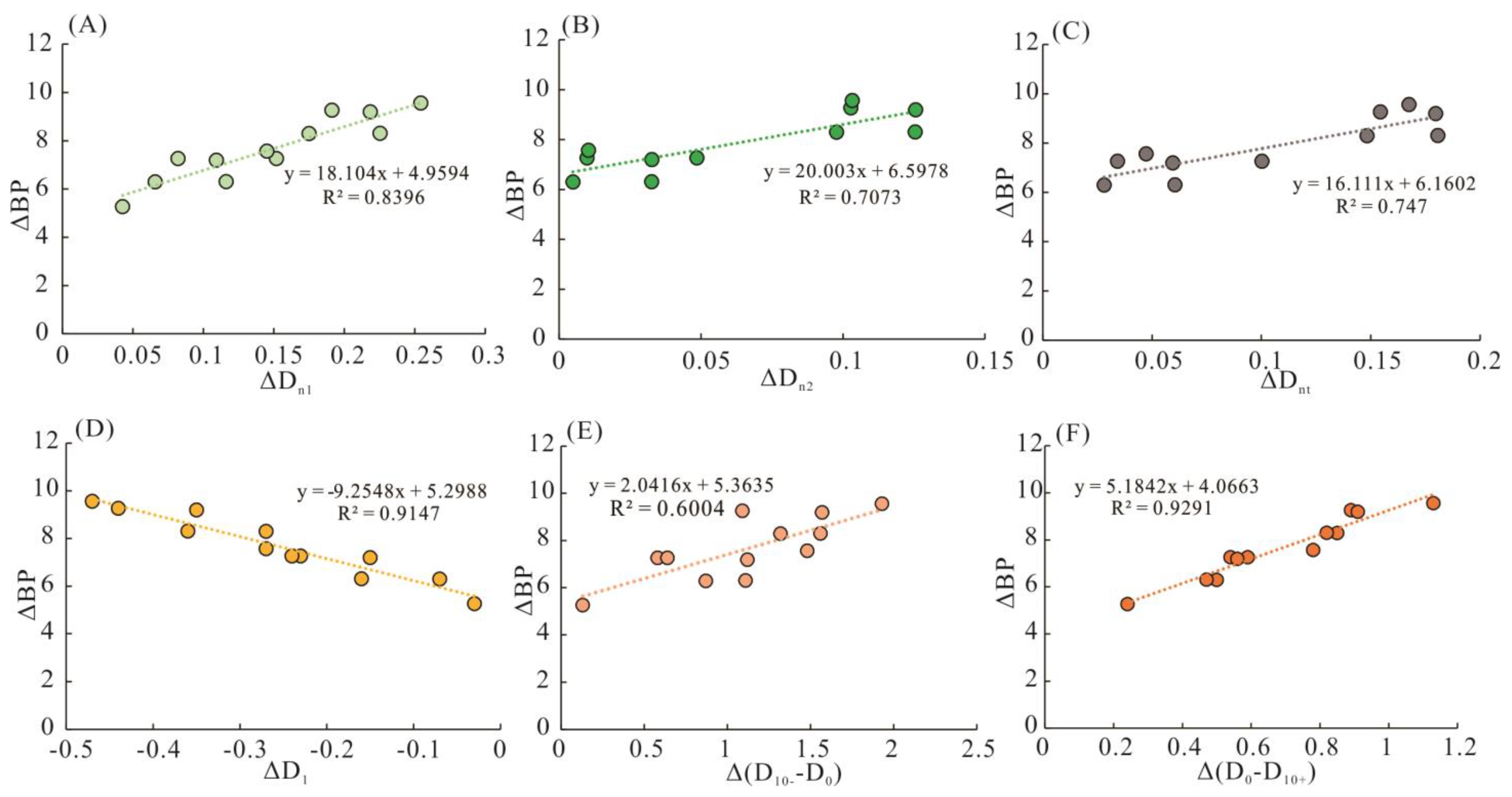
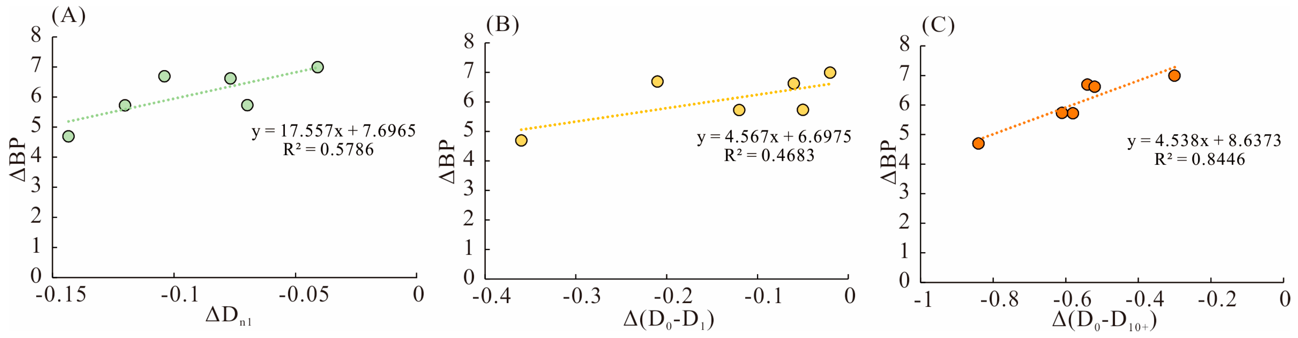
5.2.1. Monofractal Investigation
5.2.2. Multifractal Investigation
5.3. Sealing Mechanism of Carbonate Caprock
5.3.1. Impact of Heterogeneity Differences on Breakthrough Pressure
5.3.2. The Sealing Mode of Heterogeneous Carbonate Rocks
6. Conclusions
Supplementary Materials
Author Contributions
Funding
Data Availability Statement
Acknowledgments
Conflicts of Interest
References
- Wu, J.; Fan, T.L.; Gomez-Rivas, E.; Gao, Z.Q.; Yao, S.Q.; Li, W.H.; Zhang, C.J.; Sun, Q.Q.; Gu, Y.; Man, X. Impact of pore structure and fractal characteristics on the sealing capacity of Ordovician carbonate cap rock in the Tarim Basin, China. Mar. Pet. Geol. 2019, 102, 557–579. [Google Scholar] [CrossRef]
- Wu, J.; Fan, T.L.; Gao, Z.Q.; Yin, X.X.; Fan, Y.; Li, C.C.; Yu, W.Y.; Li, C.; Zhang, C.J.; Zhang, J.H.; et al. A conceptual model to investigate the impact of diagenesis and residual bitumen on the characteristics of Ordovician carbonate cap rock from Tarim Basin, China. J. Pet. Sci. Eng. 2018, 168, 226–245. [Google Scholar] [CrossRef]
- Zhou, X.X.; Lü, X.X.; Sui, F.G.; Wang, X.J.; Li, Y.Z. The breakthrough pressure and sealing property of Lower Paleozoic carbonate rocks in the Gucheng area of the Tarim Basin. J. Pet. Sci. Eng. 2021, 12, 109289. [Google Scholar] [CrossRef]
- Adelinet, M.; Barthélémy, J.F.; Bemer, E.; Hamon, Y. Effective medium modeling of diagenesis impact on the petroacoustic properties of carbonate rocks. Geophysics 2019, 84, WA43–WA57. [Google Scholar] [CrossRef]
- Li, B.; Zhu, X.M. Petroleum geology and exploration potential of Volga-Ural Basin, one typical foreland basin. Pet. Geol. Exp. 2012, 34, 47–52, (In Chinese with English Abstract). [Google Scholar]
- Rashid, F.; Glover, P.; Lorinczi, P.; Collier, R.; Lawrence, J. Porosity and permeability of tight carbonate reservoir rocks in the north of Iraq. J. Pet. Sci. Eng. 2015, 133, 147–161. [Google Scholar] [CrossRef]
- Lan, X.D.; Lü, X.X. Carbonate sealing and its controlling factors, cap rock and inner barrier layers of yingshan formation on tazhong northern slope, Tarim basin. Turk. J. Earth Sci. 2014, 23, 581–601. [Google Scholar] [CrossRef]
- Lü, X.X.; Wang, Y.F.; Yu, H.F.; Bai, Z.K. Major factors affecting the closure of marine carbonate caprock and their quantitative evaluation, A case study of Ordovician rocks on the northern slope of the Tazhong uplift in the Tarim Basin, western China. Mar. Pet. Geol. 2017, 83, 231–245. [Google Scholar] [CrossRef]
- Wu, J.; Fan, T.L.; Gomez-Rivas, E.; Travé, A.; Gao, Z.Q.; Wang, S.S.; Sun, X.L. Fractal characteristics of pore networks and sealing capacity of Ordovician carbonate cap rocks: A case study based on outcrop analogues from the Tarim Basin, China. AAPG Bull. 2021, 105, 437–479. [Google Scholar] [CrossRef]
- Duan, R.; Xu, Z.; Dong, Y.; Liu, W. Characterization and classification of pore structures in deeply buried carbonate rocks based on mono-and multifractal methods. J. Pet. Sci. Eng. 2021, 203, 108606. [Google Scholar] [CrossRef]
- Yuan, H.; Swanson, B. Resolving pore space characteristics by rate-controlled porosimetry. SPE Form. Eval. 1989, 4, 17–24. [Google Scholar] [CrossRef]
- Kaufmann, J.; Loser, R.; Leemann, A. Analysis of cement-bonded materials by multi-cycle mercury intrusion and nitrogen sorption. J. Colloid Interface Sci. 2009, 336, 730–737. [Google Scholar] [CrossRef]
- Bai, B.; Zhu, R.; Wu, S.; Yang, W.; Jeff, G.; Allen, G.; Zhang, X.; Su, L. Multi-scale method of nano (micro)—CT study on microscopic pore structure of tight sandstone of Yanchang formation, Ordos basin. Pet. Explor. Dev. 2013, 40, 329–333. [Google Scholar] [CrossRef]
- Blunt, M.J.; Bijeljic, B.; Dong, H.; Gharbi, O.; Iglauer, S.; Mostaghimi, P. Pore-scale imaging and modelling. Adv. Water Resour 2013, 51, 197–216. [Google Scholar] [CrossRef]
- Clarkson, C.; Solano, N.; Bustin, R.; Bustin, A.; Blach, T. Pore structure characterization of north american shale gas reservoirs using usans/sans, gas adsorption, and mercury intrusion. Fuel 2013, 103, 606–616. [Google Scholar] [CrossRef]
- Wang, J.; Zhao, J.; Yang, M.; Li, Y.; Liu, W.; Song, Y. Permeability of laboratory-formed porous media containing methane hydrate: Observations using X-ray computed tomography and simulations with pore network models. Fuel 2015, 145, 170–179. [Google Scholar] [CrossRef]
- Li, T.; Jiang, Z.; Xu, C.; Liu, B.; Liu, G.; Wang, P.; Li, X.; Chen, W.; Ning, C.; Wang, Z. Effect of pore structure on shale oil accumulation in the lower third member of the Shahejie formation, Zhanhua Sag, eastern China: Evidence from gas adsorption and nuclear magnetic resonance. Mar. Pet. Geol. 2017, 88, 932–949. [Google Scholar] [CrossRef]
- Chen, L.; Liu, K.; Jiang, S.; Huang, H.; Tan, J.; Zuo, L. Effect of adsorbed phase density on the correction of methane excess adsorption to absolute adsorption in shale. Chem. Eng. J. 2021, 420, 127678. [Google Scholar] [CrossRef]
- Pfeifer, P.; Avnir, D. Chemistry in noninteger dimensions between two and three. I. Fractal theory of heterogeneous surfaces. J. Chem. Phys. 1983, 79, 3558–3565. [Google Scholar] [CrossRef]
- Joyner, L.G.; Barrett, E.P.; Skold, R. The determination of pore volume and area distributions in porous substances. II. Comparison between nitrogen isotherm and mercury porosimeter methods. J. Am. Chem. Soc. 1951, 73, 3155–3158. [Google Scholar] [CrossRef]
- Avnir, D.; Jaroniec, M. An isotherm equation for adsorption on fractal surfaces of heterogeneous porousn materials. Langmuir 1989, 5, 1431–1433. [Google Scholar] [CrossRef]
- Huang, H.; Chen, L.; Sun, W.; Xiong, F.; Ji, W.; Jia, J.; Tang, X.; Zhang, S.; Gao, J.; Luo, B. Pore-throat structure and fractal characteristics of Shihezi formation tight gas sandstones in the Ordos Basin, China. Fractal Fract. 2018, 26, 1840005. [Google Scholar] [CrossRef]
- Qu, Y.; Ouyang, S.; Gao, J.; Shi, J.; Wu, Y.; Cheng, Y.; Zhou, Z.; Lyu, Z.; Sun, W.; Wu, H. Pore Space Characteristics and Migration Changes in Hydrocarbons in Shale Reservoir. Fractal Fract. 2024, 8, 588. [Google Scholar] [CrossRef]
- Ge, X.; Fan, Y.; Li, J.; Aleem Zahid, M. Pore structure characterization and classifcation using multifractal theory—An application in Santanghu basin of western China. J. Pet. Sci. Eng. 2015, 127, 297–304. [Google Scholar] [CrossRef]
- Su, P.; Xia, Z.; Wang, P.; Ding, W.; Hu, Y.; Zhang, W.; Peng, Y. Fractal and multifractal analysis of pore size distribution in low permeability reservoirs based on mercury intrusion porosimetry. Energies 2019, 12, 1337. [Google Scholar] [CrossRef]
- Ge, X.; Fan, Y.; Deng, S.; Han, Y.; Liu, J. An improvement of the fractal theory and its application in pore structure evaluation and permeability estimation. JGR Solid Earth 2016, 121, 6333–6345. [Google Scholar] [CrossRef]
- Guan, M.; Liu, X.; Jin, Z.; Lai, J. The heterogeneity of pore structure in lacustrine shales: Insights from multifractal analysis using N2 adsorption and mercury intrusion. Mar. Pet. Geol. 2020, 114, 14. [Google Scholar] [CrossRef]
- Zhao, P.; Wang, Z.; Sun, Z.; Cai, J.; Wang, L. Investigation on the pore structure and multifractal characteristics of tight oil reservoirs using NMR measurements: Permian Lucaogou Formation in Jimusaer Sag, Junggar Basin. Mar. Pet. Geol. 2017, 86, 1067–1081. [Google Scholar] [CrossRef]
- Muller, J. Characterization of the North- Sea chalk by multifractal analysis. J. Geophys. Res. Solid Earth 1994, 99, 7275–7280. [Google Scholar] [CrossRef]
- Muller, J.; McCauley, J.L. Implication of fractal geometry for fluid flow properties of sedimentary rocks. Transp. Porous Med. 1992, 8, 133–147. [Google Scholar] [CrossRef]
- Li, W.; Liu, H.; Song, X. Multifractal analysis of Hg pore size distributions of tectonically deformed coals. Int. J. Coal Geol. 2015, 144–145, 138–152. [Google Scholar] [CrossRef]
- Liu, Z.; Liu, D.; Cai, Y.; Yao, Y.; Pan, Z.; Zhou, Y. Application of nuclear magnetic resonance (NMR) in coalbed methane and shale reservoirs: A review. Int. J. Coal Geol. 2020, 218, 103261. [Google Scholar] [CrossRef]
- Zuo, H.; Zhai, C.; Deng, S.; Jiang, X.; Javadpour, F. Lattice Boltzmann modeling of gaseous microflow in shale nanoporous media. Fuel 2023, 337, 127087. [Google Scholar] [CrossRef]
- Zhang, N.; Wang, X.; Wang, S.; Wang, R.; Wu, J.; Li, Z.; Song, Y. Multifractal characteristics on pore structure of Longmaxi shale using nuclear magnetic resonance (NMR). Geoe. Sci. Eng. 2024, 241, 213176. [Google Scholar] [CrossRef]
- Wang, D.; Hu, H.; Wang, T.; Tang, T.; Li, W.; Zhu, G.; Chen, X. Difference between of coal and shale pore structural characters based on gas adsorption experiment and multifractal analysis. Fuel 2024, 371, 132044. [Google Scholar] [CrossRef]
- Sun, W.; Zuo, Y.; Wen, Z.; Li, B.; Wu, Z.; Zheng, L.; Dai, Q. The impact of pore heterogeneity on pore connectivity and the controlling factors utilizing spontaneous imbibition combined with multifractal dimensions: Insight from the Longmaxi Formation in Northern Guizhou. Energy 2024, 311, 133329. [Google Scholar] [CrossRef]
- Xu, C.; Wang, W.; Wang, K.; Guo, L.; Yang, T.; Nie, Z.; Shi, Y. Non-homogeneous characterisation of nanopore structures in low-, medium-and high-rank coals based on gas adsorption and multifractal theory. Fuel 2025, 401, 135947. [Google Scholar] [CrossRef]
- Zhao, Y.; Lin, B.; Liu, T.; Zheng, Y.; Sun, Y.; Zhang, G.; Li, Q. Multifractal analysis of coal pore structure based on NMR experiment: A new method for predicting T2 cutoff value. Fuel 2021, 283, 119338. [Google Scholar] [CrossRef]
- Jia, C.Z. Tectonic Characteristics and Petroleum, Tarim Basin, China; Petroleum Industry Press: Beijing, China, 1997; pp. 1–110. [Google Scholar]
- He, D.F.; Jia, C.Z.; Li, D.S.; Zhang, C.J.; Meng, Q.X.; Shi, X. Formation and evolution of polycyclic superimpsed Tarim Basin. Oil Gas. Geol. 2005, 26, 64–77, (In Chinese with English Abstract). [Google Scholar]
- Li, Z.; Li, J.W.; Zhang, P.T.; Yu, J.B.; Liu, J.Q.; Yang, L. Key structural-fluid evolution and reservoir diagenesis of deep-buried carbonates, An example from the Ordovician Yingshan Formation in Tazhong, Tarim Basin. Bull. Mineral. Petro. Geochem. 2016, 35, 827–838, (In Chinese with English Abstract). [Google Scholar]
- Qu, H.Z.; Liu, M.Y.; Zhang, Y.F.; Wang, Z.Y.; Zhang, Z.H.; Li, S.Y.; Deng, X.L. Paleokarstic water tables and their control on reservoirs in Ordovician Yingshan Formation, Tazhong Area, Tarim Basin, NW China. Pet. Explor. Dev. 2018, 45, 817–827. [Google Scholar] [CrossRef]
- Ouyang, S.; Lü, X.; Quan, H.; Awan, R.S.; Zhou, J.; Wang, R. Evolution process and factors influencing the tight carbonate caprock: Ordovician Yingshan Formation from the northern slope of the Tazhong uplift, Tarim Basin, China. Mar. Pet. Geol. 2023, 147, 105998. [Google Scholar] [CrossRef]
- SY/T5748–2013; Determination of Gas Breakthrough Pressure in Rock. National Energy Administration (China): Beijing, China, 2013.
- SY/T 6385–2016; Measurement of Core Porosity and Permeability Under Net Confining Stress. National Energy Administration (China): Beijing, China, 2016.
- SY/T5346-2005; Rock Capillary Pressure Measurement. National Development and Reform Commission (China): Beijing, China, 2005.
- SY/T5336-2006; Core Analysis Methodology. National Development and Reform Commission (China): Beijing, China, 2006.
- SY/T 6154–1995; Determination of Specific Surface Area and Pore Size Distribution of Rocks by Static Nitrogen Adsorption Capacity Method. China National Petroleum Corporation: Beijing, China, 1995.
- Mandelbrot, B.B.; Passoja, D.E.; Paullay, A.J. Fractal character of fracture surfaces of metals. Nature 1984, 308, 721–722. [Google Scholar] [CrossRef]
- Washburn, E.W. The dynamics of capillary flow. Phys. Rev. 1921, 17, 273–283. [Google Scholar] [CrossRef]
- Li, K. Analytical derivation of Brooks–Corey type capillary pressure models using fractal geometry and evaluation of rock heterogeneity. J. Pet. Sci. Eng. 2010, 73, 20–26. [Google Scholar] [CrossRef]
- Chhabra, A.; Jensen, R.V. Direct determination of the f(a) singularity spectrum. Phys. Rev. Lett. 1989, 62, 1327–1330. [Google Scholar] [CrossRef]
- Halsey, T.C.; Jensen, M.H.; Kadanoff, L.P.; Procaccia, I.; Shraimant, B.I. Fractal measures and their singularities: The characterization of strange sets. Phys. Rev. A 1986, 33, 32–42. [Google Scholar] [CrossRef]
- Chhabra, A.B.; Meneveau, C.; Jensen, R.V.; Sreenivasan, K.R. Direct determination of the f(a) singularity spectrum and its application to fully developed turbulence. Phys. Rev. A 1989, 40, 5284–5294. [Google Scholar] [CrossRef] [PubMed]
- Ke, Z.; Ma, L.; Jiao, F.; Liu, X.; Liu, Z.; Wang, Z. Multifractal parameters of soil particle size as key indicators of the soil moisture distribution. J. Hydrol. 2021, 595, 125988. [Google Scholar] [CrossRef]
- Muller, J. Characterization of pore space in chalk by multifractal analysis. J. Hydrol. Amst. 1996, 187, 215–222. [Google Scholar] [CrossRef]
- Schmitt, M.; Fernandes, C.P.; Neto, J.A.B.D.C.; Wolf, F.G.; Santos, V.S.S.D. Characterization of pore systems in seal rocks using nitrogen gas adsorption combined with mercury injection capillary pressure techniques. Mar. Pet. Geol. 2013, 39, 138–149. [Google Scholar] [CrossRef]
- Nooruddin, H.A.; Hossain, M.E.; Al-Yousef, H.; Okasha, T. Comparison of permeability models using mercury injection capillary pressure data on carbonate rock samples. J. Pet. Sci. Eng. 2014, 121, 9–22. [Google Scholar] [CrossRef]
- Ilyushin, Y.V.; Nosova, V.A. Development of Mathematical Model for Forecasting the Production Rate. Int. J. Eng. 2025, 38, 1749–1757. [Google Scholar] [CrossRef]
- Norbisrath, J.H.; Weger, R.J.; Eberli, G.P. Complex resistivity spectra and pore geometry for predictions of reservoir properties in carbonate rocks. J. Pet. Sci. Eng. 2017, 151, 455–467. [Google Scholar] [CrossRef]
- Schlömer, S.; Krooss, B.M. Experimental characterisation of the hydrocarbon sealing efficiency of cap rocks. Mar. Pet. Geol. 1997, 14, 565–580. [Google Scholar] [CrossRef]
- Boulin, P.F.; Bretonnier, P.; Vassil, V.; Samouillet, A.; Fleury, M.; Lombard, J.M. Sealing efficiency of caprocks: Experimental investigation of entry pressure measurement methods. Mar. Pet. Geol. 2013, 48, 20–30. [Google Scholar] [CrossRef]
- Zhou, X.H.; Ding, W.L.; He, J.H.; Li, A.; Sun, Y.X.; Wang, X.H. Microfractures in the middle Carboniferous carbonate rocks and their control on reservoir quality in the Zanaral Oilfield. Mar. Pet. Geol. 2017, 92, 462–476. [Google Scholar] [CrossRef]
- Li, S.; Dong, M.; Li, Z.; Huang, S.; Qing, H.; Nickel, E. Gas breakthrough pressure for hydrocarbon reservoir seal rocks: Implications for the security of long-term CO2 storage in the weyburn field. Geofluids 2005, 5, 326–334. [Google Scholar] [CrossRef]
- Fan, M.; Chen, H.Y.; Yu, L.J.; Zhang, W.T.; Liu, W.X.; Bao, Y.J. Evaluation standard of mudstone caprock combining specific surface area and breakthrough pressure. Pet. Geol. Exp. 2011, 33, 87–90. [Google Scholar]
- Zambrano, M.; Tondi, E.; Mancini, L.; Arzilli, F.; Lanzafame, G.; Materazzi, M.; Torrieri, S. 3D pore-network quantitative analysis in deformed carbonate grainstones. Mar. Pet. Geol. 2017, 82, 251–264. [Google Scholar] [CrossRef]

















| Types | Well | Sample ID | Formation | Lithology | Porosity (%) | Permeability (mD) | Breakthrough Pressure (Mpa) |
|---|---|---|---|---|---|---|---|
| Caprock | T3 | Z1 | Ying 1 | dolomite | 0.59 | 0.0013 | 3.92 |
| T4 | Z5 | Liang 3 | micrite | 0.68 | 0.0003 | 9.77 | |
| T4 | Z6 | Liang 4 and 5 | argillaceous limestone | 0.60 | 0.00035 | 7.77 | |
| T2 | Z7 | Liang 3 | micrite | 0.72 | 0.0007 | 7.56 | |
| T2 | Z8 | Ying 2 | grainstone | 1.05 | 0.0024 | 7.2 | |
| G4 | Z9 | Liang 4 and 5 | grainstone | 2.68 | 0.0008 | 4.36 | |
| G3 | Z14 | Ying 1 | dolomite | 3.39 | 0.001 | 3.55 | |
| Reservoir | T1 | Z2 | Liang 3 | grainstone | 1.81 | 0.0012 | 2.51 |
| T1 | Z3 | Ying 2 | grainstone | 1.06 | 0.0005 | 1.48 | |
| T1 | Z4 | Ying 2 | grainstone | 0.56 | 0.0016 | 0.51 | |
| G4 | Z10 | Liang 4 and 5 | grainstone | 3.31 | 0.0015 | 1.47 | |
| G4 | Z11 | Liang 4 and 5 | grainstone | 3.72 | 0.0038 | 0.58 | |
| G4 | Z12 | Liang 4 and 5 | grainstone | 3.93 | 0.001 | 0.21 | |
| G3 | Z13 | Ying 1 | dolomite | 22.00 | 2.7703 | 0.03 |
| Types | Sample ID | HMIP | N2GA | ||||||||
|---|---|---|---|---|---|---|---|---|---|---|---|
| Left Segment | Right Segment | Dmt | Left Segment | Right Segment | Dnt | ||||||
| Dm1 | R2 | Dm2 | R2 | Dn1 | R2 | Dn2 | R2 | ||||
| Caprock | Z1 | 2.972 | 0.9954 | 2.9884 | 0.9789 | 2.9758 | 2.6882 | 0.9995 | 2.5266 | 0.9996 | 2.5707 |
| Z5 | 2.7621 | 0.9959 | 2.5534 | 0.9842 | 2.7087 | 2.7511 | 0.9946 | 2.5677 | 0.9998 | 2.6366 | |
| Z6 | 2.9399 | 0.9029 | 2.6709 | 0.9783 | 2.8420 | 2.6419 | 0.9941 | 2.4748 | 0.9967 | 2.5164 | |
| Z7 | 2.9955 | 0.8334 | 2.8902 | 0.9158 | 2.9071 | 2.5263 | 0.9987 | 2.464 | 0.9994 | 2.4738 | |
| Z8 | 2.9753 | 0.9291 | 2.384 | 0.9026 | 2.4551 | 2.4558 | 0.9977 | 2.4809 | 0.9955 | 2.4780 | |
| Z9 | 2.9696 | 0.9583 | 2.0126 | 0.9701 | 2.2774 | 2.5868 | 0.9898 | 2.4796 | 0.9945 | 2.5019 | |
| Z14 | 2.8727 | 0.9271 | 2.8201 | 0.9781 | 2.8451 | 2.485 | 0.9978 | 1.821 | 0.9924 | 1.9037 | |
| Reservoir | Z2 | 2.8061 | 0.9946 | 2.9507 | 0.8719 | 2.8248 | 2.5991 | 0.9984 | 2.5191 | 0.9998 | 2.5363 |
| Z3 | 2.9333 | 0.9875 | 2.7897 | 0.9003 | 2.9082 | 2.5759 | 0.9966 | 2.4699 | 0.9997 | 2.4883 | |
| Z4 | 2.9781 | 0.9951 | 2.9972 | 0.8398 | 2.9790 | 2.5597 | 0.9992 | 2.4649 | 0.9998 | 2.4822 | |
| Z10 | 2.9732 | 0.9671 | 1.9526 | 0.9609 | 2.1903 | 2.5256 | 0.9951 | 2.4422 | 0.9978 | 2.4559 | |
| Z11 | 2.9833 | 0.9295 | 2.9977 | 0.9674 | 2.9847 | 2.5325 | 0.9972 | 2.4421 | 0.998 | 2.4569 | |
| Z12 | 2.8969 | 0.9835 | 2.9046 | 0.9851 | 2.8990 | 2.4967 | 0.9991 | 2.4644 | 0.9995 | 2.4691 | |
| Z13 | 2.7291 | 0.9805 | 2.9605 | 0.9859 | 2.7542 | 2.5268 | 0.999 | 2.3651 | 0.9658 | 2.3903 | |
| Types | Sample ID | Typical Fractal Dimensions | Fractal Parameters | |||||||
|---|---|---|---|---|---|---|---|---|---|---|
| D1 | D0 − D1 | D−10 − D0 | D0 − D+10 | D−10 − D+10 | H | α0 | Δα | Rd | ||
| Caprock | Z1 | 1.47 | 0.32 | 2.67 | 1.79 | 0.88 | 1.39 | 0.23 | 2.94 | −1.07 |
| Z5 | 1.30 | 0.55 | 3.61 | 2.37 | 1.24 | 1.43 | 0.24 | 2.90 | −1.02 | |
| Z6 | 1.50 | 0.39 | 3.16 | 2.02 | 1.14 | 1.45 | 0.24 | 2.91 | −1.00 | |
| Z7 | 1.52 | 0.27 | 2.37 | 1.40 | 0.97 | 1.39 | 0.23 | 2.99 | −1.10 | |
| Z8 | 1.68 | 0.08 | 1.43 | 0.94 | 0.49 | 1.38 | 0.23 | 2.96 | −1.09 | |
| Z9 | 1.58 | 0.19 | 2.49 | 1.85 | 0.64 | 1.38 | 0.23 | 2.87 | −1.06 | |
| Z14 | 1.91 | 0.11 | 1.47 | 0.93 | 0.54 | 1.51 | 0.23 | 2.50 | −1.75 | |
| Reservoir | Z2 | 1.53 | 0.44 | 3.03 | 1.78 | 1.25 | 1.48 | 0.24 | 3.04 | −1.04 |
| Z3 | 1.57 | 0.20 | 2.29 | 1.52 | 0.78 | 1.38 | 0.23 | 2.92 | −1.06 | |
| Z4 | 1.74 | 0.29 | 2.52 | 1.48 | 1.04 | 1.51 | 0.23 | 3.13 | −1.07 | |
| Z10 | 1.66 | 0.13 | 2.05 | 1.55 | 0.50 | 1.39 | 0.23 | 2.90 | −1.07 | |
| Z11 | 1.65 | 0.14 | 2.04 | 1.46 | 0.58 | 1.40 | 0.23 | 2.90 | −1.05 | |
| Z12 | 1.77 | 0.10 | 1.68 | 1.24 | 0.45 | 1.44 | 0.23 | 2.94 | −1.01 | |
| Z13 | 1.90 | 0.15 | 1.70 | 1.18 | 0.52 | 1.52 | 0.22 | 2.32 | −2.06 | |
| Types | Sample ID | Typical Fractal Dimensions | Fractal Parameters | |||||||
|---|---|---|---|---|---|---|---|---|---|---|
| D1 | D0 − D1 | D−10 − D0 | D0 − D+10 | D−10 − D+10 | H | a0 | Δa | Rd | ||
| Caprock | Z1 | 2.01 | 0.44 | 3.16 | 0.86 | 4.03 | 1.72 | −0.04 | 0.57 | 2.99 |
| Z5 | 2.09 | 0.47 | 2.00 | 0.86 | 2.87 | 1.78 | −0.11 | 4.67 | −1.02 | |
| Z6 | 1.33 | 1.60 | 4.07 | 1.93 | 6.00 | 1.96 | −0.56 | 6.70 | 0.03 | |
| Z7 | 1.96 | 1.27 | 6.52 | 1.73 | 8.25 | 2.11 | −1.58 | 6.73 | −0.80 | |
| Z8 | 1.56 | 1.61 | 5.62 | 1.97 | 7.59 | 2.08 | −0.87 | 6.85 | −0.71 | |
| Z9 | 1.78 | 1.38 | 7.13 | 1.72 | 8.86 | 2.08 | −0.86 | 0.34 | 5.47 | |
| Z14 | 2.00 | 0.79 | 3.86 | 1.21 | 5.07 | 1.90 | −0.38 | 5.54 | −1.12 | |
| Reservoir | Z2 | 1.89 | 0.33 | 5.52 | 0.78 | 6.30 | 1.61 | 0.11 | 0.26 | 2.33 |
| Z3 | 1.59 | 1.57 | 5.95 | 2.14 | 8.09 | 2.08 | −0.86 | 0.87 | 6.01 | |
| Z4 | 2.10 | 0.94 | 2.55 | 1.97 | 4.52 | 2.02 | −0.69 | 6.48 | 0.31 | |
| Z10 | 1.91 | 1.24 | 6.66 | 1.66 | 8.32 | 2.08 | −0.86 | −0.22 | 4.91 | |
| Z11 | 1.98 | 0.29 | 0.80 | 0.86 | 1.67 | 1.64 | 0.13 | 3.35 | 0.02 | |
| Z12 | 1.89 | 0.50 | 1.58 | 0.89 | 2.47 | 1.69 | 0.07 | 3.74 | −0.29 | |
| Z13 | 2.38 | 0.41 | 2.71 | 0.96 | 3.67 | 1.90 | −0.38 | 5.56 | −1.18 | |
Disclaimer/Publisher’s Note: The statements, opinions and data contained in all publications are solely those of the individual author(s) and contributor(s) and not of MDPI and/or the editor(s). MDPI and/or the editor(s) disclaim responsibility for any injury to people or property resulting from any ideas, methods, instructions or products referred to in the content. |
© 2025 by the authors. Licensee MDPI, Basel, Switzerland. This article is an open access article distributed under the terms and conditions of the Creative Commons Attribution (CC BY) license (https://creativecommons.org/licenses/by/4.0/).
Share and Cite
Ouyang, S.; Qu, Y.; Cheng, Y.; Wu, Y.; Lü, X. Microscopic Pore Structure Heterogeneity on the Breakthrough Pressure and Sealing Capacity of Carbonate Rocks: Insight from Monofractal and Multifractal Investigation. Fractal Fract. 2025, 9, 589. https://doi.org/10.3390/fractalfract9090589
Ouyang S, Qu Y, Cheng Y, Wu Y, Lü X. Microscopic Pore Structure Heterogeneity on the Breakthrough Pressure and Sealing Capacity of Carbonate Rocks: Insight from Monofractal and Multifractal Investigation. Fractal and Fractional. 2025; 9(9):589. https://doi.org/10.3390/fractalfract9090589
Chicago/Turabian StyleOuyang, Siqi, Yiqian Qu, Yuting Cheng, Yupeng Wu, and Xiuxiang Lü. 2025. "Microscopic Pore Structure Heterogeneity on the Breakthrough Pressure and Sealing Capacity of Carbonate Rocks: Insight from Monofractal and Multifractal Investigation" Fractal and Fractional 9, no. 9: 589. https://doi.org/10.3390/fractalfract9090589
APA StyleOuyang, S., Qu, Y., Cheng, Y., Wu, Y., & Lü, X. (2025). Microscopic Pore Structure Heterogeneity on the Breakthrough Pressure and Sealing Capacity of Carbonate Rocks: Insight from Monofractal and Multifractal Investigation. Fractal and Fractional, 9(9), 589. https://doi.org/10.3390/fractalfract9090589
