Advanced Numerical Scheme for Solving Nonlinear Fractional Kuramoto–Sivashinsky Equations Using Caputo Operators
Abstract
1. Introduction
2. Fundamental Aspects of FC and Sumudu Transform
- 1.
- , ;
- 2.
- ;
- 3.
- ;
- 4.
- .
3. Development of SHTM
4. Uniqueness and Convergence Analysis of the Fractional K-S Problem
4.1. Uniqueness of the Fractional K-S Problem
4.2. Convergence Analysis of the Fractional K-S Problem
5. Numerical Problems
5.1. Problem 1
5.2. Problem 2
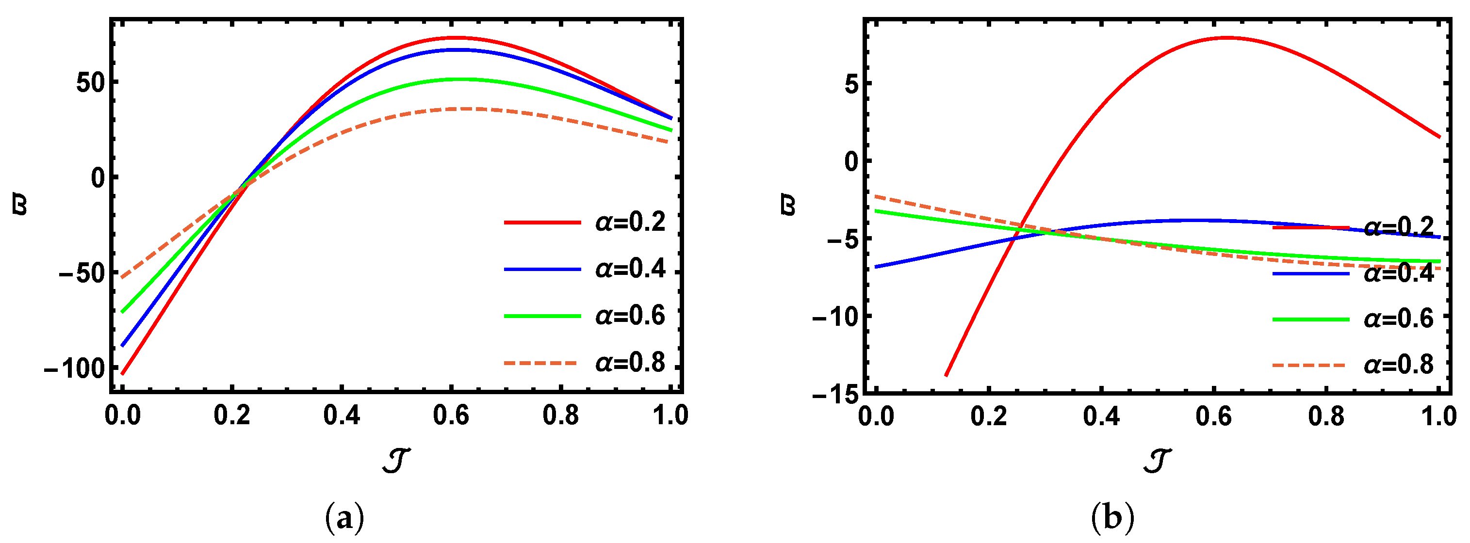
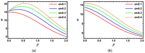
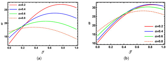
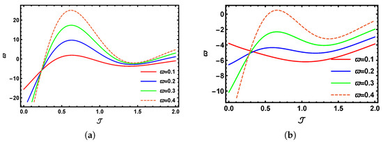
6. Numerical Findings and Analysis
7. Concluding Remarks
Author Contributions
Funding
Data Availability Statement
Conflicts of Interest
References
- Miller, K.S.; Ross, B. An Introduction to the Fractional Calculus and Fractional Differential Equations; Wiley: New York, NY, USA, 1993. [Google Scholar]
- Podlubny, I. Fractional Differential Equations; Academic Press: New York, NY, USA, 1999. [Google Scholar]
- Diethelm, K.; Ford, N.J. Analysis of fractional differential equations. J. Math. Anal. Appl. 2002, 265, 229–248. [Google Scholar] [CrossRef]
- Mainardi, F. Fractional calculus in wave propagation problems. Forum Berl. Math. Ges. 2012, 19, 20–52. [Google Scholar]
- Gomez-Aguilar, J.; Atangana, A. Applications of Fractional Calculus to Modeling in Dynamics and Chaos; CRC Press: Boca Raton, FL, USA, 2022. [Google Scholar]
- Ameen, I.G.; Baleanu, D.; Hussien, H.S. Efficient method for solving nonlinear weakly singular kernel fractional integro-differential equations. AIMS Math. 2024, 9, 15819–15836. [Google Scholar] [CrossRef]
- Ghader, G.; Reza, P.; Yavar, K.Y. Three-Dimensional and Multiple Image Encryption Algorithm Using a Fractional-Order Chaotic System. Computation 2025, 13, 115. [Google Scholar]
- Valério, D.; Machado, J.; Kiryakova, V. Some pioneers of the applications of fractional calculus. Fract. Calc. Appl. Anal. 2014, 17, 552–578. [Google Scholar] [CrossRef]
- Sun, H.; Zhang, Y.; Baleanu, D.; Chen, W.; Chen, Y. A new collection of real world applications of fractional calculus in science and engineering. Commun. Nonlinear Sci. Numer. Simul. 2018, 64, 213–231. [Google Scholar] [CrossRef]
- Magin, R.L. Fractional calculus models of complex dynamics in biological tissues. Comput. Math. Appl. 2010, 59, 1586–1593. [Google Scholar] [CrossRef]
- Kumar, S.; Yildirim, A.; Khan, Y.; Wei, L. A fractional model of the diffusion equation and its analytical solution using Laplace transform. Sci. Iran. 2012, 19, 1117–1123. [Google Scholar] [CrossRef]
- Huang, L.; Li, X.F.; Zhao, Y.; Duan, X.Y. Approximate solution of fractional integro-differential equations by Taylor expansion method. Comput. Math. Appl. 2011, 62, 1127–1134. [Google Scholar] [CrossRef]
- Nawaz, R.; Zada, L.; Ullah, F.; Ahmad, H.; Ayaz, M.; Ahmad, I.; Nofal, T.A. An extension of optimal auxiliary function method to fractional order high dimensional equations. Alex. Eng. J. 2021, 60, 4809–4818. [Google Scholar] [CrossRef]
- Ali, A.; Senu, N.; Wahi, N.; Almakayeel, N.; Ahmadian, A. An adaptive algorithm for numerically solving fractional partial differential equations using hermite wavelet artificial neural networks. Commun. Nonlinear Sci. Numer. Simul. 2024, 137, 108121. [Google Scholar] [CrossRef]
- Sartanpara, P.P.; Meher, R.; Meher, S. The generalized time-fractional Fornberg–Whitham equation: An analytic approach. Partial. Differ. Equ. Appl. Math. 2022, 5, 100350. [Google Scholar] [CrossRef]
- Sontakke, B.R.; Shelke, A.S.; Shaikh, A.S. Solution of non-linear fractional differential equations by variational iteration method and applications. Far East J. Math. Sci. 2019, 110, 113–129. [Google Scholar] [CrossRef]
- ur Rahman, M.; Arfan, M.; Shah, Z.; Alzahrani, E. Evolution of fractional mathematical model for drinking under Atangana-Baleanu Caputo derivatives. Phys. Scr. 2021, 96, 115203. [Google Scholar] [CrossRef]
- Luo, X.; Nadeem, M.; Asjad, M.I.; Abdo, M.S. A Computational Approach for the Calculation of Temperature Distribution in Casting-Mould Heterogeneous System with Fractional Order. Comput. Math. Methods Med. 2022, 2022, 3648277. [Google Scholar] [CrossRef]
- Nadeem, M.; Li, Z. A new strategy for the approximate solution of fourth-order parabolic partial differential equations with fractional derivative. Int. J. Numer. Methods Heat Fluid Flow 2022, 33, 1062–1075. [Google Scholar] [CrossRef]
- Liu, F.; Liu, J.; Nadeem, M. A numerical strategy for the approximate solution of the nonlinear time-fractional foam drainage equation. Fractal Fract. 2022, 6, 452. [Google Scholar] [CrossRef]
- Porshokouhi, M.G.; Ghanbari, B. Application of He’s variational iteration method for solution of the family of Kuramoto–Sivashinsky equations. J. King Saud Univ.-Sci. 2011, 23, 407–411. [Google Scholar] [CrossRef]
- Kilicman, A.; Silambarasan, R. Modified Kudryashov method to solve generalized Kuramoto-Sivashinsky equation. Symmetry 2018, 10, 527. [Google Scholar] [CrossRef]
- Grimshaw, R.; Hooper, A. The non-existence of a certain class of travelling wave solutions of the Kuramoto-Sivashinsky equation. Phys. D Nonlinear Phenom. 1991, 50, 231–238. [Google Scholar] [CrossRef]
- Liu, X. Gevrey class regularity and approximate inertial manifolds for the Kuramoto-Sivashinsky equation. Phys. D Nonlinear Phenom. 1991, 50, 135–151. [Google Scholar] [CrossRef]
- Veeresha, P.; Prakasha, D. Solution for fractional Kuramoto–Sivashinsky equation using novel computational technique. Int. J. Appl. Comput. Math. 2021, 7, 33. [Google Scholar] [CrossRef]
- Sahoo, S.; Ray, S.S. New approach to find exact solutions of time-fractional Kuramoto–Sivashinsky equation. Phys. A Stat. Mech. Its Appl. 2015, 434, 240–245. [Google Scholar] [CrossRef]
- Kumar, A. Dynamic behaviour and semi-analytical solution of nonlinear fractional-order Kuramoto–Sivashinsky equation. Pramana 2024, 98, 48. [Google Scholar] [CrossRef]
- Wang, J.; Jiang, X.; Yang, X.; Zhang, H. A new robust compact difference scheme on graded meshes for the time-fractional nonlinear Kuramoto–Sivashinsky equation. Comput. Appl. Math. 2024, 43, 381. [Google Scholar] [CrossRef]
- Shah, R.; Khan, H.; Baleanu, D.; Kumam, P.; Arif, M. A semi-analytical method to solve family of Kuramoto–Sivashinsky equations. J. Taibah Univ. Sci. 2020, 14, 402–411. [Google Scholar] [CrossRef]
- Kurulay, M.; Secer, A.; Akinlar, M.A. A new approximate analytical solution of Kuramoto-Sivashinsky equation using homotopy analysis method. Appl. Math. Inf. Sci. 2013, 7, 267–271. [Google Scholar] [CrossRef]
- Saad Alshehry, A.; Imran, M.; Khan, A.; Shah, R.; Weera, W. Fractional view analysis of Kuramoto–Sivashinsky equations with non-singular kernel operators. Symmetry 2022, 14, 1463. [Google Scholar] [CrossRef]
- Lakestani, M.; Dehghan, M. Numerical solutions of the generalized Kuramoto–Sivashinsky equation using B-spline functions. Appl. Math. Model. 2012, 36, 605–617. [Google Scholar] [CrossRef]
- Elbeleze, A.A.; Kılıçman, A.; Taib, B.M. Homotopy Perturbation Method for Fractional Black-Scholes European Option Pricing Equations Using Sumudu Transform. Math. Probl. Eng. 2013, 2013, 524852. [Google Scholar] [CrossRef]
- Hamed, S.H.; Yousif, E.A.; Arbab, A.I. Analytic and Approximate Solutions of the Space-Time Fractional Schrödinger Equations by Homotopy Perturbation Sumudu Transform Method. Abstr. Appl. Anal. 2014, 2014, 863015. [Google Scholar] [CrossRef][Green Version]
- Alomari, A. Homotopy-Sumudu transforms for solving system of fractional partial differential equations. Adv. Differ. Equ. 2020, 2020, 222. [Google Scholar] [CrossRef]
- Sarikaya, M.Z.; Ogunmez, H. On New Inequalities via Riemann-Liouville Fractional Integration. Abstr. Appl. Anal. 2012, 2012, 428983. [Google Scholar] [CrossRef]
- Jarad, F.; Abdeljawad, T. A modified Laplace transform for certain generalized fractional operators. Results Nonlinear Anal. 2018, 1, 88–98. [Google Scholar]
- Katatbeh, Q.D.; Belgacem, F.B.M. Applications of the Sumudu transform to fractional differential equations. Nonlinear Stud. 2011, 18, 99–112. [Google Scholar]








Disclaimer/Publisher’s Note: The statements, opinions and data contained in all publications are solely those of the individual author(s) and contributor(s) and not of MDPI and/or the editor(s). MDPI and/or the editor(s) disclaim responsibility for any injury to people or property resulting from any ideas, methods, instructions or products referred to in the content. |
© 2025 by the authors. Licensee MDPI, Basel, Switzerland. This article is an open access article distributed under the terms and conditions of the Creative Commons Attribution (CC BY) license (https://creativecommons.org/licenses/by/4.0/).
Share and Cite
Nadeem, M.; Iambor, L.F. Advanced Numerical Scheme for Solving Nonlinear Fractional Kuramoto–Sivashinsky Equations Using Caputo Operators. Fractal Fract. 2025, 9, 418. https://doi.org/10.3390/fractalfract9070418
Nadeem M, Iambor LF. Advanced Numerical Scheme for Solving Nonlinear Fractional Kuramoto–Sivashinsky Equations Using Caputo Operators. Fractal and Fractional. 2025; 9(7):418. https://doi.org/10.3390/fractalfract9070418
Chicago/Turabian StyleNadeem, Muhammad, and Loredana Florentina Iambor. 2025. "Advanced Numerical Scheme for Solving Nonlinear Fractional Kuramoto–Sivashinsky Equations Using Caputo Operators" Fractal and Fractional 9, no. 7: 418. https://doi.org/10.3390/fractalfract9070418
APA StyleNadeem, M., & Iambor, L. F. (2025). Advanced Numerical Scheme for Solving Nonlinear Fractional Kuramoto–Sivashinsky Equations Using Caputo Operators. Fractal and Fractional, 9(7), 418. https://doi.org/10.3390/fractalfract9070418

