Rolling Bearing Fault Diagnosis Based on Fractional Constant Q Non-Stationary Gabor Transform and VMamba-Conv
Abstract
1. Introduction
- (1)
- An experimental platform for fault diagnosis of rolling bearings is constructed, and a new lightweight method for fault diagnosis in rolling bearings based on FCQ-NSGT and VMamba-Conv is proposed.
- (2)
- We propose a kurtosis-to-entropy ratio (KER) method. It is introduced into CO-NSGT, overcoming the limitation of unsatisfactory time–frequency representation caused by manual parameter setting in the original CO-NSGT. By introducing a fractional-order rotation kernel, the rotational alignment of linear or slow frequency modulation features in the signal is effectively achieved, meaning that the energy distribution is highly concentrated and more concentrated features and a higher signal-to-noise ratio are obtained.
- (3)
- A one-dimensional vibration signal is converted into a two-dimensional time–frequency image through FCO-NSGT, and the fault data set is established.
- (4)
- A new visual state space model, VMamba-Conv, is proposed and applied to fault diagnosis in rolling bearings. The efficient selective scanning mechanism, state space model, and convolutional network are designed in a lightweight manner based on the dual-branch architecture of SimAX fusion and inverted residual blocks to achieve the extraction of local and global features of faults. It enables VMamba-Conv to achieve linear complexity while retaining the global receptive field and dynamic weights and improves the feature extraction ability.
2. Basic Principles
2.1. Fractional Constant Q Non-Stationary Gabor Transform
- (1)
- Parameter selection is performed, guided by KER. Since the number of frequency boxes B per octave has the greatest influence on the calculation results of CQ-NSGT, this study only considers the optimal selection of this parameter. Other parameters of CO-NSGT are set as default parameters. Specifically, the default window function is “hann”, the minimum frequency ξmin is greater than or equal to the ratio of the sampling frequency ξs to the signal length N, and the maximum frequency ξmax is strictly lower than the Nyquist frequency ξs/2. Additionally, considering that kurtosis and Rényi entropy can, respectively, describe the impact characteristics and energy concentration related to rolling bearing faults [24], the higher the kurtosis, the more concentrated the time–frequency energy, the stronger the signal impact characteristics; the lower the entropy, the more concentrated the energy distribution, the greater the concentration represented by the time–frequency, the better the aggregation. Compared with the classical Shannon entropy, Rényi entropy can flexibly adjust its sensitivity to the signal energy distribution through the parameter α, making it more suitable for characterizing transient features and energy fluctuations in nonlinear and nonstationary vibration signals. A kurtosis entropy ratio method is proposed. The larger the KER value, the better the comprehensive performance of the impulse characteristics and time–frequency aggregation of the signal. Therefore, the larger its value, the more in line it is with the goals of fault signal analysis and parameter optimization, and it is used to find the optimal parameter B of the original CQ-NSGT. This method is capable of simultaneously measuring the time–frequency resolution and impact fault information of TFR. The KER principle is as follows:
- (2)
- CQ-NSGT is performed using the selected parameters. The TFR of the above signal is calculated using CQ-NSGT containing the optimal parameter B (the optimal number of frequency boxes per octave).
- (3)
- The focusing and extraction of the impact signal are achieved by means of the rotation kernel function FRFT, and the most discriminative component is extracted through sparse selection to generate TFR. The principle is as follows:
2.2. The SimAM Principle
2.3. The Principle of the VMamba-Conv Model
2.3.1. Efficient 2D Selective Scanning
2.3.2. Lightweight Visual State Space
2.3.3. Inverted Residual Structure
3. Experimental Platform
4. Rolling Bearing Fault Diagnosis Process Based on FCQ-NSGT and VMamba-Conv
- (1)
- Piezoelectric acceleration sensors are used to collect fault signals of rolling bearings on the comprehensive experimental platform for rolling bearings.
- (2)
- Standardized preprocessing is carried out on the collected fault signals.
- (3)
- The kurtosis entropy ratio is introduced into CQ-NSGT to obtain the optimal B and then fractional-order and sparse representation are performed to obtain the two-dimensional time spectrum of the sparsest and most discriminative fractional-order features. The FCO-NSGT method is adopted to convert the fault signal into a two-dimensional time–frequency graph, which is randomly sampled and finally divided into the training data set, the verification data set, and the test data set.
- (4)
- The VMamba-Conv model is constructed, and the training parameters of the model are initialized. The time–frequency graph is input into VMamba-Conv for feature extraction and fault identification. Based on EMA, the training set is input into the VMamba-Conv model for training. The validation set is used to continuously optimize the model parameters until the iteration is complete and the trained model is obtained.
- (5)
- The test set is inputted into the trained VMamba-Conv model to complete fault diagnosis for rolling bearings and obtain the diagnosis results.
5. Experimental Verification and Analysis
5.1. Time–Frequency Image Acquisition
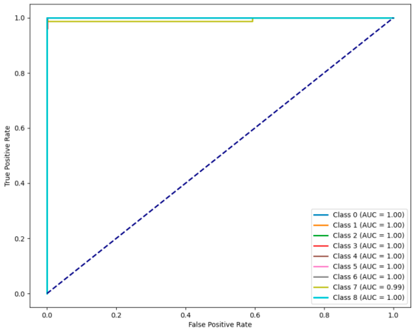
5.2. Result Analysis
5.3. Ablation Experiment
5.4. Comparative Analysis
6. Summary
- (1)
- A fractional constant Q non-stationary Gabor transform method is proposed to solve the problems of calculation errors in the original CQ-NSGT, the imperfect time–frequency representation caused by manual parameter setting, and energy dispersion still existing in the face of frequency modulation signals with frequencies that vary with time.
- (2)
- The results show that the method proposed in this paper improves the indicators of ARI, NMI, F1, and ACC by 0.94–3.81%, 1.05–3.51%, 0.40–1.72%, and 0.40–1.72%, respectively, compared with the control methods. Moreover, the computational complexity and the number of parameters are reduced by approximately 59% and 69%, respectively, compared with CQ-NSGT-VMamba and FCQ-NSGT-VMamba. Its average classification accuracy rate reaches 99.85%, which is close to the 99.91% seen for FCQ-NSGT-VMAMBA and is superior to the 99.45% seen for CQ-NSGT-VMAMBA. Moreover, FCQ-NSGT shows an improvement of 0.46% compared with CQ-NSGT. This method not only improves the computational efficiency of the model and makes it more lightweight, but also shows high diagnostic performance and noise resistance, opening up new possibilities for the application of lightweight state space vision models in fault diagnosis in rolling bearings.
Author Contributions
Funding
Data Availability Statement
Conflicts of Interest
References
- Xie, F.; Li, G.; Liu, H.; Sun, E.; Wang, Y. Advancing Early Fault Diagnosis for Multi-Domain Agricultural Machinery Rolling Bearings through Data Enhancement. Agriculture 2024, 14, 112. [Google Scholar] [CrossRef]
- Peng, B.; Bi, Y.; Xue, B.; Zhang, M.; Wan, S. A Survey on Fault Diagnosis of Rolling Bearings. Algorithms 2022, 15, 347. [Google Scholar] [CrossRef]
- Liu, R.; Yang, B.; Zio, E.; Chen, X. Artificial intelligence for fault diagnosis of rotating machinery: A review. Mech. Syst. Signal Process. 2018, 108, 33–47. [Google Scholar] [CrossRef]
- Peng, H.; Zhang, H.; Fan, Y. A review of research on wind turbine bearings’ failure analysis and fault diagnosis. Lubricants 2022, 11, 14. [Google Scholar] [CrossRef]
- Xie, F.; Wang, Y.; Wang, G.; Sun, E.; Fan, Q.; Song, M. Fault Diagnosis of Rolling Bearings in Agricultural Machines Using SVD-EDS-GST and ResViT. Agriculture 2024, 14, 1286. [Google Scholar] [CrossRef]
- Wang, C.; Sun, Y.; Wang, X. Image Deep Learning in Fault Diagnosis of Mechanical Equipment. J. Intell. Manuf. 2024, 35, 2475–2515. [Google Scholar] [CrossRef]
- Wang, J.; Zhang, Q.; Li, Y.; Zhang, T.; Zhang, H. Fault Diagnosis of Bearings Based on Multi-Sensor Information Fusion and 2D Convolutional Neural Network. IEEE Access 2021, 9, 23717–23725. [Google Scholar] [CrossRef]
- Wang, L.; Qin, Z.; Zhang, Z.; Zhang, J. Free Metaplectic K-Wigner Distribution: Uncertainty Principles and Applications. Fractal Fract. 2025, 9, 245. [Google Scholar] [CrossRef]
- Bhat, M.Y.; Dar, A.H.; Nurhidayat, I.; Pinelas, S. An Interplay of Wigner–Ville Distribution and 2D Hyper-Complex Quadratic-Phase Fourier Transform. Fractal Fract. 2023, 7, 159. [Google Scholar] [CrossRef]
- Ding, S.; Chen, R.; Huang, Y.; Wang, X.; Li, J. Application of Reparametric VGG Network in Rolling Bearing Fault Diagnosis. J. Vib. Shock 2023, 42, 313–323. [Google Scholar]
- Huo, J.; Li, Y.; Chang, C.; Zhang, L.; Wang, Q. Rolling Bearing Fault Diagnosis Based on Hybrid Clipping Unbalanced Data Enhancement and SwinNet Network. J. Vib. Shock 2019, 43, 64–74. [Google Scholar]
- Wang, S.; Feng, Z. Multi-sensor fusion rolling bearing intelligent fault diagnosis based on VMD and ultra-lightweight GoogLeNet in industrial environments. Digit. Signal Process. 2024, 145, 104306. [Google Scholar] [CrossRef]
- Guo, J.; Tan, B.; Wang, Z. Fault Diagnosis Method of Rolling Bearing Based on MDAM-GhostCNN. J. Beijing Univ. Aeronaut. Astronaut. 2025, 51, 1172–1184. [Google Scholar]
- Zhang, H.; Liu, Y.; Wang, J.; Li, Q.; Chen, R. Intelligent Fault Diagnosis of Rolling Bearing Based on EMDPWVD Time-Frequency Image and Improved ViT Network. J. Vib. Shock 2024, 24, 1234–1247. [Google Scholar]
- Li, T.; Wu, X.; Luo, Z.; Chen, Y.; He, C.; Ding, R.; Zhang, C.; Yang, J. A Bearing Fault Diagnosis Method under Small Sample Conditions Based on the Fractional Order Siamese Deep Residual Shrinkage Network. Fractal Fract. 2024, 8, 134. [Google Scholar] [CrossRef]
- Hou, Y.; Wang, J.; Chen, Z.; Ma, J.; Li, T. Diagnosisformer: An efficient rolling bearing fault diagnosis method based on improved transformer. Eng. Appl. Artif. Intell. 2023, 124, 106507. [Google Scholar] [CrossRef]
- Li, J.; Wang, C.; Su, W.; Ye, D.; Wang, Z. Uncertainty-Aware Self-Attention Model for Time Series Prediction with Missing Values. Fractal Fract. 2025, 9, 181. [Google Scholar] [CrossRef]
- Gu, A.; Tri, D. Mamba: Linear-time sequence modeling with selective state spaces. arXiv 2023, arXiv:2312.00752. [Google Scholar]
- Than, N.L.; Nguyen, V.Q.; Truong, G.B.; Pham, V.T.; Tran, T.T. Mixmamba-fewshot: Mamba and attention mixer-based method with few-shot learning for bearing fault diagnosis. Appl. Intell. 2025, 55, 484. [Google Scholar] [CrossRef]
- Deng, F.; Zhu, Y.; Hao, R.; Yang, S.; Li, X. An Improved RSMamba Network Based on Multi-Domain Image Fusion for Wheelset Bearing Fault Diagnosis under Composite Conditions. J. Comput. Des. Eng. 2025, 12, 65–79. [Google Scholar] [CrossRef]
- Hue, N.T.; Hung, V.V.; Anh, T.L.D.; Thinh, D.D.; Thao, T.T.; Hong, H.S. ConvMamba: A Data-Efficient Neural Network for Bearing Fault Diagnosis. In Proceedings of the 2024 7th International Conference on Green Technology and Sustainable Development (GTSD), Ho Chi Minh City, Vietnam, 25–26 July 2024. [Google Scholar]
- Bakalis, E.; Lugli, F.; Zerbetto, F. Daughter Coloured Noises: The Legacy of Their Mother White Noises Drawn from Different Probability Distributions. Fractal Fract. 2023, 7, 600. [Google Scholar] [CrossRef]
- Cao, H.; Chu, R.; Cui, Y. Complex Dynamical Characteristics of the Fractional-Order Cellular Neural Network and Its DSP Implementation. Fractal Fract. 2023, 7, 633. [Google Scholar] [CrossRef]
- Yu, G. A concentrated time–frequency analysis tool for bearing fault diagnosis. IEEE Trans. Instrum. Meas. 2019, 69, 371–381. [Google Scholar] [CrossRef]
- Yan, X.; Jiang, D.; Xiang, L.; Xu, Y.; Wang, Y. CDTFAFN: A novel coarse-to-fine dual-scale time-frequency attention fusion network for machinery vibro-acoustic fault diagnosis. Inf. Fusion 2024, 112, 102554. [Google Scholar] [CrossRef]
- Yan, Z.; Hao, L.; Pi, Q.; Chen, T. Fractional-Order Sliding Mode Terrain-Tracking Control of Autonomous Underwater Vehicle with Sparse Identification. Fractal Fract. 2025, 9, 15. [Google Scholar] [CrossRef]
- Yang, L.; Zhang, R.Y.; Li, L.; Xie, X. Simam: A Simple, Parameter-Free Attention Module for Convolutional Neural Networks. In Proceedings of the 38th International Conference on Machine Learning, Virtual Event, 18–24 July 2021. [Google Scholar]
- Andrew, G.H.; Zhu, M.; Chen, B.; Dmitry, K.; Wang, W.; Tobias, W.; Marco, A.; Hartwig, A. Mobilenets: Efficient Convolutional Neural Networks for Mobile Vision Applications. arXiv 2017, arXiv:1704.04861. [Google Scholar]
- Han, K.; Wang, Y.; Tian, Q.; Guo, J.; Xu, C.; Xu, C. Ghostnet: More Features from Cheap Operations. In Proceedings of the IEEE/CVF Conference on Computer Vision and Pattern Recognition, Nashville, TN, USA, 11–15 June 2025. [Google Scholar]
- Tu, Z.; Talebi, H.; Zhang, H.; Yang, F.; Molanfar, P.; Bovik, A.; Li, Y. Maxvit: Multi-Axis Vision Transformer. In Computer Vision—ECCV 2022, Proceedings of the European Conference on Computer Vision, Tel Aviv, Israel, 23–27 October 2022; Springer Nature: Cham, Switzerland, 2022; pp. 459–479. [Google Scholar]
- Wu, J.; Tang, T.; Chen, M.; Wang, Y.; Wang, K. A study on adaptation lightweight architecture based deep learning models for bearing fault diagnosis under varying working conditions. Expert Syst. Appl. 2020, 160, 113710. [Google Scholar] [CrossRef]
- Xie, F.; Sun, E.; Wang, L.; Wang, G.; Xiao, Q. Rolling Bearing Fault Diagnosis in Agricultural Machinery Based on Multi-Source Locally Adaptive Graph Convolution. Agriculture 2024, 14, 1333. [Google Scholar] [CrossRef]
- Xie, F.; Fan, Q.; Li, G.; Wang, Y.; Sun, E.; Zhou, S. Motor Fault Diagnosis Based on Convolutional Block Attention Module-Xception Lightweight Neural Network. Entropy 2024, 26, 810. [Google Scholar] [CrossRef]
- Zheng, H.; Deng, W.; Song, W.; Cheng, W.; Cattani, P.; Villecco, F. Remaining Useful Life Prediction of a Planetary Gearbox Based on Meta Representation Learning and Adaptive Fractional Generalized Pareto Motion. Fractal Fract. 2024, 8, 14. [Google Scholar] [CrossRef]



















| Model Number | Infinity | Rated Voltage/V | Rated Rotational Speed/(r∙min−1) | Rated Power | Rated Torque/(N∙m) | Power Factor P.F |
|---|---|---|---|---|---|---|
| YE3-100L2-4 | 4 | 380 | 1440 | 3 | 19.9 | 0.82 |
| Fault Status | Rotational Speed (r/min) | Label | Length | Training Set | Verification Set | Test Set | Sampling Frequency (Hz) |
|---|---|---|---|---|---|---|---|
| Inner ring fault | 750 | 0 | 2048 | 350 | 75 | 75 | 15 K |
| Outer ring fault | 750 | 1 | 2048 | 350 | 75 | 75 | 15 K |
| Rolling element fault | 750 | 2 | 2048 | 350 | 75 | 75 | 15 K |
| Cage fracture | 750 | 3 | 2048 | 350 | 75 | 75 | 15 K |
| Inner ring fault | 1050 | 4 | 2048 | 350 | 75 | 75 | 15 K |
| Outer ring fault | 1050 | 5 | 2048 | 350 | 75 | 75 | 15 K |
| Rolling element fault | 1050 | 6 | 2048 | 350 | 75 | 75 | 15 K |
| Cage fracture | 1050 | 7 | 2048 | 350 | 75 | 75 | 15 K |
| Normal | 1050 | 8 | 2048 | 350 | 75 | 75 | 15 K |
| Patch Size | MLP Ratio | SSM d_State | SSM Ratio | SSM_Conv | Step_Size | Dims |
|---|---|---|---|---|---|---|
| 4 × 4 | 4.0 | 16 | 2.0 | 3.0 | 2.0 | 24 |
| Method | ES2D | ES2D-Conv | InRes | Parameters (M) | FLOPs (G) | ACC (%) |
|---|---|---|---|---|---|---|
| VMamba-Conv | √ | × | × | 1.902 | 0.298 | 99.11 |
| √ | √ | × | 1.921 | 0.304 | 99.46 | |
| √ | √ | √ | 1.123 | 0.230 | 99.85 |
| Method | Evaluation Index | |||
|---|---|---|---|---|
| Adjusted Rand Index | Normalized Mutual Information | F1 Score | Accuracy Rate | |
| FCQ-NSGT-ConvNeXt | 0.9770 | 0.9790 | 0.9894 | 0.9895 |
| FCQ-NSGT-ViT | 0.9588 | 0.9616 | 0.9813 | 0.9813 |
| FCQ-NSGT-ViM | 0.9778 | 0.9784 | 0.9903 | 0.9904 |
| CQ-NSGT-VMamba | 0.9875 | 0.9862 | 0.9945 | 0.9945 |
| The method in this article | 0.9969 | 0.9967 | 0.9985 | 0.9985 |
| Method | FLOPs (G) | Parameters (M) | ACC (%) |
|---|---|---|---|
| CQ-NSGT-VMamba | 0.561 | 3.607 | 99.45 |
| FCQ-NSGT-VMamba | 0.561 | 3.607 | 99.91 |
| The method in this article | 0.230 | 1.123 | 99.85 |
Disclaimer/Publisher’s Note: The statements, opinions and data contained in all publications are solely those of the individual author(s) and contributor(s) and not of MDPI and/or the editor(s). MDPI and/or the editor(s) disclaim responsibility for any injury to people or property resulting from any ideas, methods, instructions or products referred to in the content. |
© 2025 by the authors. Licensee MDPI, Basel, Switzerland. This article is an open access article distributed under the terms and conditions of the Creative Commons Attribution (CC BY) license (https://creativecommons.org/licenses/by/4.0/).
Share and Cite
Xie, F.; Song, C.; Wang, Y.; Song, M.; Zhou, S.; Xie, Y. Rolling Bearing Fault Diagnosis Based on Fractional Constant Q Non-Stationary Gabor Transform and VMamba-Conv. Fractal Fract. 2025, 9, 515. https://doi.org/10.3390/fractalfract9080515
Xie F, Song C, Wang Y, Song M, Zhou S, Xie Y. Rolling Bearing Fault Diagnosis Based on Fractional Constant Q Non-Stationary Gabor Transform and VMamba-Conv. Fractal and Fractional. 2025; 9(8):515. https://doi.org/10.3390/fractalfract9080515
Chicago/Turabian StyleXie, Fengyun, Chengjie Song, Yang Wang, Minghua Song, Shengtong Zhou, and Yuanwei Xie. 2025. "Rolling Bearing Fault Diagnosis Based on Fractional Constant Q Non-Stationary Gabor Transform and VMamba-Conv" Fractal and Fractional 9, no. 8: 515. https://doi.org/10.3390/fractalfract9080515
APA StyleXie, F., Song, C., Wang, Y., Song, M., Zhou, S., & Xie, Y. (2025). Rolling Bearing Fault Diagnosis Based on Fractional Constant Q Non-Stationary Gabor Transform and VMamba-Conv. Fractal and Fractional, 9(8), 515. https://doi.org/10.3390/fractalfract9080515

