Fractal Feature of Manufactured Sand Ultra-High-Performance Concrete (UHPC) Based on MIP
Abstract
1. Introduction
2. Materials and Methods
2.1. Raw Materials
2.2. Preparation Process of UHPC
2.3. Flowability and Expansion Time
2.4. Mechanical Properties
2.5. MIP
2.6. Multifractal Theory
2.7. SEM
3. Results and Discussion
3.1. Flowability and Expansion Time
3.2. Mechanical Properties
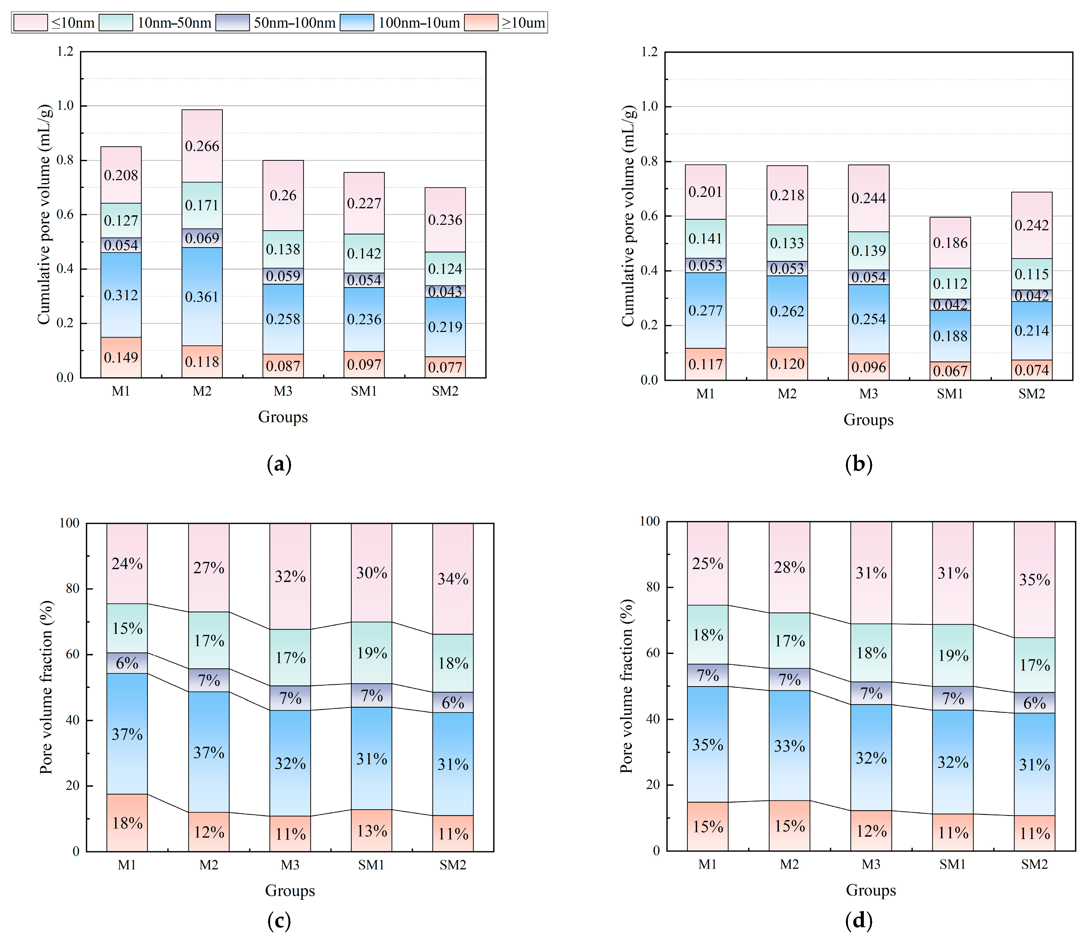
3.3. Pore Diameter Distribution
3.4. Pore Volume Distribution
3.5. Multifractal Analysis
3.5.1. Generalized Fractal Spectrum Analysis
3.5.2. Multifractal Singular Spectrum Analysis
3.6. SEM
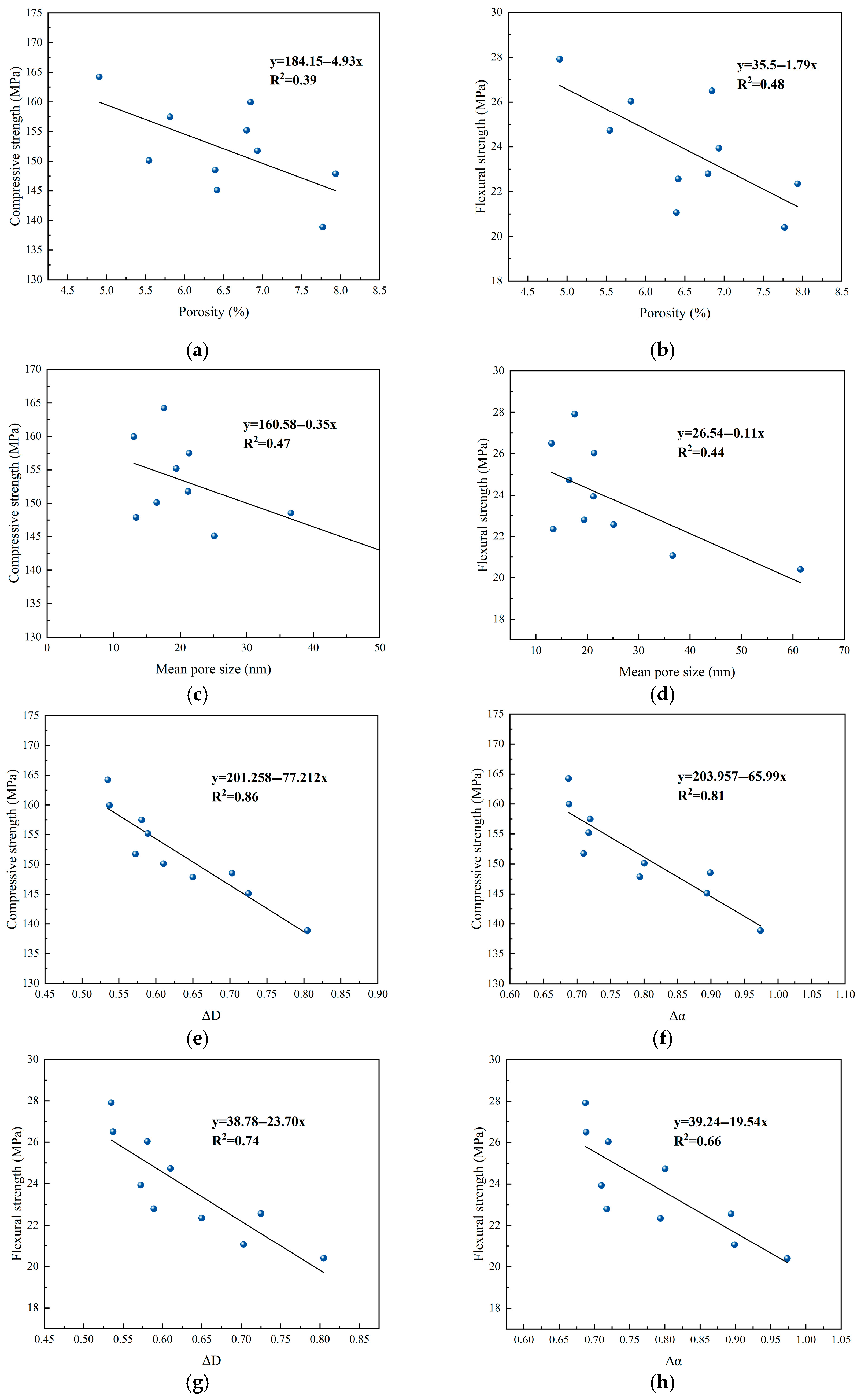
3.7. Correlation Analysis
4. Further Discussion
5. Conclusions
- (1)
- UHPC prepared with sieved MS exhibits superior flowability and T500 performance than using traditional MS. Sand gradation, stone powder content, and cleanliness collectively influence flowability. Excessively high fine particle content, elevated stone powder content, or low cleanliness all impair both flowability and T500 performance.
- (2)
- The UHPC prepared with sieved MS has better mechanical properties than traditional MS. The addition of an appropriate amount of stone powder can have a filling effect, making the matrix denser. MS with a finer particle size distribution exhibits superior performance. However, excessively fine particle distributions adversely affect mechanical properties. Low sand cleanliness indicates excessive clay and harmful substances, which can adversely affect hydration and strength development.
- (3)
- Regarding pore size and pore volume distributions, stone powder reduces cumulative pore volume and refines pore structure. And finer-graded sands exhibit lower cumulative pore volume and finer pore structures.
- (4)
- Generalized dimensions analysis reveals that MS-UHPC pore structures are primarily composed of larger voids, while smaller pores maintain relative compactness, with decreasing w/b ratios promoting further pore densification in all sample groups. Singularity spectrum analysis confirms medium-sized pore dominance across specimens, evidenced by a consistent slight right skew in spectral distributions.
- (5)
- ΔD analysis demonstrates SM-type sands exhibit greater pore uniformity and closure across scales. Δα values confirm SM-type specimens possess finer, more uniformly distributed pores. The correlative analysis of Δα and Δf(α) precisely characterizes pore size distribution patterns, matrix density, and structural complexity in manufactured sand UHPC systems.
- (6)
- SEM-EDS analysis revealed alignment between pore distribution patterns and multifractal analysis conclusions, while also demonstrating the filler effect of stone powder particles within pore structures. The correlation between multifractal parameters and mechanical properties reveals a significant linear relationship.
Author Contributions
Funding
Data Availability Statement
Conflicts of Interest
Appendix A





References
- Amran, M.; Huang, S.-S.; Onaizi, A.M.; Makul, N.; Abdelgader, H.S.; Ozbakkaloglu, T. Recent Trends in Ultra-High Performance Concrete (UHPC): Current Status, Challenges, and Future Prospects. Constr. Build. Mater. 2022, 352, 129029. [Google Scholar] [CrossRef]
- Alsalman, A.; Dang, C.N.; Martí-Vargas, J.R.; Micah Hale, W. Mixture-Proportioning of Economical UHPC Mixtures. J. Build. Eng. 2020, 27, 100970. [Google Scholar] [CrossRef]
- Yu, R.; Spiesz, P.; Brouwers, H.J.H. Development of an Eco-Friendly Ultra-High Performance Concrete (UHPC) with Efficient Cement and Mineral Admixtures Uses. Cem. Concr. Compos. 2015, 55, 383–394. [Google Scholar] [CrossRef]
- Yang, R.; Yu, R.; Shui, Z.; Gao, X.; Han, J.; Lin, G.; Qian, D.; Liu, Z.; He, Y. Environmental and Economical Friendly Ultra-High Performance-Concrete Incorporating Appropriate Quarry-Stone Powders. J. Clean. Prod. 2020, 260, 121112. [Google Scholar] [CrossRef]
- Xiong, X.; Wu, M.; Shen, W.; Li, J.; Zhao, D.; Li, P.; Wu, J. Performance and Microstructure of Ultra-High-Performance Concrete (UHPC) with Silica Fume Replaced by Inert Mineral Powders. Constr. Build. Mater. 2022, 327, 126996. [Google Scholar] [CrossRef]
- Hou, D.; Wu, D.; Wang, X.; Gao, S.; Yu, R.; Li, M.; Wang, P.; Wang, Y. Sustainable Use of Red Mud in Ultra-High Performance Concrete (UHPC): Design and Performance Evaluation. Cem. Concr. Compos. 2021, 115, 103862. [Google Scholar] [CrossRef]
- Chen, Y.; Liu, P.; Sha, F.; Yu, Z.; He, S.; Xu, W.; Lv, M. Effects of Type and Content of Fibers, Water-to-Cement Ratio, and Cementitious Materials on the Shrinkage and Creep of Ultra-High Performance Concrete. Polymers 2022, 14, 1956. [Google Scholar] [CrossRef]
- Liu, Q.; Singh, A.; Xiao, J.; Li, B.; Tam, V.W. Workability and Mechanical Properties of Mortar Containing Recycled Sand from Aerated Concrete Blocks and Sintered Clay Bricks. Resources, Conservation and Recycling 2020, 157, 104728. [Google Scholar] [CrossRef]
- Li, F.; Yao, T.; Luo, J.; Song, Q.; Yang, T.; Zhang, R.; Cao, X.; Li, M. Experimental Investigation on the Performance of Ultra-High Performance Concrete (UHPC) Prepared by Manufactured Sand: Mechanical Strength and Micro Structure. Constr. Build. Mater. 2024, 452, 139001. [Google Scholar] [CrossRef]
- Ma, R.; Zhang, L.; Song, Y.; Lin, G.; Qian, X.; Qian, K.; Ruan, S. Feasibility Study on Preparing Economical and Environmentally-Friendly High-Flowability Ultra-High Performance Cementitious Composites with Original Graded Stone Powder Free Recycled Manufactured Sands. J. Clean. Prod. 2023, 390, 136190. [Google Scholar] [CrossRef]
- Singh, S.; Nagar, R.; Agrawal, V. A Review on Properties of Sustainable Concrete Using Granite Dust as Replacement for River Sand. J. Clean. Prod. 2016, 126, 74–87. [Google Scholar] [CrossRef]
- He, H.; Wang, Y.; Wang, J. Compactness and Hardened Properties of Machine-Made Sand Mortar with Aggregate Micro Fines. Constr. Build. Mater. 2020, 250, 118828. [Google Scholar] [CrossRef]
- Wang, X.; Zhang, W.; Zhang, Y.; Qiao, H.; Xue, C.; Majory Mundia, M.; An, B. Research on the Green Preparation of Manufactured Sand by Tuff Produced in Gansu China and Its Influence on the Properties of Concrete. Constr. Build. Mater. 2023, 409, 133794. [Google Scholar] [CrossRef]
- Yuan, C.; Xu, S.; Raza, A.; Wang, C.; Wang, D. Influence and Mechanism of Curing Methods on Mechanical Properties of Manufactured Sand UHPC. Materials 2022, 15, 6183. [Google Scholar] [CrossRef]
- Sobuz, H.R.; Visintin, P.; Mohamed Ali, M.S.; Singh, M.; Griffith, M.C.; Sheikh, A.H. Manufacturing Ultra-High Performance Concrete Utilising Conventional Materials and Production Methods. Constr. Build. Mater. 2016, 111, 251–261. [Google Scholar] [CrossRef]
- Ma, R.; Zhang, L.; Chen, Z.; Miao, C.; Zhang, C.; Fan, T.; Zhang, J.; Qian, X. Utilization of Solid Waste from Tunnel Excavation as Manufactured Sand with Different Lithology and Pre-Washing Process for Preparation of Eco-Friendly Ultra-High Performance Concretes: Properties and Microstructural Analysis. J. Build. Eng. 2024, 82, 108252. [Google Scholar] [CrossRef]
- Yang, R.; Yu, R.; Shui, Z.; Guo, C.; Wu, S.; Gao, X.; Peng, S. The Physical and Chemical Impact of Manufactured Sand as a Partial Replacement Material in Ultra-High Performance Concrete (UHPC). Cem. Concr. Compos. 2019, 99, 203–213. [Google Scholar] [CrossRef]
- Shen, W.; Yang, Z.; Cao, L.; Cao, L.; Liu, Y.; Yang, H.; Lu, Z.; Bai, J. Characterization of Manufactured Sand: Particle Shape, Surface Texture and Behavior in Concrete. Constr. Build. Mater. 2016, 114, 595–601. [Google Scholar] [CrossRef]
- Gao, Y.; Jiang, J.; De Schutter, G.; Ye, G.; Sun, W. Fractal and Multifractal Analysis on Pore Structure in Cement Paste. Constr. Build. Mater. 2014, 69, 253–261. [Google Scholar] [CrossRef]
- Tang, S.; Huang, J.; Duan, L.; Yu, P.; Chen, E. A Review on Fractal Footprint of Cement-Based Materials. Powder Technol. 2020, 370, 237–250. [Google Scholar] [CrossRef]
- Yang, X.; Wang, F.; Yang, X.; Zhou, Q. Fractal Dimension in Concrete and Implementation for Meso-Simulation. Constr. Build. Mater. 2017, 143, 464–472. [Google Scholar] [CrossRef]
- Zhang, P.; Ding, J.; Guo, J.; Wang, F. Fractal Analysis of Cement-Based Composite Microstructure and Its Application in Evaluation of Macroscopic Performance of Cement-Based Composites: A Review. Fractal Fract. 2024, 8, 304. [Google Scholar] [CrossRef]
- Wang, L.; Zeng, X.; Yang, H.; Lv, X.; Guo, F.; Shi, Y.; Hanif, A. Investigation and Application of Fractal Theory in Cement-Based Materials: A Review. Fractal Fract. 2021, 5, 247. [Google Scholar] [CrossRef]
- Pan, L.; Carrillo, J.; Cao, M.; Sha, G. Multifractal-Spectrum Shape Parameters for Characterizing Distribution and Evolution of Multiple Cracks in Concrete Structures. Eng. Fract. Mech. 2022, 264, 108329. [Google Scholar] [CrossRef]
- Tang, S.W.; A, H.B.; Yu, P.; Wang, L.; Cai, R.J.; Chen, E. The Analysis of Thermal Resistance of Three-Dimensional Fractal Networks Embedded in a Sphere. Fractals 2018, 26, 1850036. [Google Scholar] [CrossRef]
- Ge, X.; Fan, Y.; Li, J.; Aleem Zahid, M. Pore Structure Characterization and Classification Using Multifractal Theory—An Application in Santanghu Basin of Western China. J. Pet. Sci. Eng. 2015, 127, 297–304. [Google Scholar] [CrossRef]
- Tang, S.W.; Wang, L.; Cai, R.J.; Cai, X.H.; He, Z.; Chen, E. The Evaluation of Electrical Impedance of Three-Dimensional Fractal Networks Embedded in a Cube. Fractals 2017, 25, 1740005. [Google Scholar] [CrossRef]
- Kim, J.; Choi, Y.C.; Choi, S. Fractal Characteristics of Pore Structures in GGBFS-Based Cement Pastes. Appl. Surf. Sci. 2018, 428, 304–314. [Google Scholar] [CrossRef]
- Tang, S.W.; Cai, R.J.; He, Z.; Cai, X.H.; Shao, H.Y.; Li, Z.J.; Yang, H.M.; Chen, E. Continuous Microstructural Correlation of Slag/Superplasticizer Cement Pastes by Heat and Impedance Methods via Fractal Analysis. Fractals 2017, 25, 1740003. [Google Scholar] [CrossRef]
- Duan, R.; Xu, Z.; Dong, Y.; Liu, W. Characterization and Classification of Pore Structures in Deeply Buried Carbonate Rocks Based on Mono- and Multifractal Methods. J. Pet. Sci. Eng. 2021, 203, 108606. [Google Scholar] [CrossRef]
- Yu, W.; Zhou, Y.; Zilong, Z.; Yanzhe, L.; Long, Y.; Tang, S. Simulation of Low-Heat Portland Cement Permeability and Thermal Conductivity Using Thermodynamics. Proc. Inst. Civ. Eng. Transp. 2025. ahead of print. [Google Scholar] [CrossRef]
- Han, X.; Wang, B.; Feng, J. Relationship Between Fractal Feature and Compressive Strength of Concrete Based on MIP. Constr. Build. Mater. 2022, 322, 126504. [Google Scholar] [CrossRef]
- Zhu, S. Study on the Effect of Cellulose Nanocrystals on the Pore Structure and Drying Shrinkage of Alkali-Activated Recycled Ultra-High Performance Concrete: A Multifractal Theory. Constr. Build. Mater. 2025, 463, 140113. [Google Scholar] [CrossRef]
- Sun, M.; Zou, C.; Xin, D. Pore Structure Evolution Mechanism of Cement Mortar Containing Diatomite Subjected to Freeze-Thaw Cycles by Multifractal Analysis. Cem. Concr. Compos. 2020, 114, 103731. [Google Scholar] [CrossRef]
- Li, W.; Zhao, Y.; Zhang, Y.; Xie, Z.; Zhang, J.; Huang, F.; Meng, L.; He, Z.; Xia, J.; Zhang, Y.; et al. Optimized Mix Design Method of Ultra-High Performance Concrete (UHPC) and Effect of High Steel Fiber Content: Mechanical Performance and Shrinkage Properties. J. Build. Eng. 2024, 97, 110746. [Google Scholar] [CrossRef]
- Yin, T.; Liu, K.; Fan, D.; Yu, R. Derivation and Verification of Multilevel Particle Packing Model for Ultra-High Performance Concrete (UHPC): Modelling and Experiments. Cem. Concr. Compos. 2023, 136, 104889. [Google Scholar] [CrossRef]
- GB/T50080-2016; Standard for Test Method of Performance on Ordinary Fresh Concrete. National Standard of the People’s Republic of China: Beijing, China, 2016.
- GB/T 17671-2021; Test Method of Cement Mortar Strength (IOS Method). National Standard of the People’s Republic of China: Beijing, China, 2021.
- Liu, K.; Ostadhassan, M.; Zou, J.; Gentzis, T.; Rezaee, R.; Bubach, B.; Carvajal-Ortiz, H. Multifractal Analysis of Gas Adsorption Isotherms for Pore Structure Characterization of the Bakken Shale. Fuel 2018, 219, 296–311. [Google Scholar] [CrossRef]
- Liu, L.; Wang, X.; Zhou, J.; Chu, H.; Shen, D.; Chen, H.; Qin, S. Investigation of Pore Structure and Mechanical Property of Cement Paste Subjected to the Coupled Action of Freezing/Thawing and Calcium Leaching. Cem. Concr. Res. 2018, 109, 133–146. [Google Scholar] [CrossRef]
- Guan, D.; Pan, T.; Guo, R.; Wei, Y.; Qi, R.; Fu, C.; Zhang, Z.; Zhu, Y. Fractal and Multifractal Analysis of Microscopic Pore Structure of UHPC Matrix Modified with Nano Silica. Fractal Fract. 2024, 8, 360. [Google Scholar] [CrossRef]
- Zhang, N.; Wang, X.; Wang, S.; Wang, R.; Wu, J.; Li, Z.; Song, Y. Multifractal Characteristics on Pore Structure of Longmaxi Shale Using Nuclear Magnetic Resonance (NMR). Geoenergy Sci. Eng. 2024, 241, 213176. [Google Scholar] [CrossRef]
- Liu, K.; Ostadhassan, M.; Kong, L. Multifractal Characteristics of Longmaxi Shale Pore Structures by N2 Adsorption: A Model Comparison. J. Pet. Sci. Eng. 2018, 168, 330–341. [Google Scholar] [CrossRef]
- Ji, X.; Zhao, W.; Pan, T.; Han, F.; Du, L.; Sha, J.; Liu, J. Effect of Ester Modified Triethanolamine on the Grinding Quality of Cement: Insight from Fractal and Multifractal Analysis. Constr. Build. Mater. 2024, 443, 137752. [Google Scholar] [CrossRef]
- Wang, J.; Wang, X.; Ding, S.; Ashour, A.; Yu, F.; Lv, X.; Han, B. Micro-Nano Scale Pore Structure and Fractal Dimension of Ultra-High Performance Cementitious Composites Modified with Nanofillers. Cem. Concr. Compos. 2023, 141, 105129. [Google Scholar] [CrossRef]
- Li, W.; Liu, H.; Song, X. Multifractal Analysis of Hg Pore Size Distributions of Tectonically Deformed Coals. Int. J. Coal Geol. 2015, 144–145, 138–152. [Google Scholar] [CrossRef]
- Wang, J.; Niu, K.; Tian, B.; Sun, L. Effect of Methylene Blue (MB)-Value of Manufactured Sand on the Durability of Concretes. J. Wuhan Univ. Technol. Mat. Sci. Ed. 2012, 27, 1160–1164. [Google Scholar] [CrossRef]
- Nehdi, M.L. Clay in Cement-Based Materials: Critical Overview of State-of-the-Art. Constr. Build. Mater. 2014, 51, 372–382. [Google Scholar] [CrossRef]
- Yuli, W.; Hang, H.; Xiaoxing, L. Influences of Aggregate Micro Fines on the Packing of Fresh Mortar and the Performances of Mortar. Compos. Part B Eng. 2019, 164, 493–498. [Google Scholar] [CrossRef]
- Chen, X.; Yuguang, G.; Li, B.; Zhou, M.; Li, B.; Liu, Z.; Zhou, J. Coupled Effects of the Content and Methylene Blue Value (MBV) of Microfines on the Performance of Manufactured Sand Concrete. Constr. Build. Mater. 2020, 240, 117953. [Google Scholar] [CrossRef]
- Ma, R.; Zhang, L.; Song, Y.; Lin, G.; Qian, X.; Qian, K. Recycling Stone Powder as a Partial Substitute for Cementitious Materials into Eco-Friendly Manufactured Sand Ultra-High Performance Concretes: Towards Cleaner and More Cost-Effective Construction Production. J. Build. Eng. 2024, 92, 109772. [Google Scholar] [CrossRef]
- Beixing, L.; Mingkai, Z.; Jiliang, W. Effect of the Methylene Blue Value of Manufactured Sand on Performances of Concrete. J. Adv. Concr. Technol. 2011, 9, 127–132. [Google Scholar] [CrossRef]
- Chen, J.; Liao, Y.; Ma, F.; Tang, S. Effect of Ground Granulated Blast Furnace Slag on Hydration Characteristics of Ferrite-Rich Calcium Sulfoaluminate Cement in Seawater. J. Cent. South Univ. 2025, 32, 189–204. [Google Scholar] [CrossRef]
- Li, W.; Zhou, Y.; Yin, J.; Peng, Y.; Wang, Y.; Tang, S.; Dong, Y.; Shi, Y.; Yang, W.; Wang, L. Study on Thermodynamics Based Hydration of Low-Heat Portland Cement and Compensation Effect of Magnesium Oxide Admixtures. J. Zhejiang Univ. Sci. A 2025, 26, 305–319. [Google Scholar] [CrossRef]
- Emanuelson, A.; Landa-Cánovas, A.R.; Hansen, S. A Comparative Study of Ordinary and Mineralised Portland Cement Clinker from Two Different Production Units Part II: Characteristics of the Calcium Silicates. Cem. Concr. Res. 2003, 33, 1623–1630. [Google Scholar] [CrossRef]
- Han, X.; Feng, J.; Wang, B. Relationship Between Fractal Feature and Compressive Strength of Fly Ash-Cement Composite Cementitious Materials. Cem. Concr. Compos. 2023, 139, 105052. [Google Scholar] [CrossRef]
- Menéndez, G.; Bonavetti, V.; Irassar, E.F. Strength Development of Ternary Blended Cement with Limestone Filler and Blast-Furnace Slag. Cem. Concr. Compos. 2003, 25, 61–67. [Google Scholar] [CrossRef]
- Ren, S.; Xu, Z.; Yang, B.; Wang, X.-Y.; Han, Y.; Lin, R.-S.; Liao, Y. Sustainable Utilization of Phosphorus-Rich Sludge in Cement Composites: Multiscale Evaluation and Mechanistic Analysis. J. Environ. Chem. Eng. 2024, 12, 114543. [Google Scholar] [CrossRef]
- Yang, J.; Hu, H.; He, X.; Su, Y.; Wang, Y.; Tan, H.; Pan, H. Effect of Steam Curing on Compressive Strength and Microstructure of High Volume Ultrafine Fly Ash Cement Mortar. Constr. Build. Mater. 2021, 266, 120894. [Google Scholar] [CrossRef]
- Muller, J. Characterization of Pore Space in Chalk by Multifractal Analysis. J. Hydrol. 1996, 187, 215–222. [Google Scholar] [CrossRef]
- Ji, X.; Han, F.; Pan, T.; Zhao, W.; Sha, J.; Liu, J. Decoupling the Physical and Chemical Effects of Silica Fume in Ultra-High Performance Concrete (UHPC). Constr. Build. Mater. 2024, 444, 137851. [Google Scholar] [CrossRef]
- Caniego, F.J.; Martí, M.A.; San José, F. Rényi Dimensions of Soil Pore Size Distribution. Geoderma 2003, 112, 205–216. [Google Scholar] [CrossRef]
- Wang, F.; Zai, Y. Fractal and Multifractal Characteristics of Shale Nanopores. Results Phys. 2021, 25, 104277. [Google Scholar] [CrossRef]
- Li, Y.; Li, Y. Experimental Study on Performance of Rubber Particle and Steel Fiber Composite Toughening Concrete. Constr. Build. Mater. 2017, 146, 267–275. [Google Scholar] [CrossRef]















| Type | Sand | Disposal Method |
|---|---|---|
| M-type | M1 | After production, undergoes multistage washing, dewatering, and moisture control, indoor storage, and sun drying prior to use. |
| M2 | After production, undergoes multistage washing, stockpiled in the open, used directly. | |
| M3 | After production, stored indoors without washing, used directly. | |
| SM-type | SM1 | After production, stored indoors without washing, used directly. |
| SM2 | After production, stored indoors without washing, used directly. |
| Type | M1 | M2 | M3 | SM1 | SM2 |
|---|---|---|---|---|---|
| Loose bulk density (kg/m3) | 1403.2 | 1436.6 | 1491.4 | 1470.1 | 1462.5 |
| Packed bulk density (kg/m3) | 1532.5 | 1580.705 | 1541.2 | 1658.5 | 1672.6 |
| Apparent density (kg/m3) | 2687.8 | 2696.9 | 2708.4 | 2724.1 | 2716.2 |
| Porosity (%) | 40.5 | 46.9 | 38.8 | 40.9 | 40.3 |
| Crushing value (%) | 14.3 | 16.5 | 15.9 | 14.9 | 15.2 |
| Stone powder (%) | 3.2 | 9.7 | 6.8 | 4.7 | 7.8 |
| Methylene blue value | 1.00 | 2.00 | 0.25 | 1.25 | 0.75 |
| Composition | OPC | SF | FA | M1 | M2 | M3 | SM1 | SM2 |
|---|---|---|---|---|---|---|---|---|
| F | - | - | - | - | 0.27 | - | - | - |
| CaO | 66.47 | 0.85 | 14.19 | 83.42 | 75.10 | 93.03 | 85.51 | 98.10 |
| SiO2 | 16.55 | 95.12 | 41.53 | 7.91 | 12.24 | 0.29 | 6.34 | 0.35 |
| Fe2O3 | 4.39 | 0.09 | 6.33 | 1.68 | 2.11 | 0.23 | 1.33 | 0.28 |
| Na2O | 0.20 | 0.17 | 2.3607 | 0.08 | 0.09 | 0.06 | 0.02 | - |
| MgO | 2.03 | 0.67 | 3.79 | 1.9 | 3.05 | 6.08 | 3.23 | 0.83 |
| Al2O3 | 4.34 | 0.31 | 18.88 | 3.56 | 5.49 | 0.22 | 2.52 | 0.17 |
| P2O5 | 16.55 | 0.20 | 1.06 | 0.02 | 0.02 | 0.01 | 0.01 | 0.02 |
| SO3 | 3.64 | 0.21 | 3.91 | 0.08 | 0.08 | 0.02 | 0.10 | 0.03 |
| Cl | 0.03 | 0.02 | 0.05 | 0.01 | 0.01 | - | 0.021 | 0.02 |
| K2O | 1.04 | 0.63 | 2.28 | 0.66 | 0.97 | 0.01 | 0.44 | 0.01 |
| TiO2 | 0.64 | - | 1.20 | 0.35 | 0.25 | - | 0.18 | - |
| LOI | 0.45 | 1.73 | 4.43 | 0.35 | 0.25 | 0.06 | 0.29 | 0.20 |
| Group | w/b | b/s | OPC | SF | FA | Sand | Water | SP | Fiber |
|---|---|---|---|---|---|---|---|---|---|
| M1 | 0.18 | 1.2 | 840 | 180 | 180 | 1000 | 216 | 24 | 195 |
| M2 | |||||||||
| M3 | |||||||||
| SM1 | |||||||||
| SM2 | |||||||||
| M1 | 0.17 | 1.2 | 840 | 180 | 180 | 1000 | 196 | 24 | 195 |
| M2 | |||||||||
| M3 | |||||||||
| SM1 | |||||||||
| SM2 |
| Group | D0 | D1 | H | D−5–D0 | D0–D5 | ΔD |
|---|---|---|---|---|---|---|
| 0.18 | ||||||
| M1 | 1 | 0.8371 | 0.8245 | 0.1807 | 0.5443 | 0.7250 |
| M2 | 1 | 0.7975 | 0.8024 | 0.2371 | 0.5675 | 0.8046 |
| M3 | 1 | 0.8353 | 0.8430 | 0.2046 | 0.4452 | 0.6498 |
| SM1 | 1 | 0.8906 | 0.8846 | 0.1691 | 0.4116 | 0.5807 |
| SM2 | 1 | 0.8607 | 0.8659 | 0.2179 | 0.3712 | 0.5891 |
| 0.17 | ||||||
| M1 | 1 | 0.8815 | 0.8779 | 0.1811 | 0.4291 | 0.6103 |
| M2 | 1 | 0.8474 | 0.8474 | 0.2162 | 0.4868 | 0.7030 |
| M3 | 1 | 0.8593 | 0.8681 | 0.1879 | 0.3845 | 0.5724 |
| SM1 | 1 | 0.9010 | 0.8876 | 0.1043 | 0.4305 | 0.5349 |
| SM2 | 1 | 0.8804 | 0.8862 | 0.1832 | 0.3440 | 0.5372 |
| Group | αmax | αmin | Δα | Δf(α) |
|---|---|---|---|---|
| 0.18 | ||||
| M1 | 1.2600 | 0.3660 | 0.8939 | −0.7773 |
| M2 | 1.3244 | 0.3506 | 0.9737 | −0.7774 |
| M3 | 1.2885 | 0.4947 | 0.7938 | −0.5309 |
| SM1 | 1.2413 | 0.4814 | 0.7198 | −0.7546 |
| SM2 | 1.2972 | 0.5797 | 0.7176 | −0.4386 |
| 0.17 | ||||
| M1 | 1.2643 | 0.4639 | 0.8005 | −0.7295 |
| M2 | 1.3188 | 0.4199 | 0.8989 | −0.6563 |
| M3 | 1.2609 | 0.5508 | 0.7101 | −0.5314 |
| SM1 | 1.1461 | 0.4587 | 0.6875 | −0.8797 |
| SM2 | 1.2520 | 0.5877 | 0.6883 | −0.5244 |
| VS. | Parameter | Value | Standard Error | t Value | Prob > |t| | R2 |
|---|---|---|---|---|---|---|
| P-C | a | 184.150 | 14.531 | 12.670 | 1.41529 × 10−6 | 0.39 |
| b | −4.930 | 2.203 | 0.056 | 0.05562 | ||
| P-F | a | 35.501 | 4.37849 | 8.108 | 3.96445 × 10−5 | 0.48 |
| b | −1.786 | 0.66378 | −2.690 | 0.0275 | ||
| M-C | a | 160.576 | 3.7048 | 43.343 | 8.85623 × 10−11 | 0.47 |
| b | −0.352 | 0.1313 | −2.681 | 0.02787 | ||
| M-F | a | 26.539 | 1.249 | 21.241 | 2.53681 × 10−8 | 0.44 |
| b | −0.110 | 0.044 | −2.489 | 0.03757 | ||
| ΔD-C | a | 201.258 | 7.210 | 27.910 | 3.65 × 10−9 | 0.86 |
| b | −77.212 | 11.332 | −6.810 | 0.000132 | ||
| ΔD-F | a | 38.780 | 3.16512 | 12.250 | 3.5 × 10−7 | 0.74 |
| b | −23.70 | 4.97439 | −4.760 | 0.0013 | ||
| Δα-C | a | 203.957 | 8.978 | 22.717 | 1.494 × 10−8 | 0.81 |
| b | −65.990 | 11.302 | −5.839 | 3.87775 × 10−4 | ||
| Δα-F | a | 39.240 | 3.867 | 10.147 | 7.60932 × 10−6 | 0.66 |
| b | −19.544 | 4.868 | −4.015 | 0.00387 |
| VS. | Functions | F Value | Prob > F |
|---|---|---|---|
| P-C | y = 184.15 − 4.93x | 5.00774 | 0.05562 |
| P-F | y = 35.50 − 1.79x | 7.23555 | 0.0275 |
| M-C | y = 160.58 − 0.35x | 7.18898 | 0.02787 |
| M-F | y = 26.54 − 0.11x | 6.19612 | 0.03757 |
| ΔD-C | y = 201.26 − 77.212x | 47.63779 | 1.24276 × 10−4 |
| ΔD-F | y = 38.78 − 23.70x | 22.69123 | 0.00142 |
| Δα-C | y = 203.96 − 65.99x | 34.08884 | 3.87775 × 10−4 |
| Δα-F | y = 39.24 − 19.54x | 16.11618 | 0.00387 |
Disclaimer/Publisher’s Note: The statements, opinions and data contained in all publications are solely those of the individual author(s) and contributor(s) and not of MDPI and/or the editor(s). MDPI and/or the editor(s) disclaim responsibility for any injury to people or property resulting from any ideas, methods, instructions or products referred to in the content. |
© 2025 by the authors. Licensee MDPI, Basel, Switzerland. This article is an open access article distributed under the terms and conditions of the Creative Commons Attribution (CC BY) license (https://creativecommons.org/licenses/by/4.0/).
Share and Cite
Wang, X.; Pan, T.; Yang, Y.; Qi, R.; Guan, D.; Dong, K.; Lin, R.-S.; Guo, R. Fractal Feature of Manufactured Sand Ultra-High-Performance Concrete (UHPC) Based on MIP. Fractal Fract. 2025, 9, 448. https://doi.org/10.3390/fractalfract9070448
Wang X, Pan T, Yang Y, Qi R, Guan D, Dong K, Lin R-S, Guo R. Fractal Feature of Manufactured Sand Ultra-High-Performance Concrete (UHPC) Based on MIP. Fractal and Fractional. 2025; 9(7):448. https://doi.org/10.3390/fractalfract9070448
Chicago/Turabian StyleWang, Xinlin, Tinghong Pan, Yang Yang, Rongqing Qi, Dian Guan, Kaihe Dong, Run-Sheng Lin, and Rongxin Guo. 2025. "Fractal Feature of Manufactured Sand Ultra-High-Performance Concrete (UHPC) Based on MIP" Fractal and Fractional 9, no. 7: 448. https://doi.org/10.3390/fractalfract9070448
APA StyleWang, X., Pan, T., Yang, Y., Qi, R., Guan, D., Dong, K., Lin, R.-S., & Guo, R. (2025). Fractal Feature of Manufactured Sand Ultra-High-Performance Concrete (UHPC) Based on MIP. Fractal and Fractional, 9(7), 448. https://doi.org/10.3390/fractalfract9070448

