Next Article in Journal
The Fractal Characteristics of Pore Networks in Tight Sandstones: A Case Study of Nanpu Sag in Bohai Bay Basin, NE China
Next Article in Special Issue
Efficient Hybrid Parallel Scheme for Caputo Time-Fractional PDEs on Multicore Architectures
Previous Article in Journal
Fractional Poisson Process for Estimation of Capacity Degradation in Li-Ion Batteries by Walk Sequences
Previous Article in Special Issue
Stability and Convergence Analysis of Compact Finite Difference Method for High-Dimensional Time-Fractional Diffusion Equations with High-Order Accuracy in Time
 
 
Font Type:
Arial Georgia Verdana
Font Size:
Aa Aa Aa
Line Spacing:
Column Width:
Background:
Article

Dynamical Analysis of Fractional-Order Quaternion-Valued Neural Networks with Leakage and Communication Delays

1
School of Mathematics and Statistics, Hainan Normal University, Haikou 571127, China
2
School of Mathematics and Statistics, Sichuan University of Science and Engineering, Zigong 643000, China
*
Author to whom correspondence should be addressed.
Fractal Fract. 2025, 9(9), 559; https://doi.org/10.3390/fractalfract9090559
Submission received: 25 July 2025 / Revised: 19 August 2025 / Accepted: 21 August 2025 / Published: 25 August 2025

Abstract

This paper investigates the stability and Hopf bifurcation problems of fractional-order quaternion-valued neural networks (FOQVNNs) with leakage delay and communication delay. Utilizing the Hamilton rule of quaternions, the fractional-order quaternion-valued time-delay neural network model is transformed into an equivalent fractional-order real-valued time-delay neural network system. Then, employing the stability theory and bifurcation theory of fractional-order dynamical systems, novel sufficient criteria are derived to ensure system stability and to induce Hopf bifurcation, respectively, using the leakage delay and the communication delay as bifurcation parameters. Furthermore, the influences of both delay types on the bifurcation behavior of FOQVNNs are analyzed in depth. To verify the correctness of the theoretical results, bifurcation diagrams and simulation results generated using MATLAB are presented. The theoretical results established in this paper provide a significant theoretical basis for the analysis and design of FOQVNNs.

1. Introduction

In recent decades, neural networks (NNs) have attracted widespread attention due to their outstanding learning capabilities, universal function approximation abilities, and parallel computing capacities, finding applications across various fields [1]. Depending on the type of data processed, NNs can mainly be categorized into real-valued neural networks (RVNNs), complex-valued neural networks (CVNNs), and quaternion-valued neural networks (QVNNs). However, as research into RVNNs and CVNNs deepens, their inherent limitations in processing high-dimensional data structures become increasingly apparent. Especially in applications like color image processing [2], 3D point cloud processing [3], and 3D object detection in autonomous driving systems [4], traditional RVNNs and CVNNs struggle to efficiently and accurately process high-dimensional data [5]. To overcome this challenge, QVNNs were born. Compared to real-valued and complex-valued neural networks, the neuron states, connection weights, activation functions, and external inputs of QVNNs are all defined within the quaternion domain [6].
Quaternions are a non-commutative extension of complex numbers and belong to the category of hypercomplex numbers, introduced by the Irish mathematician William Rowan Hamilton [7]. Because of their superior rotation representation ability in three-dimensional space compared to Euler angles [8], quaternions are widely used in the fields of computer graphics, physics, and robotics. They also have significant advantages in three-dimensional spatial orientation interpolation, making them an ideal mathematical tool for keyframe animations that require orientation interpolation [9]. With their great application potential in spatial rotation, image processing, color night vision, three-dimensional affine geometric transformation, and other fields, research into QVNNs has attracted much interest from many scholars [10]. Currently, a large number of studies have focused on the dynamical characteristics of QVNNs. For example, Wang et al. [11] explored the stability of QVNNs with time-delay and impulsive disturbance; Wang et al. [12] investigated the synchronization problem of QVNNs fuzzy cellular neural networks with leakage time-delay; Wei et al. [13] analyzed the timed synchronization of QVNNs memory neural networks with time-delay; and Liu et al. [14] examined the state estimation problem of QVNNs involving leakage time-delay and time-varying delay. However, it is worth noting that the analysis of the dynamical performance of QVNNs, especially FQVNNs, is still insufficient. Part of the reason for this situation lies in the fact that the foundational theory of fractional-order dynamical systems is not yet well established, coupled with the complexity of its physical background, leading to the relatively slow development of related research. However, as research deepens, it is found that fractional-order dynamical models have a unique advantage in describing inheritance and memory in the evolution of materials and processes. Compared to classical integer-order models, they can more accurately describe many actual phenomena [15]. At present, FQVNNs have attracted widespread attention, and a large number of valuable research results on FQVNNs with time-delay have emerged. For example, Pratap et al. [16] explored the finite-time Mittag–Leffler stability of FQVNNs with impulsive effects; Wei et al. [17] discussed in detail the stabilization and synchronization control of fractional-order quaternion fuzzy memory neural networks; and Yang et al. [18] investigated the stability and synchronization problems of a class of FQVNNs.
Stability and Hopf bifurcation analysis are always the core topics in research concerning FQVNNs. Stability is a prerequisite for ensuring the normal operation of control systems. In recent years, various stability results for QVNNs have been reported, including asymptotic stability [19], global stability [20], robust stability [21], Mittag–Leffler stability [22], and α -stability [23]. Hopf bifurcation, as an important phenomenon in nonlinear dynamical systems [24], is characterized by the destabilization of stable equilibrium points and the emergence of periodic solutions (limit cycles) due to variation in the system parameters. This transition is often accompanied by a significant change in the dynamical behavior of the system, such as the evolution from steady-state oscillation to complex chaotic motions [25], and thus it is crucial for understanding the behavior of nonlinear systems. In recent years, the problem of Hopf bifurcation in time-delayed fractional-order systems has received much attention. Xu et al. [26] discussed the stability and existence of Hopf bifurcation of fractional-order BAM neural networks with time delays; Dong et al. [27] studied the stability and Hopf bifurcation problem of a class of CVNNs with time delays and diffusion.
Time-delay refers to the delay phenomenon where the input or signal change of a dynamic system has an impact on its output; it reflects the lag of the system response to the input [28]. Braverman et al. [29] provide an overview of the dependence of stability type on time-delay characteristics and illustrate it with examples. The study involves several types of time delays, such as leakage delay [30], self-connection delay [31], and communication delay [32]. Among them, leakage delay specifically refers to the delay existing in the neuron self-feedback loop (negative feedback) and has the characteristic of destabilizing neural networks [33]. Technology can be used in neural networks to controllably delay the influence of input signals on output, which can be applied to fields such as speech recognition, control systems, and time series analysis. Leakage delay has a significant impact on the stability of FQVNNs. Studies have shown that [34] leakage delay will severely weaken system stability. Numerous scholars have conducted extensive research on the bifurcation characteristics of FQVNNs with leakage delay. Wang et al. [35] compared the bifurcation behaviors of neural networks with leakage delay and other delays, finding that the coexistence of leakage delay and other delays would accelerate the occurrence of Hopf bifurcation, significantly changing system stability. Huang et al. [36] used a similar method, taking double and multiple delay systems as objects, to explore the influence of changing one delay (including leakage delay) when the other delay was used as a bifurcation parameter, and found that delay leakage or similar delays could disrupt stability and cause bifurcation. Overall, leakage delay, as an essential element in the time-delay neural network model, can effectively improve its accuracy and efficiency in specific applications if used properly.
Based on the above analysis, this paper is dedicated to studying the bifurcation problem of a class of fractional-order neural networks with both leakage delay and communication delay in the quaternion domain. The main contributions of this paper are outlined as follows: (1) A method for reducing the order of characteristic equations based on matrix theory is proposed, and it is extended to the analysis of Hopf bifurcation in fractional-order neural networks. (2) Differing from the study [35] on the Hopf bifurcation of time-delayed fractional-order neural networks, this research takes leakage delay and communication delay as bifurcation parameters, systematically analyzing their coupled effects on the dynamical behavior of fractional-order quaternion neural networks (FQVNNs). This not only enhances the model’s ability to represent complex dynamical behaviors but also demonstrates the controllability of Hopf bifurcation under the coexistence of dual time delays. (3) Compared with ref. [32] that only focuses on communication delay, by introducing leakage delay, the criteria for Hopf bifurcation induced by FQVNNs with respect to leakage delay and communication delay are accurately derived. This not only supplements the work reported in ref. [32], extending the model to include the case of leakage time delay, but also complements the work of ref. [30] which only focuses on leakage time delay.
The rest of the paper is structured as follows: Section 2 provides basic definitions and relevant theorems. Section 3 presents the proposed model and some necessary assumptions. Section 4 analyzes stability theorems and Hopf bifurcation conditions for FQVNNs. Section 5 utilizes software to carry out numerical simulations, and verifies the correctness of the theoretical derivation. Finally, Section 6 presents the conclusions.

2. Preliminaries

This section introduces the definition of fractional-order calculus, relevant lemmas, as well as the definition and basic operational rules of quaternion algebra. These contents constitute the theoretical foundation for subsequent proofs. This paper adopts the Caputo fractional-order derivative, which has many advantages, including the unity of the integer-order derivative in the given initial condition form, and the ability to effectively model physical systems with enhanced practical applicability. To simplify the expression, the symbol D θ is used to uniformly express the Caputo fractional-order differential operator C D θ . In addition, Z + denotes the set of positive integers, R is the set of real numbers, and H is the set of quaternions.
Definition 1 
([37]). The definition of the Caputo fractional derivative is presented as:
D θ g ( t ) = 1 Γ ( m θ ) t 0 t g ( m ) ( s ) ( t s ) θ m + 1 d s ,
where m Z + satisfies m 1 < θ < m , t t 0 , g C m ( [ t 0 , ) , R ) (m-times continuously differentiable), Γ ( s ) = 0 t s 1 e t d t is the Gamma function.
The Laplace transform of the Caputo derivative D θ g ( t ) is
L D θ g ( t ) ; s = s θ G ( s ) l = 0 m 1 s θ l 1 f ( l ) ( 0 ) , m 1 < θ < m Z + ,
where G ( s ) = L g ( t ) , and g ( l ) ( 0 ) = 0 for l = 1 , 2 , , m simplifies it to L D θ g ( t ) ; s = s θ G ( s ) .
Lemma 1
([38]). Given the fractional-order system
D θ x ( t ) = g ( t , x ( t ) ) , x ( 0 ) = x 0 ,
where θ ( 0 , 1 ] and g ( t , x ( t ) ) : R + × R m R m . The equilibrium point of system (1) is locally asymptotically stable if all eigenvalues λ of the Jacobian matrix g ( t , x ) x evaluated near the equilibrium point satisfy | arg ( λ ) | > θ π 2 .
Lemma 2
([39]). Consider the n-dimensional linear fractional-order delayed system:
D θ x 1 ( t ) = a 11 x 1 t σ 11 + a 12 x 2 t σ 12 + + a 1 n x n t σ 1 n , D θ x 2 ( t ) = a 21 x 1 t σ 21 + a 22 x 2 t σ 22 + + a 2 n x n t σ 2 n , D θ x n ( t ) = a n 1 x 1 t σ n 1 + a n 2 x 2 t σ n 2 + + a n n x n t σ n n ,
where θ ( 0 , 1 ] . The characteristic matrix obtained through the Laplace transform is
Δ ( s ) = s θ a 11 e s σ 11 a 12 e s σ 12 a 1 n e s σ 1 n a 21 e s σ 21 s θ a 22 e s σ 22 a 2 n e s σ 2 n a n 1 e s σ n 1 a n 2 e s σ n 2 s θ a n n e s σ n n ,
If the roots of det ( Δ ( s ) ) = 0 possess negative real components, the system (2) exhibits a Lyapunov global asymptotic stability for its zero solution.
Quaternions [9] are an extended form of hypercomplex number system that build upon complex numbers. A quaternion q is defined as:
q = q r + i q i + j q j + k q k ,
where all components q r , q i , q j , q k R , and the basis i , j , k are imaginary units satisfying the following relations (Hamilton rules):
i 2 = j 2 = k 2 = i j k = 1
and
i j = j i = k ,   j k = k j = i ,   i k = k i = j .
The addition and subtraction of quaternions is calculated component-wise. Given two quaternions q 1 = q 1 r + i q 1 i + j q 1 j + k q 1 k , and q 2 = q 2 r + i q 2 i + j q 2 j + k q 2 k , their addition and subtraction can be expressed as:
q 1 ± q 2 = q 1 r ± q 2 r + i q 1 i ± q 2 i + j q 1 j ± q 2 j + k q 1 k ± q 2 k .
The multiplication of quaternions, the dot product employed for complex numbers is replaced by the Hamiltonian product of two quaternions, which is determined by the multiplication of two quaternions. The Hamiltonian product ⊗ of q 1 and q 2 is represented as follows:
q 1 q 2 = q 1 r q 2 r q 1 i q 2 i q 1 j q 2 j q 1 k q 2 k + i q 1 r q 2 i + q 1 i q 2 r + q 1 j q 2 k q 1 k q 2 j + j q 1 r q 2 j q 1 i q 2 k + q 1 j q 2 r + q 1 k q 2 i + k q 1 r q 2 k + q 1 i q 2 j q 1 j q 2 i + q 1 k q 2 r .
The Hamilton product indicates that the multiplication of quaternions is not commutative, that is, for any two quaternions q 1 and q 2 , we have:
q 1 q 2 q 2 q 1 .
To facilitate rapid understanding of the paper’s content, this comprehensive symbol summary Table 1 is provided, which covers the main variables, parameters, and mathematical symbols defined in the text.

3. Mathematical Model

In [32], the author only studied FQVNNs with communication delay; the model is as follows:
D θ x ( t ) = d x ( t ) + a 1 f 1 ( y ( t τ ) ) , D θ y ( t ) = d y ( t ) + a 2 f 2 ( x ( t τ ) ) .
In the analysis of nonlinear system dynamics, both leakage delay and communication delay are indispensable. Compared to system models that only include a single type of delay (either leakage or communication), the study of nonlinear system dynamics that simultaneously encompasses both leakage delay and communication delay has significantly greater theoretical challenges and practical urgency. Therefore, by incorporating leakage delay into system (3), we establish a new system that includes both leakage delay and communication delay, with the model as follows:
D θ x ( t ) = d x ( t σ ) + a 1 f 1 ( y ( t η ) ) , D θ y ( t ) = d y ( t σ ) + a 2 f 2 ( x ( t η ) ) ,
where 0 < θ 1 is real, x ( t ) , y ( t ) H are neuronal states at t. d > 0 is the self-regulating parameter, σ > 0 and η > 0 denote leakage and communication delays, respectively. a i H ( i = 1 , 2 ) and f i : H H ( i = 1 , 2 ) represent connection weights and quaternion-valued activation functions.
To derive the key conclusions in this paper, we need the following assumptions:
Assumption 1.
The quaternions x , y can be labeled as
x = x r + i x i + j x j + k x k , y = y r + i y i + j y j + k y k .
Assumption 2.
The connection weight a l can be formulated by
a l = a l r + i a l i + j a l j + k a l k , l = 1 , 2 .
Assumption 3.
The activation function f 1 can be expressed as
f 1 = f 1 r y r + i f 1 i y i + j f 1 j y j + k f 1 k y k ,
and the activation function f 2 can be expressed as
f 2 = f 2 r x r + i f 2 i x i + j f 2 j x j + k f 2 k x k .
Assumption 4.
The partial derivatives concerning f 1 r y r , f 1 i y i , f 1 j y j , f 1 k y k , f 2 r x r , f 2 i x i , f 2 j x j , f 2 k x k exist and are continuous, and satisfy
f l r ( 0 ) = 0 ,   f l i ( 0 ) = 0 ,   f l j ( 0 ) = 0 ,   f l k ( 0 ) = 0 ,   l = 1 , 2 .

4. Main Results

This part considers the communication delay η and leakage delay σ as the bifurcation parameters. It analyzes the bifurcation phenomena under different time delays, reveals the impact of different time delays on the mechanism of bifurcation, and derives sufficient criteria to ensure the stability of this system and to induce the occurrence of Hopf bifurcation.

4.1. Influence of Communication Delay η on FQVNNs

Firstly, taking the communication delay η as a bifurcation parameter, the stability and bifurcation conditions of the system are analyzed. Based on Assumptions 1–3, system (4) becomes
D θ x ( t ) = D θ x r ( t ) + i x i ( t ) + j x j ( t ) + k x k ( t ) = d x r ( t σ ) + i x i ( t σ ) + j x j ( t σ ) + k x k ( t σ ) + ( a 1 r + i a 1 i + j a 1 j + k a 1 k ) f 1 r ( y r ) + i f 1 i ( y i ) + j f 1 j ( y j ) + k f 1 k ( y k ) , D θ y ( t ) = D θ y r ( t ) + i y i ( t ) + j y j ( t ) + k y k ( t ) = d y r ( t σ ) + i y i ( t σ ) + j y j ( t σ ) + k y k ( t σ ) + ( a 2 r + i a 2 i + j a 2 j + k a 2 k ) f 2 r ( x r ) + i f 2 i ( x i ) + j f 2 j ( x j ) + k f 2 k ( x k ) .
From the Hamiltonian rule of quaternion, it is known that
D θ x ( t ) = d Q X ( t σ ) + Q W x , D θ y ( t ) = d Q Y ( t σ ) + Q W y .
where
Q = 1 i j k , W x = = w 1 w 2 w 3 w 4 , W y = = w 5 w 6 w 7 w 8 , X ( t σ ) = x r ( t σ ) x i ( t σ ) x j ( t σ ) x k ( t σ ) , Y ( t σ ) = y r ( t σ ) y i ( t σ ) y j ( t σ ) y k ( t σ ) , w 1 = a 1 r f 1 r y r ( t η ) a 1 i f 1 i y i ( t η ) a 1 j f 1 j y j ( t η ) a 1 k f 1 k y k ( t η ) , w 2 = a 1 r f 1 i y i ( t η ) + a 1 i f 1 r y r ( t η ) + a 1 j f 1 k y k ( t η ) a 1 k f 1 j y j ( t η ) , w 3 = a 1 r f 1 j y j ( t η ) + a 1 i f 1 k y k ( t η ) + a 1 j f 1 r y r ( t η ) a 1 k f 1 i y i ( t η ) , w 4 = a 1 r f 1 k y k ( t η ) + a 1 i f 1 j y j ( t η ) a 1 j f 1 i y i ( t η ) + a 1 k f 1 r y r ( t η ) , w 5 = a 2 r f 2 r x r ( t η ) a 2 i f 2 i x i ( t η ) a 2 j f 2 j x j ( t η ) a 2 k f 2 k x k ( t η ) , w 6 = a 2 r f 2 i x i ( t η ) + a 2 i f 2 r x r ( t η ) + a 2 j f 2 k x k ( t η ) a 2 k f 2 j x j ( t η ) , w 7 = a 2 r f 2 j x j ( t η ) + a 2 i f 2 k x k ( t η ) + a 2 j f 2 r x r ( t η ) a 2 k f 2 i x i ( t η ) , w 8 = + a 2 r f 2 k x k ( t η ) + a 2 i f 2 j x j ( t η ) a 2 j f 2 i x i ( t η ) + a 2 k f 2 r x r ( t η ) .
Thus, system (4) can be decomposed into the following equivalent eight-dimensional system:
D θ X ( t ) = d X ( t σ ) + W x , D θ Y ( t ) = d Y ( t σ ) + W y .
where
X ( t ) = x r ( t ) x i ( t ) x j ( t ) x k ( t ) , Y ( t ) = y r ( t ) y i ( t ) y j ( t ) y k ( t ) ,
Based on Assumption 4, it can be concluded that system (7) has a zero equilibrium point. According to the Laplace transform method, the linear equation of system (7) at the origin is
D θ X ( t ) = d X ( t σ ) + M 1 X ( t η ) , D θ Y ( t ) = d Y ( t σ ) + M 2 Y ( t η ) .
where
M x = m 15 m 16 m 17 m 18 m 25 m 26 m 27 m 28 m 35 m 36 m 37 m 38 m 45 m 46 m 47 m 48 , M y = m 51 m 52 m 53 m 54 m 61 m 62 m 63 m 64 m 71 m 72 m 73 m 74 m 81 m 82 m 83 m 84 ,
m 15 = a 1 r f 1 r ( 0 ) , m 16 = a 1 i f 1 i ( 0 ) , m 17 = a 1 j f 1 j ( 0 ) , m 18 = a 1 k f 1 k ( 0 ) , m 25 = a 1 i f 1 r ( 0 ) , m 26 = a 1 r f 1 i ( 0 ) , m 27 = a 1 k f 1 j ( 0 ) , m 28 = a 1 j f 1 k ( 0 ) , m 35 = a 1 j f 1 r ( 0 ) , m 36 = a 1 k f 1 i ( 0 ) , m 37 = a 1 r f 1 j ( 0 ) , m 38 = a 1 i f 1 k ( 0 ) , m 45 = a 1 k f 1 r ( 0 ) , m 46 = a 1 j f 1 i ( 0 ) , m 47 = a 1 i f 1 j ( 0 ) , m 48 = a 1 r f 1 k ( 0 ) , m 51 = a 2 r f 2 r ( 0 ) , m 52 = a 2 i f 2 i ( 0 ) , m 53 = a 2 j f 2 j ( 0 ) , m 54 = a 2 k f 2 k ( 0 ) , m 61 = a 2 i f 2 r ( 0 ) , m 62 = a 2 r f 2 i ( 0 ) , m 63 = a 2 k f 2 j ( 0 ) , m 64 = a 2 j f 2 k ( 0 ) , m 71 = a 2 j f 2 r ( 0 ) , m 72 = a 2 k f 2 i ( 0 ) , m 73 = a 2 r f 2 j ( 0 ) , m 74 = a 2 i f 2 k ( 0 ) , m 81 = a 2 k f 2 r ( 0 ) , m 82 = a 2 j f 2 i ( 0 ) , m 83 = a 2 i f 2 j ( 0 ) , m 84 = a 2 r f 2 k ( 0 ) .
The characteristic equation of system (8) is
S e s η M x e s η M y S = 0 ,
where
S = s θ + d e s σ 0 0 0 0 s θ + d e s σ 0 0 0 0 s θ + d e s σ 0 0 0 0 s θ + d e s σ .
From S 0 and S M y = M y S , we know that
S e s η M x e s η M y S = S 2 e 2 s η M y M x .
So, Equation (9) can be transformed into
h 2 n 11 e 2 s η n 12 e 2 s η n 13 e 2 s η n 14 e 2 s η n 21 e 2 s η h 2 n 22 e 2 s η n 23 e 2 s η n 24 e 2 s η n 31 e 2 s η n 32 e 2 s η h 2 n 33 e 2 s η n 34 e 2 s η n 41 e 2 s η n 42 e 2 s η n 43 e 2 s η h 2 n 44 e 2 s η = 0 ,
where
h = s θ + d e s σ , n 11 = m 51 m 15 + m 52 m 25 + m 53 m 35 + m 54 m 45 , n 12 = m 51 m 16 + m 52 m 26 + m 53 m 36 + m 54 m 46 , n 13 = m 51 m 17 + m 52 m 27 + m 53 m 37 + m 54 m 47 , n 14 = m 51 m 18 + m 52 m 28 + m 53 m 38 + m 54 m 48 , n 21 = m 61 m 15 + m 62 m 25 + m 63 m 35 + m 64 m 45 , n 22 = m 61 m 16 + m 62 m 26 + m 63 m 36 + m 64 m 46 , n 23 = m 61 m 17 + m 62 m 27 + m 63 m 37 + m 64 m 47 , n 24 = m 61 m 18 + m 62 m 28 + m 63 m 38 + m 64 m 48 , n 31 = m 71 m 15 + m 72 m 25 + m 73 m 35 + m 74 m 45 , n 32 = m 71 m 16 + m 72 m 26 + m 73 m 36 + m 74 m 46 , n 33 = m 71 m 17 + m 72 m 27 + m 73 m 37 + m 74 m 47 , n 34 = m 71 m 18 + m 72 m 28 + m 73 m 38 + m 74 m 48 , n 41 = m 81 m 15 + m 82 m 25 + m 83 m 35 + m 84 m 45 , n 42 = m 81 m 16 + m 82 m 26 + m 83 m 36 + m 84 m 46 , n 43 = m 81 m 17 + m 82 m 27 + m 83 m 37 + m 84 m 47 , n 44 = m 81 m 18 + m 82 m 28 + m 83 m 38 + m 84 m 48 .
The Equation (10) is equivalent to the following form:
h 8 + A 1 h 6 e 2 s η + A 2 h 4 e 4 s η + A 3 h 2 e 6 s η + A 4 e 8 s η = 0 ,
where
A 1 = n 11 n 22 n 33 n 44 , A 2 = n 11 n 22 + n 11 n 33 + n 11 n 44 + n 22 n 33 + n 22 n 44 n 23 n 32 n 24 n 42 + n 33 n 44 n 34 n 43 n 12 n 21 n 13 n 31 n 14 n 41 , A 3 = n 11 n 23 n 32 n 11 n 22 n 33 n 11 n 22 n 44 + n 11 n 24 n 42 n 11 n 33 n 44 + n 11 n 34 n 43 n 22 n 33 n 44 + n 22 n 34 n 43 + n 23 n 32 n 44 n 23 n 34 n 42 n 24 n 32 n 43 + n 24 n 33 n 42 + n 12 n 21 n 33 + n 12 n 21 n 44 n 13 n 21 n 32 n 14 n 21 n 42 n 12 n 23 n 31 + n 13 n 22 n 31 + n 13 n 31 n 44 n 14 n 31 n 43 n 12 n 24 n 41 n 13 n 34 n 41 + n 14 n 22 n 41 + n 14 n 33 n 41 , A 4 = n 14 n 23 n 32 n 41 + n 11 n 22 n 33 n 44 n 11 n 22 n 34 n 43 n 11 n 23 n 32 n 44 + n 11 n 23 n 34 n 42 + n 11 n 24 n 32 n 43 n 11 n 24 n 33 n 42 n 12 n 21 n 33 n 44 + n 12 n 21 n 34 n 43 + n 12 n 23 n 31 n 44 n 12 n 23 n 34 n 41 n 12 n 24 n 31 n 43 + n 12 n 24 n 33 n 41 + n 13 n 21 n 32 n 44 n 13 n 21 n 34 n 42 n 13 n 22 n 31 n 44 + n 13 n 22 n 34 n 41 + n 13 n 24 n 31 n 42 n 13 n 24 n 32 n 41 n 14 n 21 n 32 n 43 + n 14 n 21 n 33 n 42 + n 14 n 22 n 31 n 43 n 14 n 22 n 33 n 41 n 14 n 23 n 31 n 42 .
Apply e 8 s η to Equation (11) to obtain
h 8 e 8 s η + A 1 h 6 e 6 s η + A 2 h 4 e 4 s η + A 3 h 2 e 2 s η + A 4 = 0 .
Assume H = h e s η in Equation (12); then, we have
H 8 + A 1 H 6 + A 2 H 4 + A 3 H 2 + A 4 = 0 .
Given that A n is constant, all roots H n ( n = 1 , 2 , , 8 ) in Equation (13) can be computed. Define the root of Equation (13) by
H n = n + i n ( n = 1 , 2 , , 8 ) .
where n is the real part of H n and n its imaginary part.
Therefore, we can obtain
( s θ + d e s σ ) e s η = H n .
Assume s = i ω = ω cos π 2 + i sin π 2 ( ω > 0 ) is a purely imaginary root of Equation (14). Substituting s = i ω into Equation (14) and separating the real and imaginary parts via Euler’s formula yields
ω θ cos θ π 2 cos ω η + d cos ω σ cos ω η ω θ sin θ π 2 sin ω η + d sin ω σ sin ω η = n , ω θ sin θ π 2 cos ω η + d cos ω σ sin ω η + ω θ cos θ π 2 sin ω η d sin ω σ cos ω η = n .
Solving Equation (15) yields
cos ω η = B 1 ( ω ) , sin ω η = B 2 ( ω ) ,
where
B 1 ( ω ) = n ( ω θ cos θ π 2 + d cos ω σ ) + n ( ω θ sin θ π 2 d sin ω σ ) ω 2 θ + d 2 + 2 d ω θ cos ( ω σ + θ π 2 ) , B 2 ( ω ) = n ( ω θ cos θ π 2 + d cos ω σ ) n ( ω θ sin θ π 2 d sin ω σ ) ω 2 θ + d 2 + 2 d ω θ cos ( ω σ + θ π 2 ) .
From sin 2 ω η + cos 2 ω η = 1 , we can get
ω 2 θ + d 2 + 2 d ω θ cos ( ω σ + θ π 2 ) n 2 n 2 = 0 .
Assumption 5.
The Equation (17) has at least one positive real root.
Equation (17) is a transcendental function involving ω , and once specific parameters are provided, MATLAB can be used to find its positive real solutions. Let us denote ω i j (where i = 1 , 2 , , 8 and j = 1 , 2 , ) as the positive real roots of Equation (17).
Thus, from cos ω η = B 1 ( ω ) in Equation (16), we can obtain
η i j k = 1 ω i j arccos B 1 ( ω i j ) + 2 k π , k = 0 , 1 , 2 , .
The system (7)’s bifurcation point is defined as follows:
η 10 = min η i j k .
If the communication delay η does not exist ( η = 0 ), from Equation (14), one can get
s θ + d e s σ = H n ( n = 1 , 2 , , 8 ) .
Assume s = i ω ˜ ( ω ˜ > 0 ) is a purely imaginary root of Equation (20), expressed as s = ω ˜ cos π 2 + i sin π 2 . Substituting s = i ω ˜ into Equation (20) and separating the real and imaginary parts yields
ω ˜ θ cos θ π 2 + d cos ω ˜ σ = n , ω ˜ θ sin θ π 2 d sin ω ˜ σ = n .
Solving Equation (21), we obtain
cos ω ˜ σ = B 1 ˜ ( ω ˜ ) , sin ω ˜ σ = B 2 ˜ ( ω ˜ ) ,
where
B 1 ˜ ( ω ˜ ) = n ω ˜ θ cos θ π 2 d , B 2 ˜ ( ω ˜ ) = ω ˜ θ sin θ π 2 n d .
From sin 2 ω ˜ σ + cos 2 ω ˜ σ = 1 , we can get
ω ˜ 2 θ 2 n ω ˜ θ cos θ π 2 2 n ω ˜ θ sin θ π 2 + n 2 + n 2 d 2 = 0 .
Lemma 3.
When d 2 > ^ n 2 + ^ n 2 , Equation (23) has at least one positive real number root.
Proof. 
Assuming W = ω ˜ θ , Equation (23) can be rewritten as
W 2 2 ( n cos θ π 2 + n sin θ π 2 ) W + n 2 + n 2 d 2 = 0 .
From d 2 > ^ n 2 + ^ n 2 , we can get
= 4 d 2 4 ( n sin θ π 2 n cos θ π 2 ) 2 > 0 .
Thus, by the of the quadratic equation, we obtain all solutions to Equation (24) as
W i = n cos θ π 2 + n sin θ π 2 ± ( i = 1 , 2 ) .
When d 2 = ^ n 2 + ^ n 2 , we can get
W i = n cos θ π 2 + n sin θ π 2 ± ( n cos θ π 2 + n sin θ π 2 ) .
Therefore, when d 2 > ^ n 2 + ^ n 2 , no matter what values n and n take, we can always obtain a positive number W i . Thus, there is a positive real number ω = W i θ , completing the proof of Lemma 3. □
If d 2 > ^ n 2 + ^ n 2 , positive real roots of Equation (23) exist and are defined as ω ˜ i j ( i = 1 , 2 , 3 , 4 , j = 1 , 2 , ) .
Thus, from Equation (22) cos ω ˜ σ = B 1 ˜ ( ω ˜ ) , we get
σ i j k = 1 ω ˜ i j B 1 ˜ ( ω ˜ i j ) + 2 k π , k = 0 , 1 , 2 , .
The bifurcation point of the system (7) without communication delay is
σ 10 = min σ i j k .
In the following, we discuss the stability of system (7) for the case where both η and σ are 0, which will derive Lemma 4, and define
D 1 = C 1 , D 2 = C 1 1 C 3 C 2 , D 3 = C 1 1 0 C 3 C 2 C 1 C 5 C 4 C 3 , D 4 = C 1 1 0 0 C 3 C 2 C 1 0 C 5 C 4 C 3 C 2 C 7 C 6 C 5 C 4 ,
D 5 = C 1 1 0 0 0 C 3 C 2 C 1 1 0 C 5 C 4 C 3 C 2 C 1 C 7 C 6 C 5 C 4 C 3 0 C 8 C 7 C 6 C 5 , D 6 = C 1 1 0 0 0 0 C 3 C 2 C 1 1 0 0 C 5 C 4 C 3 C 2 C 1 1 C 7 C 6 C 5 C 4 C 3 C 2 0 C 8 C 7 C 6 C 5 C 4 0 0 0 C 8 C 7 C 6 ,
D 7 = C 1 1 0 0 0 0 0 C 3 C 2 C 1 1 0 0 0 C 5 C 4 C 3 C 2 C 1 1 0 C 7 C 6 C 5 C 4 C 3 C 2 C 1 0 C 8 C 7 C 6 C 5 C 4 C 3 0 0 0 C 8 C 7 C 6 C 5 0 0 0 0 0 C 8 C 7 , D 8 = C 8 D 7 .
where C i ( i = 1 , 2 , , 8 ) is defined by Equation (27).
Lemma 4.
If D i > 0 ( i = 1 , 2 , , 8 ) holds true at η = σ = 0 , the system (7) is asymptotically stable.
Proof. 
When σ = η = 0 , Equation (11) simplifies to
λ 8 + C 1 λ 7 + C 2 λ 6 + C 3 λ 5 + C 4 λ 4 + C 5 λ 3 + C 6 λ 2 + C 7 λ + C 8 = 0
where
λ = s θ + k , C 1 = 8 d , C 2 = 28 d 2 + A 1 , C 3 = 56 d 3 + 6 A 1 d , C 4 = 70 d 4 + 15 A 1 d 2 + A 2 , C 5 = 56 d 5 + 20 A 1 d 3 + 4 A 2 d , C 6 = 25 d 6 + 15 A 1 d 4 + 6 A 2 d 2 + A 3 , C 7 = 8 d 7 + 6 A 1 d 5 + 4 A 2 d 3 + 2 A 3 d , C 8 = d 8 + A 1 d 6 + A 2 d 4 + A 3 d 2 + A 4 .
Under D i > 0 , all characteristic roots λ i satisfy arg ( λ i ) > θ π 2 ( i = 1 , , 4 ). By Lemma 1, the asymptotic stability of system (7) at σ = η = 0 follows directly. □
In order to give the bifurcation condition, the following necessary assumptions are derived.
Assumption 6.
ϕ 1 ψ 1 + ϕ 2 ψ 2 ψ 1 2 + ψ 2 2 0 ,
  • where ϕ 1 , ϕ 2 , ψ 1 , ψ 2 , are defined by Equation (31).
Lemma 5.
Assume that s ( η ) = μ ( η ) + i ω ( η ) is the root of Equation (13) near the bifurcation point η = η 10 , satisfying μ η 10 = 0 , ω η 10 = ω 0 , where ω 0 denotes the critical frequency of system (7). Then, the transversality condition for the Hopf bifurcation is given by
Re d s d η η = η 10 , ω = ω 0 0 ,
Proof. 
Differentiation of Equation (13) with respect to η gives
( 8 H 7 + 6 A 1 H 5 + 4 A 2 H 3 + 2 A 3 H ) d H d η = 0 .
Since H = ( s θ + d e s σ ) e s η , the derivative of H with respect to η is
d H d η = d ( s θ + d e s σ ) e s η d η = e s η d s d η · η + s s θ + d e s σ + e s η d s d η · θ s θ 1 σ d e s σ · d s d η = e s η d ( η σ ) e s σ + s θ η + θ s θ 1 d s d η + s θ + 1 + s d e s σ .
The derivative of s with respect to η can be obtained from Equation (29)
d s d η = ( s θ + 1 + s d e s σ ) d ( η σ ) e s σ + s θ η + θ s θ 1 ,
It follows from Equation (30) that
Re d s d η η = η 10 , ω = ω 0 = ϕ 1 ψ 1 + ϕ 2 ψ 2 ψ 1 2 + ψ 2 2 0 .
where
ϕ 1 = ω 0 θ + 1 cos ( θ + 1 ) π 2 d ω 0 sin ω 0 σ , ϕ 2 = ω 0 θ + 1 sin ( θ + 1 ) π 2 d ω 0 cos ω 0 σ , ψ 1 = η 10 ω 0 θ cos θ π 2 + d ( η 10 σ ) cos ω 0 σ + θ ω 0 θ 1 cos ( θ 1 ) π 2 , ψ 2 = η 10 ω 0 θ sin θ π 2 d ( η 10 σ ) sin ω 0 σ + θ ω 0 θ 1 sin ( θ 1 ) π 2 .
Based on Assumption 6, we establish that the transversality condition is satisfied, thereby completing the proof of Lemma 4. □
Under Assumptions 1–6, the following theorem holds.
Theorem 1.
For system (4), the following results hold:
  • (i) If σ 0 , σ 10 , then the origin of system (4) is asymptotically stable when η 0 , η 10 .
  • (ii) If σ [ 0 , σ 10 ) , then a Hopf bifurcation occurs at the origin of system (4) when η = η 10 ; that is, a periodic solution bifurcates from the vicinity of the zero equilibrium point η = η 10 .
Remark 1.
In [32], the researchers considered the stability dynamics and Hopf bifurcations within the framework of delayed FQVNNs. However, their exploration was somewhat limited, as it concentrated solely on how communication delays influence network stabilization and the occurrence of Hopf bifurcations. The authors failed to account for the scenario where leakage delay is a factor in FQVNNs. In our research, we meticulously examined the impact of communication delays on stability and Hopf bifurcations within the context of FQVNNs, taking into account the presence of leakage delay. To date, this aspect has received limited attention from the academic community. Our study serves as a valuable addition and enhancement to the existing literature.
Remark 2.
σ 10 denotes the critical threshold of stability of system (4) with respect to the leakage delay σ when the communication delay η is zero. η 10 denotes the critical threshold of the stability of system (4) with respect to the communication delay η under the condition that a leakage delay σ occurs. When η < η 10 , the information transmission lag between neurons does not destroy the stability of system (4); however, when η = η 10 , the phase loss caused by accumulation of the communication delay makes system (4) have periodic solutions.

4.2. Effects of Leakage Delay σ in FQVNNs

In the subsequent analysis, we treat the leakage delay parameter σ as a bifurcation point to examine the system’s stability. To differentiate the effects of σ and η , we express the purely imaginary root of Equation (14) in the form s = i υ = υ ( cos π 2 + i sin π 2 ) with υ > 0 .
From Equation (15), we can obtain
cos υ σ = E 1 ( υ ) , sin υ σ = E 2 ( υ ) ,
where
E 1 ( υ ) = n cos υ η + n sin υ η υ θ cos θ π 2 d , E 2 ( υ ) = n sin υ η n cos υ η + υ θ sin θ π 2 d .
By sin 2 υ σ + cos 2 υ σ = 1 , we can get
υ 2 θ + n 2 + n 2 2 n υ θ cos ( υ η + θ π 2 ) 2 n υ θ sin ( υ η + θ π 2 ) d 2 = 0 .
Assumption 7.
Equation (33) possesses at least one positive real root.
Equation (33) is a transcendental function in υ , and its positive real roots can be numerically computed via Matlab with specified parameters. Define υ i j ( i = 1 , 2 , 3 , 4 , j = 1 , 2 , ) as the positive real roots of the Equation (33).
Thus, from cos υ σ = E 1 ( υ ) in Equation (32), we can obtain
σ i j k = 1 υ i j arccos E 1 ( υ i j ) + 2 k π , k = 0 , 1 , 2 , .
The system(7)’s bifurcation point is defined as follows:
σ 20 = min σ i j k .
If leakage delay σ does not exist ( σ = 0 ) , from Equation (14), one can get
( s θ + d ) e s η = H n .
Suppose that s = i υ ˜ = υ ˜ cos π 2 + i sin π 2 with υ ˜ > 0 represents a purely imaginary solution to Equation (36). By substituting this form into Equation (36), we can dissect it into its real and imaginary parts. From this, one can derive
υ ˜ θ cos ( υ ˜ η + θ π 2 ) + d cos υ ˜ η = n , υ ˜ θ sin ( υ ˜ η + θ π 2 ) + d sin υ ˜ η = n .
Solving Equation (37), we obtain
cos υ ˜ η = E 1 ˜ ( υ ˜ ) , sin υ ˜ η = E 2 ˜ ( υ ˜ ) ,
where
E 1 ˜ ( υ ˜ ) = n ( υ ˜ θ cos θ π 2 + d ) + n υ ˜ θ sin θ π 2 υ ˜ 2 θ + d 2 + 2 d υ ˜ θ cos θ π 2 , E 2 ˜ ( υ ˜ ) = n ( υ ˜ θ cos θ π 2 + d ) n υ ˜ θ sin θ π 2 υ ˜ 2 θ + d 2 + 2 d υ ˜ θ cos θ π 2 .
From sin 2 υ ˜ η + cos 2 υ ˜ η = 1 , we can get
υ ˜ 2 θ + 2 d υ ˜ θ cos θ π 2 + d 2 n 2 n 2 = 0 .
Lemma 6.
When d 2 < n 2 + n 2 , Equation (39) has at least one positive real number root.
Proof. 
We assume that
G ( υ ˜ ) = υ ˜ 2 θ + 2 d υ ˜ θ cos θ π 2 + d 2 n 2 n 2 .
By d 2 < n 2 + n 2 , we can get
G ( 0 ) = d 2 n 2 n 2 < 0
and
lim υ ˜ + G ( υ ˜ ) = + .
From the zero-point existence theorem, it is known that for υ ˜ ( 0 , + ) , there exists at least one point such that G ( υ ˜ ) = 0 . This completes the proof of Lemma 6. □
Therefore, the positive real roots of Equation (39) are defined as υ ˜ i j ( i = 1 , 2 , 3 , 4 , j = 1 , 2 , ) . From cos υ ˜ η = E 1 ˜ ( υ ˜ ) in Equation (38), we can obtain
η i j k = 1 υ ˜ i j arccos E 1 ( υ ˜ i j ) + 2 k π , k = 0 , 1 , 2 , .
The bifurcation point of system (7) without leakage delay ( σ = 0 ) is defined as
η 20 = min η i j k .
To establish the bifurcation condition, the following essential assumption is proposed:
Assumption 8.
ϕ 1 ψ 1 + ϕ 2 ψ 2 ψ 1 2 + ψ 2 2 0 ,
where ϕ 1 , ϕ 2 , ψ 1 , ψ 2 are defined by Equation (45).
Lemma 7.
Assume that s ( σ ) = μ ( σ ) + i υ ( σ ) is the root of Equation (13) near the bifurcation point σ = σ 20 , satisfying μ σ 20 = 0 , υ σ 20 = υ 0 , where υ 0 denotes the critical frequency of system (7). Then, the transversality condition for the Hopf bifurcation is given by
Re d s d η σ 20 = 0 , υ 0 = 0 0 ,
Proof. 
Differentiation of Equation (13) with respect to σ gives
( 8 H 7 + 6 A 1 H 5 + 4 A 2 H 3 + 2 A 3 H ) d H d σ = 0 .
Since H = ( s θ + k e s σ ) e s η , the derivative of H with respect to σ is
d H d σ = d ( s θ + k e s σ ) e s σ d σ = e s σ k ( η σ ) e s σ + s θ η + θ s θ 1 d s d σ s k e s σ .
The derivative of s with respect to σ is obtained using the polynomial Equation (43) is
d s d σ = s k e s σ k ( η σ ) e s σ + s θ η + θ s θ 1 ,
From Equation (44), it follows that
Re d s d σ σ = σ 20 , υ = υ 0 = Φ 1 Ψ 1 + Φ 2 Ψ 2 Ψ 1 2 + Ψ 2 2 0 .
where
Φ 1 = k υ 0 sin υ 0 σ 20 , Φ 2 = k υ 0 cos υ 0 σ 20 , Ψ 1 = η υ 0 θ cos θ π 2 + k ( η σ 20 ) cos υ 0 σ 20 + θ υ 0 θ 1 cos ( θ 1 ) π 2 , Ψ 2 = η υ 0 θ cos θ π 2 + k ( η σ 20 ) sin υ 0 σ 20 + θ υ 0 θ 1 sin ( θ 1 ) π 2 .
Based on Assumption 8, we confirm the transversality condition, completing the proof of lemma 7. □
Under Assumptions 1–4, 7, and 8, the following theorem holds.
Theorem 2.
For system (4), the following results hold:
  • (i) If η 0 , η 20 , then the origin of system (4) is asymptotically stable when σ 0 , σ 20 .
  • (ii) If η [ 0 , η 20 ) , then a Hopf bifurcation occurs at the origin of system (4) when σ = σ 20 ; that is, a periodic solution bifurcates from the vicinity of the zero equilibrium point σ = σ 20 .
Remark 3.
The research outlined in [30] examined how delayed FQVNNs behave in terms of stability and Hopf bifurcation, but its scope was limited to the effects of leakage delay alone, without taking into account communication delay. By comparison, the current study investigates the combined influence of both communication and leakage delays, shedding light on how leakage delay specifically affects the stability and bifurcation phenomena in FQVNNs. To this point, this crucial aspect has not been sufficiently explored in the existing literature. As a result, this work serves to fill that gap and build upon the foundation established by [30].
Remark 4.
η 20 represents the stability boundary of the system (4) with respect to the communication delay η when the leakage delay σ is zero. σ 20 indicates the critical value of the system (4) for triggering Hopf bifurcation with respect to the leakage delay σ under the condition that communication delay η is present. When σ < σ 20 , the delay in the neuron self-feedback loop will not cause system (4) to become unstable. However, when σ = σ 20 , the negative feedback delay caused by the leakage delay will lead to Hopf bifurcation and cause periodic oscillation.

5. Numerical Simulation

This section verifies the correctness of the theory in Section 4 using two examples: Example 1 verifies the conclusion of Section 4.1, and Example 2 verifies the conclusion of Section 4.2.
Example 1.
This example is intended to verify Theorem 1. Consider the FQVNNs:
D 0.86 x ( t ) = 0.9 x ( t σ ) + a 1 t a n h ( y ( t η ) ) , D 0.86 y ( t ) = 0.9 y ( t σ ) + a 2 t a n h ( x ( t η ) ) ,
where a 1 = 0.6 + 0.5 i + 0.4 j 0.3 k , a 2 = 0.7 0.8 i + 0.6 j + 0.5 k .
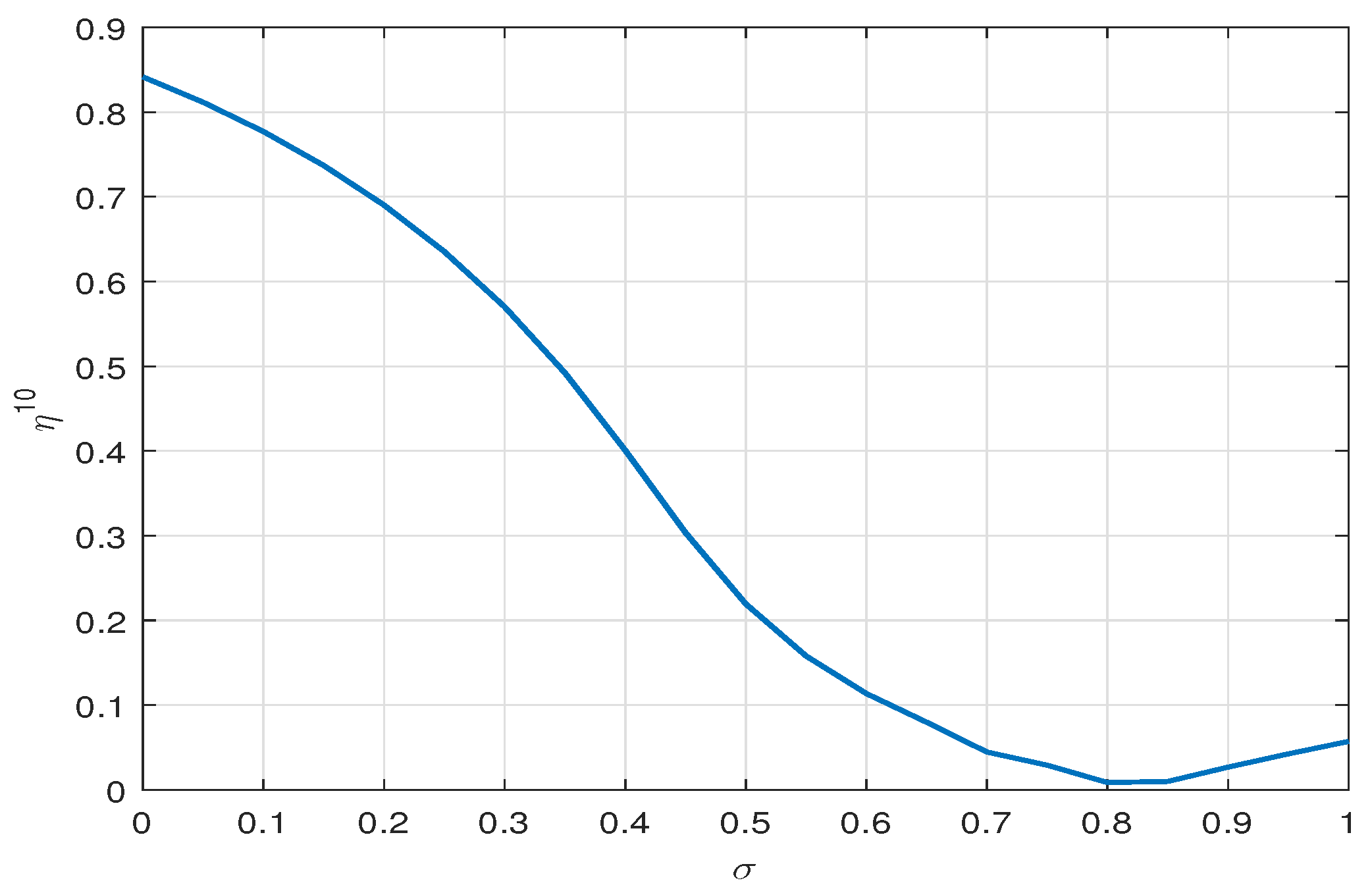
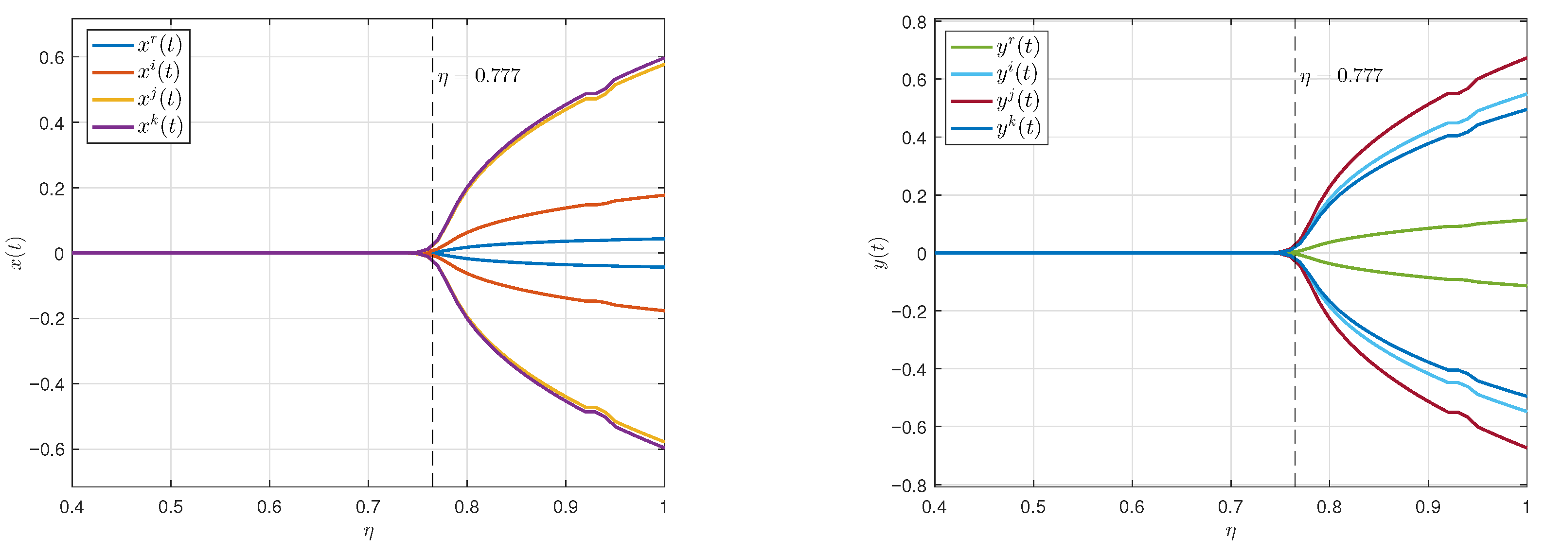
The initial value is chosen as x ( 0 ) = 0.2 + 0.2 i 0.4 j + 0.8 k , y ( 0 ) = 0.5 + 0.3 i + 0.5 j 0.6 k . The above series of parameters all satisfy the hypothesis in this paper. We calculated ω ˜ 0 = 1.840 and σ 10 = 0.683 through Equation (25). If σ = 0.1 [ 0 , 0.683 ) is chosen, we obtain ω 0 = 1.111 , η 10 = 0.777 by Equation (18). The bifurcation point is also given by Figure 1.
Figure 1 illustrates that for values of η less than η 10 = 0.777 , the system described by Equation (46) maintains local asymptotic stability at the origin, where the state variables x and y are centered at equilibrium. When η reaches this critical point of 0.777 , the system (46) undergoes a Hopf bifurcation, indicating a change in stability. As η continues to rise beyond this threshold, the oscillations of x and y following the bifurcation tend to grow in magnitude, signaling an increase in the amplitude of these fluctuations.
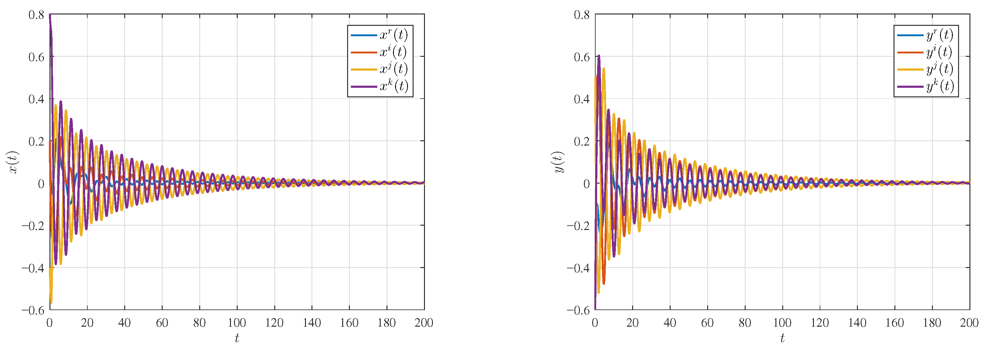
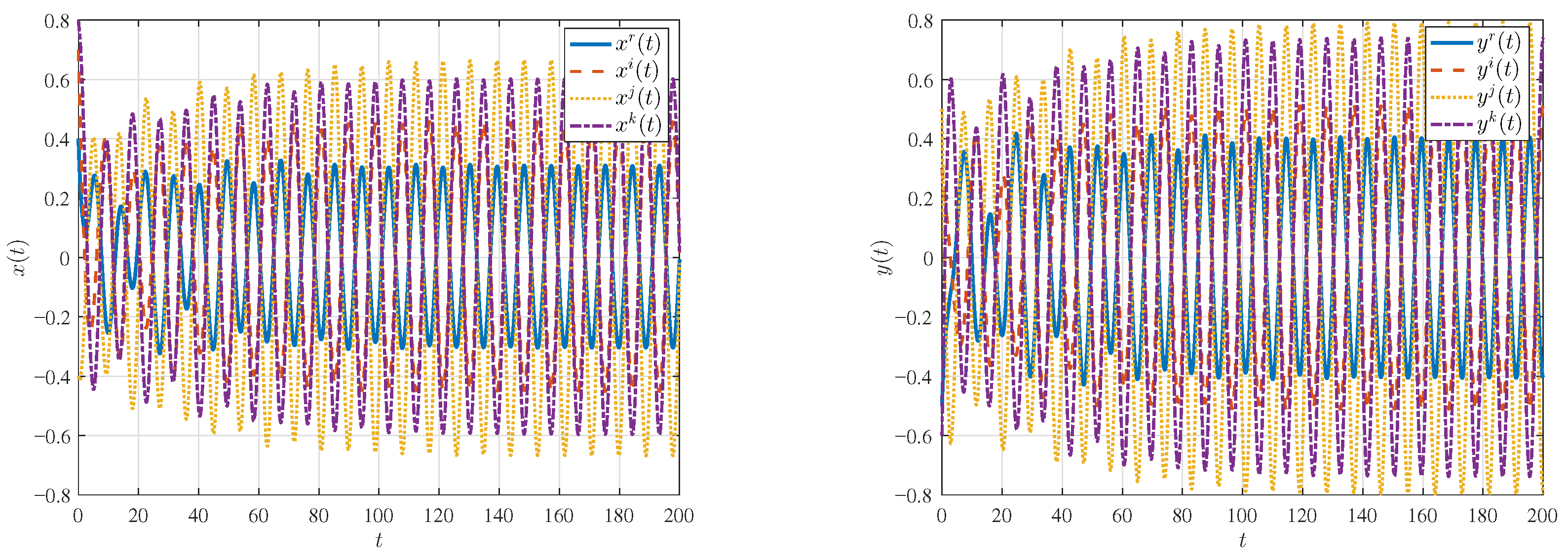
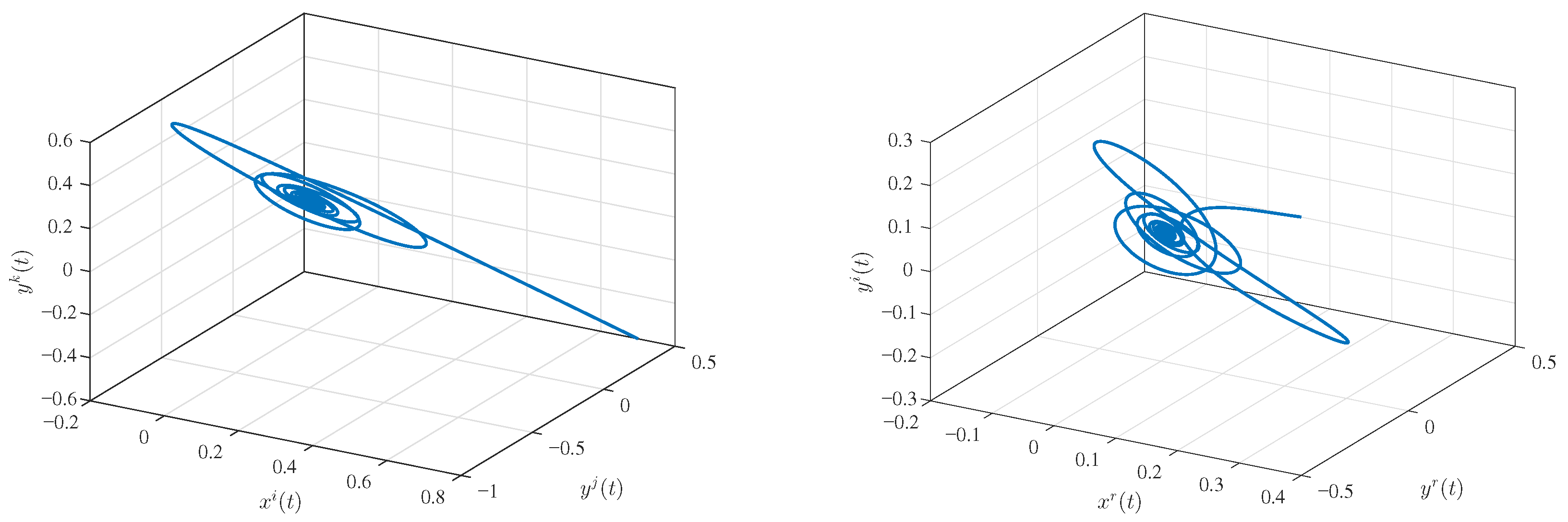
To clarify the statement of Theorem 1, we chose parameters σ = 0.1 and η = 0.72 for our numerical experiments. We then plotted both the fluctuation diagram and the partial phase diagram for the system described by Equation (46), focusing on the variables x and y. As shown in Figure 2, the oscillations of each component of the state variables tend to settle down and stabilize over time, indicating that the system (46) exhibits local asymptotic stability at the origin. Additionally, Figure 3 provides further evidence of this stability, as the phase trajectory clearly demonstrates that the system (46) remains confined near the origin, supporting the conclusion that it is locally stable in that region.
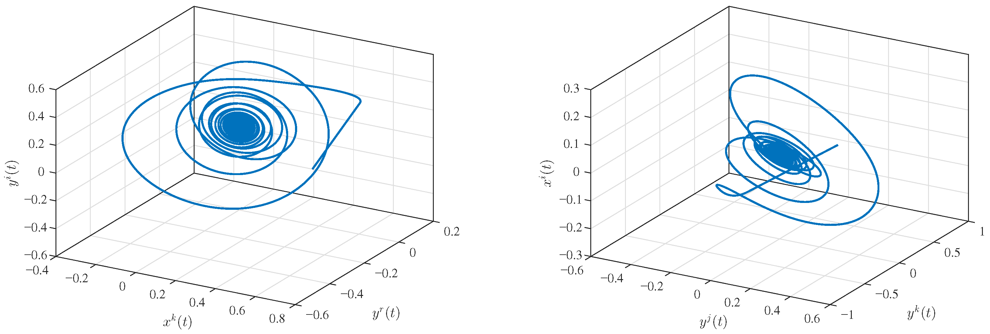
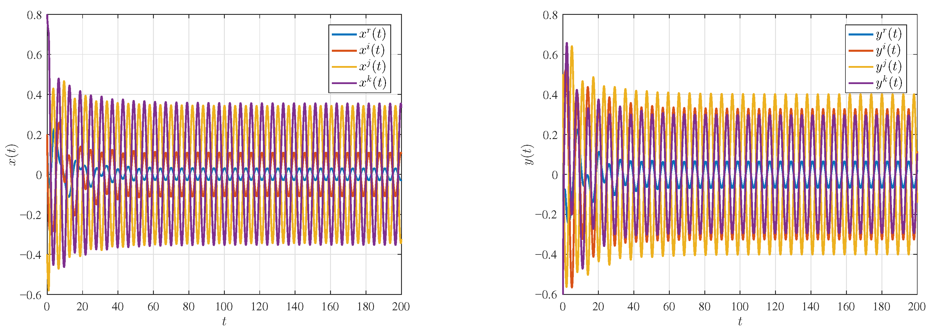
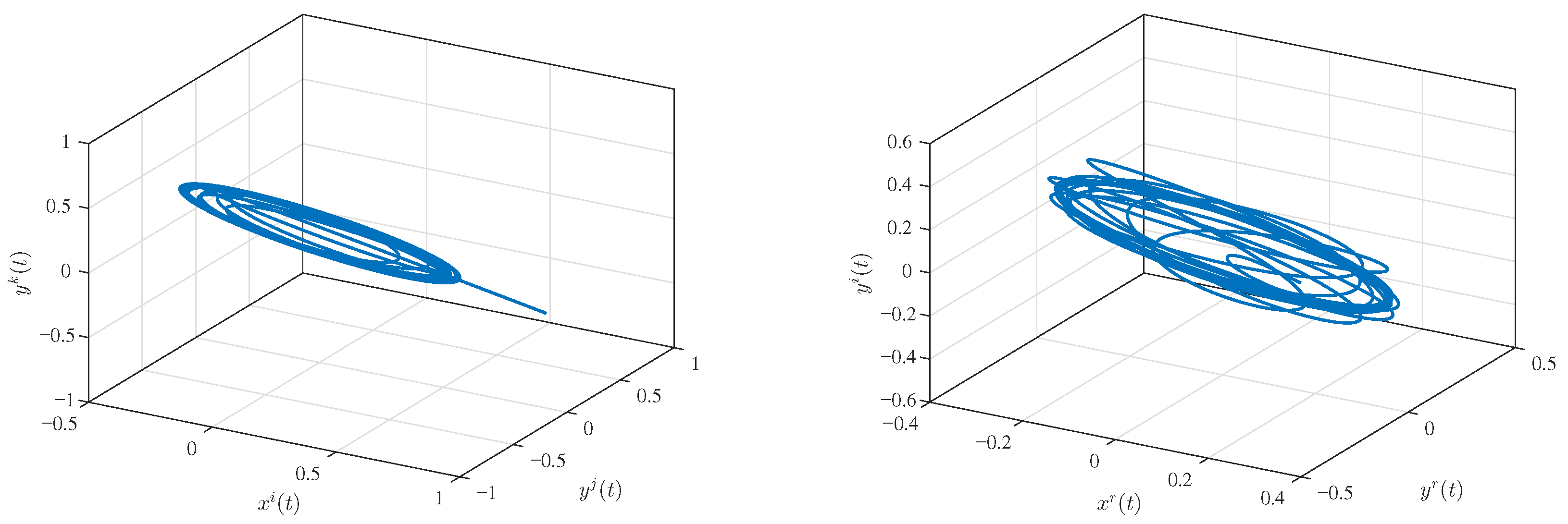
With σ set at 0.1 and η at 0.82, the state variables x and y of system (46) exhibit fluctuation patterns at the equilibrium point, as illustrated in Figure 4. Meanwhile, the phase diagram in Figure 5 reveals an intricate looping path, signifying that the original equilibrium has lost stability and a limit cycle has emerged. This behavior is indicative of a Hopf bifurcation happening within the system (46).
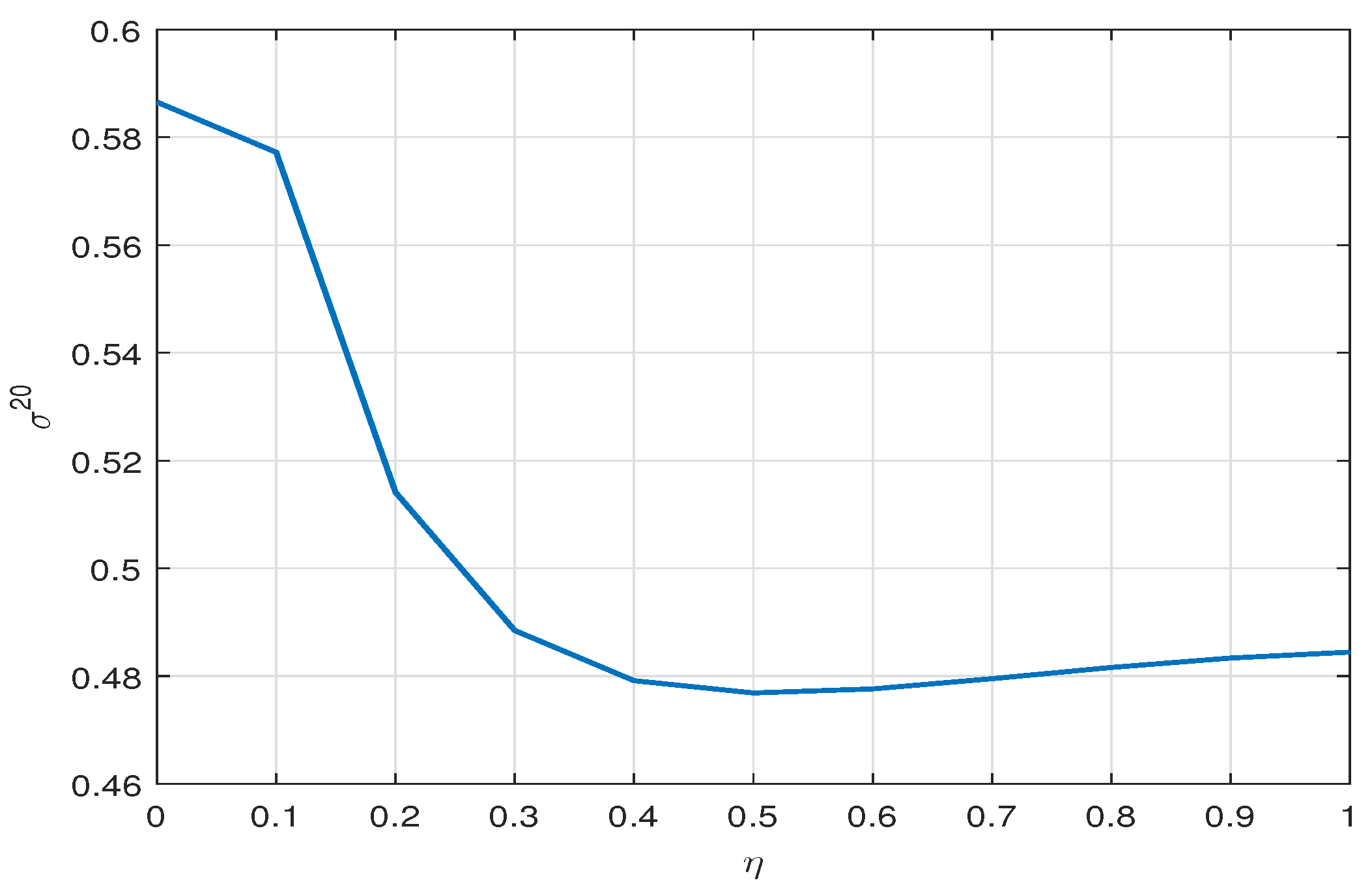
In addition, we also analyze the impact of leakage delay σ on η 10 . It can be found from Figure 6 that taking a smaller value of σ can weaken the adverse effects of η 10 on system (46) stability.
Example 2.
In this example, the leakage delay σ is chosen as the bifurcation parameter to verify the correctness of Theorem 2. Consider the following FQVNNs
D 0.86 x ( t ) = 1.2 x ( t σ ) + a 1 t a n h ( y ( t η ) ) , D 0.86 y ( t ) = 1.2 y ( t σ ) + a 2 t a n h ( x ( t η ) ) ,
where a 1 = 0.5 + 0.6 i + 0.3 j 0.4 k , a 2 = 0.7 0.8 i 0.5 j + 0.6 k .
The initial value is chosen as x ( 0 ) = 0.2 + 0.2 i 0.4 j + 0.8 k , y ( 0 ) = 0.5 + 0.3 i + 0.5 j 0.6 k . The above series of parameters all satisfy the hypothesis in this paper. We calculated υ ˜ 0 = 0.349 and η 20 = 1.884 through Equation (40). If η = 0.1 [ 0 , 1.884 ) is chosen, we obtain υ 0 = 2.955 , σ 20 = 0.577 from Equation (34), which can also be seen from Figure 7.
Figure 7 clearly illustrates that the system described by Equation (47) remains stable whenever σ falls below the critical threshold σ 20 = 0.577 . Conversely, at the exact point where σ hits 0.577, the system experiences a Hopf bifurcation. As the value of σ continues to rise beyond this point, the resulting oscillations’ amplitude in the system’s state variables, x and y, steadily grows larger.
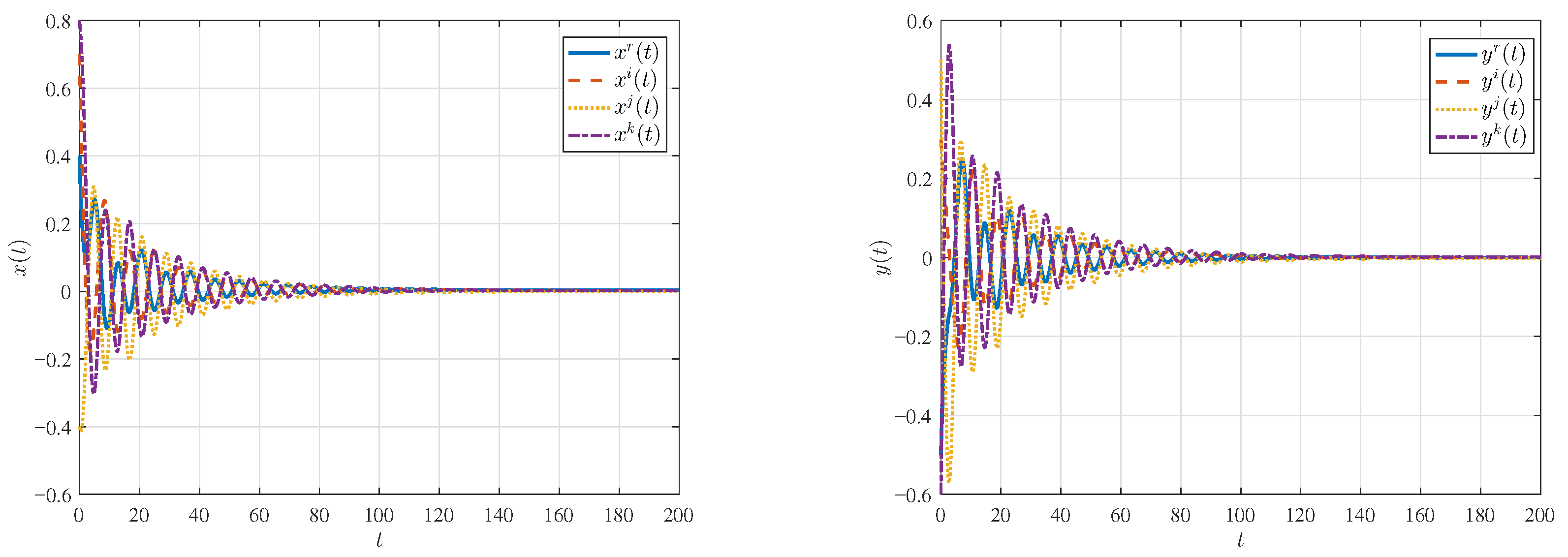
To better illustrate Theorem 2, we conducted numerical simulations using parameters η = 0.1 and σ = 0.52 , which falls within the interval [ 0 , 0.577 ) . We then plotted both the fluctuation diagrams and the partial phase portraits for the system (47)’s variables x and y. As shown in Figure 8, the variations in each component of the state variables stabilize over time, suggesting that the system (47) exhibits local asymptotic stability at the origin. Additionally, Figure 9 further confirms that the phase trajectories demonstrate stability near the origin, reinforcing the system’s local stability properties.
At a parameter set where σ is 0.1 and η is 0.82, the system (47)’s state variables x and y, as depicted in Figure 10, exhibit a notable fluctuation rate around the zero equilibrium. Observing the phase portrait in Figure 11 reveals an intricate loop formation, suggesting that the system (47)’s equilibrium point is becoming unstable. This instability gives rise to a limit cycle, which is a hallmark of the Hopf bifurcation taking place within the system (47).
In addition, we also analyzed the influence of communication delay η on σ 10 . It can be found from Figure 12 that the adverse effect of σ 10 on system (47) stability can be weakened by taking a smaller value of η .

6. Conclusions

Considering the inherent leakage delay in neural networks, this study considers FQVNNs with both leakage delay and communication delay based on previous work. By systematically applying the stability theory of fractional-order differential systems and Hopf bifurcation criteria, an exhaustive analysis of the dynamical behaviors of the established quaternion-valued fractional-order neural network model was conducted. The research reveals that different types of time delays have a significant impact on the stability region of the model, as well as the critical points and dynamic characteristics of the Hopf bifurcation occurrences. These theoretical results provide important guidance for the practical application and numerical analysis of FQVNNs. Future research will focus on the following directions: (1) extending the existing theoretical framework to include FQVNNs with time delay involving n neurons, and systematically studying their stability and bifurcation issues; (2) exploring the related dynamic characteristics in fractional-order octonion neural networks with mixed time delays; (3) considering the time-varying delay scenario, developing more refined and systematic analysis methods to deeply analyze the stability boundary of its time-varying delay systems and precisely depict the Hopf bifurcation behaviors. This study aims to open new avenues for the dynamical research of complex fractional-order multi-valued neural network systems and contribute valuable ideas and methods to the theoretical development of related fields.

Author Contributions

Q.W. proposed the main idea and prepared the manuscript initially. Y.W. and T.L. undertook the numerical simulation. X.T. revised the English grammar of this paper. All authors have read and agreed to the published version of the manuscript.

Funding

This work is partly supported by the Talent Research Startup Foundation of Hainan Normal University (Grant No. HSZK-KYQD-202502), and the Scientific Research and Innovation Team Program of the Sichuan University of Science and Engineering (Grant No. SUSE652B002).

Data Availability Statement

The data will be made available on reasonable request.

Conflicts of Interest

The authors declare that they have no competing interests.

References

  1. Bishop, C.M.; Bishop, H. The deep learning revolution. In Deep Learning: Foundations and Concepts; Springer International Publishing: Cham, Switzerland, 2023; pp. 1–22. [Google Scholar]
  2. Zhu, X.; Xu, Y.; Xu, H.; Chen, C. Quaternion convolutional neural networks. In Proceedings of the European Conference on Computer Vision, Munich, Germany, 8–14 September 2018; pp. 631–647. [Google Scholar]
  3. Shen, W.; Zhang, B.; Huang, S.; Wei, Z.; Zhang, Q. 3d-Rotation-Equivariant Quaternion Neural Networks; Springer International Publishing: Berlin/Heidelberg, Germany, 2020; pp. 531–547. [Google Scholar]
  4. Papaioannidis, C.; Pitas, I. 3D object pose estimation using multi-objective quaternion learning. IEEE Trans. Circuits Syst. Video Technol. 2019, 30, 2683–2693. [Google Scholar] [CrossRef]
  5. García-Retuerta, D.; Casado-Vara, R.; Martín del Rey, A.; De La Prieta, F.; Prieto, J.; Rodríguez, J.M.C. Quaternion Neural Networks: State-of-the-Art and Research Challenges; Springer International Publishing: Cham, Switzerland, 2020; pp. 456–467. [Google Scholar]
  6. Parcollet, T.; Morchid, M.; Linares, G. A survey of quaternion neural networks. Artif. Intell. Rev. 2020, 53, 2957–2982. [Google Scholar] [CrossRef]
  7. Voight, J. Quaternion Algebras; Springer Nature: Berlin/Heidelberg, Germany, 2021. [Google Scholar]
  8. Spring, K.W. Euler parameters and the use of quaternion algebra in the manipulation of finite rotations: A review. Mech. Mach. Theory 1986, 21, 365–373. [Google Scholar] [CrossRef]
  9. Mukundan, R. Advanced Methods in Computer Graphics: With Examples in OpenGL; Springer: Berlin/Heidelberg, Germany, 2012; pp. 77–112. [Google Scholar]
  10. Isokawa, T.; Kusakabe, T.; Matsui, N.; Peper, F. Quaternion Neural Network and Its Application; Springer: Berlin/Heidelberg, Germany, 2003; pp. 318–324. [Google Scholar]
  11. Wang, H.; Wei, G.; Wen, S.; Huang, T. Impulsive disturbance on stability analysis of delayed quaternion-valued neural networks. Appl. Math. Comput. 2021, 390, 125680. [Google Scholar] [CrossRef]
  12. Wang, P.; Li, X.; Wang, N.; Li, Y.; Shi, K.; Lu, J. Almost periodic synchronization of quaternion-valued fuzzy cellular neural networks with leakage delays. Fuzzy Sets Syst. 2022, 426, 46–65. [Google Scholar] [CrossRef]
  13. Wei, R.; Cao, J. Fixed-time synchronization of quaternion-valued memristive neural networks with time delays. Neural Netw. 2019, 113, 1–10. [Google Scholar] [CrossRef]
  14. Liu, L.; Chen, X. State estimation of quaternion-valued neural networks with leakage time delay and mixed two additive time-varying delays. Neural Process. Lett. 2020, 51, 2155–2178. [Google Scholar] [CrossRef]
  15. Aguilar, C.J.Z.; Gómez-Aguilar, J.F.; Alvarado-Martínez, V.M.; Romero-Ugalde, H.M. Fractional order neural networks for system identification. Chaos Solitons Fractals 2020, 130, 109444. [Google Scholar] [CrossRef]
  16. Pratap, A.; Raja, R.; Alzabut, J.; Dianavinnarasi, J.; Cao, J.; Rajchakit, G. Finite-time Mittag-Leffler stability of fractional-order quaternion-valued memristive neural networks with impulses. Neural Process. Lett. 2020, 51, 1485–1526. [Google Scholar] [CrossRef]
  17. Wei, H.; Li, R.; Wu, B. Dynamic analysis of fractional-order quaternion-valued fuzzy memristive neural networks: Vector ordering approach. Fuzzy Sets Syst. 2021, 411, 1–24. [Google Scholar] [CrossRef]
  18. Yang, X.; Li, C.; Song, Q.; Chen, J.; Huang, J. Global Mittag-Leffler stability and synchronization analysis of fractional-order quaternion-valued neural networks with linear threshold neurons. Neural Netw. 2018, 105, 88–103. [Google Scholar] [CrossRef]
  19. Zhang, F.; Zeng, Z. Asymptotic stability and synchronization of fractional-order neural networks with unbounded time-varying delays. IEEE Trans. Syst. Man Cybern. Syst. 2019, 51, 5547–5556. [Google Scholar] [CrossRef]
  20. Zhang, S.; Yu, Y.; Yu, J. LMI conditions for global stability of fractional-order neural networks. IEEE Trans. Neural Netw. Learn. Syst. 2016, 28, 2423–2433. [Google Scholar] [CrossRef] [PubMed]
  21. Ding, Z.; Zeng, Z.; Wang, L. Robust finite-time stabilization of fractional-order neural networks with discontinuous and continuous activation functions under uncertainty. IEEE Trans. Neural Netw. Learn. Syst. 2017, 29, 1477–1490. [Google Scholar] [CrossRef] [PubMed]
  22. Liu, P.; Zeng, Z.; Wang, J. Multiple Mittag-Leffler stability of fractional-order recurrent neural networks. IEEE Trans. Syst. Man Cybern. Syst. 2017, 47, 2279–2288. [Google Scholar] [CrossRef]
  23. Yu, J.; Hu, C.; Jiang, H. α-stability and α-synchronization for fractional-order neural networks. Neural Netw. 2012, 35, 82–87. [Google Scholar] [CrossRef]
  24. Marsden, J.E.; McCracken, M. The Hopf Bifurcation and Its Applications; Springer Science and Business Media: Berlin/Heidelberg, Germany, 2012. [Google Scholar]
  25. Hassard, B.D.; Kazarinoff, N.D.; Wan, Y.H. Theory and Applications of Hopf Bifurcation; CUP Archive: Cambridge, UK, 1981. [Google Scholar]
  26. Xu, C.; Liao, M.; Li, P.; Guo, Y.; Liu, Z. Bifurcation properties for fractional order delayed BAM neural networks. Cogn. Comput. 2021, 13, 322–356. [Google Scholar] [CrossRef]
  27. Dong, T.; Bai, J.; Yang, L. Bifurcation analysis of delayed complex-valued neural network with diffusions. Neural Process. Lett. 2019, 50, 1019–1033. [Google Scholar] [CrossRef]
  28. Wu, J.; Campbell, S.A.; Bélair, J. Time-Delayed Neural Networks: Stability and Oscillations; Springer: New York, NY, USA, 2022; pp. 3434–3440. [Google Scholar]
  29. Braverman, E.; Tunç, C.; Tunxcx, O. On global stability of nonlinear systems with unbounded and distributed delays and a dominating non-delay term. Commun. Nonlinear Sci. Numer. Simul. 2025, 143, 108590. [Google Scholar] [CrossRef]
  30. Xu, C.; Liu, Z.; Aouiti, C.; Li, P.; Yao, L.; Yan, J. New exploration on bifurcation for fractional-order quaternion-valued neural networks involving leakage delays. Cogn. Neurodyn. 2022, 16, 1233–1248. [Google Scholar] [CrossRef]
  31. Huang, C.; Gao, J.; Mo, S.; Cao, J. Hopf bifurcation in a fractional-order neural network with self-connection delay. Nonlinear Dyn. 2023, 111, 14335–14350. [Google Scholar] [CrossRef]
  32. Huang, C.; Nie, X.; Zhao, X.; Song, Q.; Tu, Z.; Xiao, M.; Cao, J. Novel bifurcation results for a delayed fractional-order quaternion-valued neural network. Neural Netw. 2019, 117, 67–93. [Google Scholar] [CrossRef] [PubMed]
  33. Xu, C.; Li, P. Influence of leakage delay on almost periodic solutions for BAM neural networks. IEEE Access 2019, 7, 129741–129757. [Google Scholar] [CrossRef]
  34. Huang, C.; Cao, J. Impact of leakage delay on bifurcation in high-order fractional BAM neural networks. Neural Netw. 2018, 98, 223–235. [Google Scholar] [CrossRef]
  35. Wang, Q.; Li, T.; Wang, Y.; Tan, X. Stability and Hopf Bifurcation of Fractional-Order Quaternary Numerical Three-Neuron Neural Networks with Different Types of Delays. Axioms 2025, 14, 366. [Google Scholar] [CrossRef]
  36. Huang, C.; Liu, H.; Shi, X.; Chen, X.; Xiao, M.; Wang, Z.; Cao, J. Bifurcations in a fractional-order neural network with multiple leakage delays. Neural Netw. 2020, 131, 115–126. [Google Scholar] [CrossRef]
  37. Podlubny, I. Fractional Differential Equations: An Introduction to Fractional Derivatives, Fractional Differential Equations, to Methods of Their Solution and Some of Their Applications; Elsevier: Amsterdam, The Netherlands, 1998. [Google Scholar]
  38. Matignon, D. Stability results for fractional differential equations with applications to control processing. Comput. Eng. Syst. Appl. 1996, 2, 963–968. [Google Scholar]
  39. Deng, W.; Li, C.; Lü, J. Stability analysis of linear fractional differential system with multiple time delays. Nonlinear Dyn. 2007, 48, 409–416. [Google Scholar] [CrossRef]
Figure 1. Bifurcation diagram of the state variables x and y with respect to η for σ = 0.1 .
Figure 1. Bifurcation diagram of the state variables x and y with respect to η for σ = 0.1 .
Fractalfract 09 00559 g001
Figure 2. Oscillograms of the state variables x and y when σ = 0.1 , η = 0.72 < η 10 = 0.777 .
Figure 2. Oscillograms of the state variables x and y when σ = 0.1 , η = 0.72 < η 10 = 0.777 .
Fractalfract 09 00559 g002
Figure 3. Partial phase diagram of the state variables x and y when σ = 0.1 , η = 0.72 < η 10 = 0.777 .
Figure 3. Partial phase diagram of the state variables x and y when σ = 0.1 , η = 0.72 < η 10 = 0.777 .
Fractalfract 09 00559 g003
Figure 4. Oscillograms of the state variables x and y when σ = 0.1 , η = 0.82 > η 10 = 0.777 .
Figure 4. Oscillograms of the state variables x and y when σ = 0.1 , η = 0.82 > η 10 = 0.777 .
Fractalfract 09 00559 g004
Figure 5. Partial phase diagram of the state variables x and y when σ = 0.1 , η = 0.82 > η 10 = 0.777 .
Figure 5. Partial phase diagram of the state variables x and y when σ = 0.1 , η = 0.82 > η 10 = 0.777 .
Fractalfract 09 00559 g005
Figure 6. Fluctuation diagram of η 10 affected by σ .
Figure 6. Fluctuation diagram of η 10 affected by σ .
Fractalfract 09 00559 g006
Figure 7. Bifurcation diagram of state variables x and y with respect to σ for η = 0.1 .
Figure 7. Bifurcation diagram of state variables x and y with respect to σ for η = 0.1 .
Fractalfract 09 00559 g007
Figure 8. Oscillograms of the state variables x and y when η = 0.1 , σ = 0.52 < σ 20 = 0.577 .
Figure 8. Oscillograms of the state variables x and y when η = 0.1 , σ = 0.52 < σ 20 = 0.577 .
Fractalfract 09 00559 g008
Figure 9. Partial phase diagram of the state variables x and y when η = 0.1 , σ = 0.52 < σ 20 = 0.577 .
Figure 9. Partial phase diagram of the state variables x and y when η = 0.1 , σ = 0.52 < σ 20 = 0.577 .
Fractalfract 09 00559 g009
Figure 10. Oscillograms of the state variables x and y when η = 0.1 , σ = 0.62 > σ 20 = 0.5772 .
Figure 10. Oscillograms of the state variables x and y when η = 0.1 , σ = 0.62 > σ 20 = 0.5772 .
Fractalfract 09 00559 g010
Figure 11. Partial phase diagram of the state variables x and y when η = 0.1 , σ = 0.62 > σ 20 = 0.5772 .
Figure 11. Partial phase diagram of the state variables x and y when η = 0.1 , σ = 0.62 > σ 20 = 0.5772 .
Fractalfract 09 00559 g011
Figure 12. Fluctuation diagram of σ 20 affected by η .
Figure 12. Fluctuation diagram of σ 20 affected by η .
Fractalfract 09 00559 g012
Table 1. Symbols and their meanings used in the paper.
Table 1. Symbols and their meanings used in the paper.
SymbolMeaning
H Set of quaternions
qQuaternion q = q r + i q i + j q j + k q k
Quaternion Hamilton multiplication (non-commutative)
D θ Caputo fractional derivative (order θ ( 0 , 1 ] )
Γ ( s ) Gamma function Γ ( s ) = 0 t s 1 e t d t
x ( t ) , y ( t ) Neuron states (quaternion-valued)
dSelf-regulation parameter ( d > 0 )
σ Leakage delay
η Communication delay
a 1 , a 2 Connection weights (quaternion-valued)
f 1 , f 2 Activation functions (quaternion mappings)
θ Order of fractional derivative ( 0 < θ 1 )
H Simplified variable H = ( s θ + d e s σ ) e s η
n , n Real and imaginary parts of H n
ω , v Critical frequencies (imaginary parts at bifurcation points)
η 10 Bifurcation point for communication delay ( σ fixed as parameter)
η 20 Bifurcation point for communication delay ( σ is not existed)
σ 10 Bifurcation point for leakage delay ( η is not existed)
σ 20 Bifurcation point for leakage delay ( η fixed as parameter)
B 1 ( ω ) , B 2 ( ω ) Analytic expressions for cos ω η , sin ω η
E 1 ( v ) , E 2 ( v ) Analytic expressions for cos v σ , sin v σ
SDiagonal matrix diag ( s θ + d e s σ )
M x , M y Jacobian submatrices of the linearized system
m i j Elements of M x , M y (e.g., m 15 = a 1 r f 1 r ( 0 ) )
n i j Elements of matrix N = M y M x
A 1 A 4 Characteristic equation coefficients (polynomial combinations)
Δ ( s ) Characteristic matrix of the fractional-order delayed system
λ Characteristic root
C 1 C 8 Characteristic polynomial coefficients
D i Determinants for stability criteria
sComplex frequency variable
iImaginary unit
i , j , k Quaternion imaginary units
arg ( · ) Argument of a complex number
L { · } Laplace transform
e s τ Laplace transform of the delay term
Disclaimer/Publisher’s Note: The statements, opinions and data contained in all publications are solely those of the individual author(s) and contributor(s) and not of MDPI and/or the editor(s). MDPI and/or the editor(s) disclaim responsibility for any injury to people or property resulting from any ideas, methods, instructions or products referred to in the content.

Share and Cite

MDPI and ACS Style

Wang, Q.; Li, T.; Wang, Y.; Tan, X. Dynamical Analysis of Fractional-Order Quaternion-Valued Neural Networks with Leakage and Communication Delays. Fractal Fract. 2025, 9, 559. https://doi.org/10.3390/fractalfract9090559

AMA Style

Wang Q, Li T, Wang Y, Tan X. Dynamical Analysis of Fractional-Order Quaternion-Valued Neural Networks with Leakage and Communication Delays. Fractal and Fractional. 2025; 9(9):559. https://doi.org/10.3390/fractalfract9090559

Chicago/Turabian Style

Wang, Qiankun, Tianzeng Li, Yu Wang, and Xiaowen Tan. 2025. "Dynamical Analysis of Fractional-Order Quaternion-Valued Neural Networks with Leakage and Communication Delays" Fractal and Fractional 9, no. 9: 559. https://doi.org/10.3390/fractalfract9090559

APA Style

Wang, Q., Li, T., Wang, Y., & Tan, X. (2025). Dynamical Analysis of Fractional-Order Quaternion-Valued Neural Networks with Leakage and Communication Delays. Fractal and Fractional, 9(9), 559. https://doi.org/10.3390/fractalfract9090559

Article Metrics

Back to TopTop