Approximation of Fractional Caputo Derivative of Variable Order and Variable Terminals with Application to Initial/Boundary Value Problems
Abstract
1. Introduction
2. Fractional Calculus
2.1. Riemann-Liouville Fractional Integral
2.2. Caputo Fractional Derivative
3. Taylor Series-Based Approximation
3.1. Riemann–Liouville Integral
3.2. Caputo Fractional Derivative
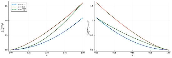
4. Application Examples for Fractional Derivatives
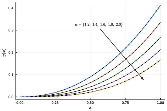
- The Taylor series-based approximation of the fractional derivative (or integral) becomes more accurate as m increases.
- When the x-coordinate is close to the fractional derivative interval limit ( in the example presented), a faster convergence is observed compared to the x-coordinate far from this point. Therefore, for the x-coordinate close to the point a (or b for a right-hand fractional operator), a low-order Taylor expansion can provide sufficient accuracy. On the other hand, for x far from point a (or b), higher-order terms become more significant and a higher-order Taylor series is required to maintain sufficient accuracy.
- Faster convergence is observed for a fractional derivative order α closer to the value n ( compared to in the example presented).
- Obviously, with an integer-order derivative (or integral) (and in this example), provides an exact solution, and there is no need for , since the higher-order terms will be equal to 0 and will not affect the obtained solution.
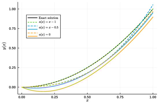
5. Fractional Boundary/Initial-Value Problems
6. Conclusions
- the number of terms m included in the expansion—approximation becomes more accurate as m increases;
- the proximity of the x coordinate to the limit of the fractional derivative interval (points a or b)—for x close to points a or b, a low-order Taylor expansion m can provide sufficient accuracy, and for x far from points a or b, a higher-order Taylor series m is required to maintain sufficient accuracy;
- order of fractional derivative—faster convergence is observed for closer to value n. Additionally, with the derivative of integer order (or integral), provides an exact solution, and there is no need for , since the higher-order terms will be equal to 0 and will not affect the obtained solution.
- The examples presented demonstrate very good agreement with the exact/reference solutions. The advantage of the proposed method is its simplicity and ease of implementation. It is particularly useful when the exact solution of the fractional derivative/integral is impossible to obtain.
Author Contributions
Funding
Data Availability Statement
Conflicts of Interest
Appendix A
- for ,
- for ,
- for ,
- for ,
- for ,
References
- Patnaik, S.; Hollkamp, J.; Semperlotti, F. Applications of variable-order fractional operators: A review. Proc. R. Soc. Math. Eng. Sci. 2020, 476, 20190498. [Google Scholar] [CrossRef] [PubMed]
- Chandel, V.; Wang, G.; Talha, M. Advances in modelling and analysis of nano structures: A review. Nanotechnol. Rev. 2020, 9, 230–258. [Google Scholar] [CrossRef]
- Shaat, M.; Ghavanloo, E.; Fazelzadeh, S. Review on nonlocal continuum mechanics: Physics, material applicability, and mathematics. Mech. Mater. 2020, 150, 103587. [Google Scholar] [CrossRef]
- Failla, G.; Zingales, M. Advanced materials modelling via fractional calculus: Challenges and perspectives. Philos. Trans. R. Soc. A Math. Phys. Eng. Sci. 2020, 378, 20200050. [Google Scholar] [CrossRef]
- Qu, P.; Sun, Y.; Sumelka, W. Review on stress-fractional plasticity models. Materials 2022, 15, 7802. [Google Scholar] [CrossRef]
- Barbero, G.; Evangelista, L.R.; Zola, R.S.; Lenzi, E.K.; Scarfone, A.M. A brief review of fractional calculus as a tool for applications in physics: Adsorption phenomena and electrical impedance in complex fluids. Fractal Fract. 2024, 8, 369. [Google Scholar] [CrossRef]
- Liouville, J. Memoire sur le calcul des differentielles a indices quelconques. J. l’Éc. Polytech. 1832, 13, 71–162. [Google Scholar]
- Riemann, B. Versuch Einer Allgemeinen Auffassung der Integration und Differentiation; Gesammelte Werke; Teubner: Leipzig, Germany, 1892; (published posthumously). [Google Scholar]
- Grunwald, A. Uber ”begrenzte” derivationen und deren anwendung. Z. Math. Phys. 1867, 12, 441–480. [Google Scholar]
- Letnikov, A. Theory of differentiation with an arbitrary index. Mat. Sb. 1868, 3, 1–66. [Google Scholar]
- Caputo, M.; Fabrizio, M. A new definition of fractional derivative without singular kernel. Prog. Fract. Differ. Appl. 2015, 1, 73–85. [Google Scholar]
- Lazopoulos, K.; Lazopoulos, A. On fractional bending of beams with λ-fractional derivative. Arch. Appl. Mech. 2019, 90, 573–584. [Google Scholar] [CrossRef]
- Mohammadjani, R.; Shariyat, M. Nonlinear thermomechanical vibration mitigation analysis in rotating fractional-order viscoelastic bidirectional fg annular disks under nonuniform shocks. J. Therm. Stress. 2020, 43, 829–873. [Google Scholar] [CrossRef]
- Zhang, X.-M. The non-uniqueness of solution for initial value problem of impulsive differential equations involving higher order katugampola fractional derivative. Adv. Differ. Equ. 2020, 2020, 85. [Google Scholar] [CrossRef]
- Podlubny, I. Fractional Differential Equations: An Introduction to Fractional Derivatives, Fractional Differential Equations, to Methods of Their Solution and Some of Their Applications; Academic Press: San Diego, CA, USA, 1999. [Google Scholar]
- Kilbas, A.; Srivastava, H.; Trujillo, J. Theory and Applications of Fractional Differential Equations; Elsevier: Amsterdam, The Netherlands, 2006. [Google Scholar]
- Jin, B. Fractional Differential Equations; Springer eBook Collection; Springer: Cham, The Netherlands, 2021. [Google Scholar]
- Balanchandran, K. An Introduction to Fractional Differential Equations; Industrial and Applied Mathematics; Springer: Singapore, 2023. [Google Scholar]
- Ghoreishi, F.; Ghaffari, R.; Saad, N. Fractional order runge–kutta methods. Fractal Fract. 2023, 7, 245. [Google Scholar] [CrossRef]
- Songsanga, D.; Ngiamsunthorn, P.S. Single-step and multi-step methods for caputo fractional-order differential equations with arbitrary kernels. AIMS Math. 2022, 7, 15002–15028. [Google Scholar] [CrossRef]
- Wu, L.; Zhai, S. A new high order adi numerical difference formula for time-fractional convection-diffusion equation. Appl. Math. Comput. 2020, 387, 124564. [Google Scholar] [CrossRef]
- Jahanshahi, S.; Babolian, E.; Torres, D.; Vahidi, A. A fractional gauss–jacobi quadrature rule for approximating fractional integrals and derivatives. Chaos Solitons Fractals 2017, 102, 295–304. [Google Scholar] [CrossRef]
- Kadkhoda, N. A numerical approach for solving variable order differential equations using bernstein polynomials. Alex. Eng. J. 2020, 59, 3041–3047. [Google Scholar] [CrossRef]
- Kaiser, T.; Remmers, J.J.C.; Geers, M.G.D. An adaptive wavelet-based collocation method for solving multiscale problems in continuum mechanics. Comput. Mech. 2022, 70, 1335–1357. [Google Scholar] [CrossRef]
- Odibat, Z. Approximations of fractional integrals and Caputo fractional derivatives. Appl. Math. Comput. 2006, 178, 527–533. [Google Scholar] [CrossRef]
- Ying, Y.; Lian, Y.; Tang, S.; Liu, W.K. High-order central difference scheme for caputo fractional derivative. Comput. Methods Appl. Mech. Eng. 2017, 317, 42–54. [Google Scholar] [CrossRef]
- Blaszczyk, T.; Siedlecki, J.; Ciesielski, M. Numerical algorithms for approximation of fractional integral operators based on quadratic interpolation. Math. Methods Appl. Sci. 2018, 41, 3345–3355. [Google Scholar] [CrossRef]
- Hu, Y.; Luo, Y.; Lu, Z. Analytical solution of the linear fractional differential equation by adomian decomposition method. J. Comput. Appl. Math. 2008, 215, 220–229. [Google Scholar] [CrossRef]
- Roop, J.P. Computational aspects of fem approximation of fractional advection dispersion equations on bounded domains in r2. J. Comput. Appl. Math. 2006, 193, 243–268. [Google Scholar] [CrossRef]
- Pang, G.; Chen, W.; Fu, Z. Space-fractional advection–dispersion equations by the kansa method. J. Comput. Phys. 2015, 293, 280–296. [Google Scholar] [CrossRef]
- Oskouie, M.F.; Ansari, R.; Rouhi, H. Vibration analysis of fg nanobeams on the basis of fractional nonlocal model: A variational approach. Microsyst. Technol. 2018, 24, 2775–2782. [Google Scholar] [CrossRef]
- Asanov, A.; Almeida, R.; Malinowska, A. Fractional differential equations and volterra–stieltjes integral equations of the second kind. Comput. Appl. Math. 2019, 38, 160. [Google Scholar] [CrossRef]
- Almeida, R.; Jleli, M.; Samet, B. A numerical study of fractional relaxation–oscillation equations involving ψ-caputo fractional derivative. Rev. Real Acad. Cienc. Exactas Fisicas Nat. Ser. Mat. 2018, 113, 1873–1891. [Google Scholar] [CrossRef]
- Eltayeb, H.; Mesloub, S. A note on conformable double laplace transform and singular conformable pseudoparabolic equations. J. Funct. Spaces 2020, 2020, 8106494. [Google Scholar] [CrossRef]
- Sabir, A.; ur Rehman, M. A numerical method based on quadrature rules for ψ-fractional differential equations. J. Comput. Appl. Math. 2023, 419, 114684. [Google Scholar] [CrossRef]
- ur Rehman, M.; Idrees, A.; Saeed, U. A quadrature method for numerical solutions of fractional differential equations. Appl. Math. Comput. 2017, 307, 38–49. [Google Scholar] [CrossRef]
- Rahimi, Z.; Sumelka, W.; Yang, X.-J. Linear and non-linear free vibration of nano beams based on a new fractional non-local theory. Eng. Comput. 2017, 34, 1754–1770. [Google Scholar] [CrossRef]
- Stempin, P.; Sumelka, W. Formulation and experimental validation of space-fractional timoshenko beam model with functionally graded materials effects. Comput. Mech. 2021, 68, 697–708. [Google Scholar] [CrossRef]
- Khan, A.A.; Amin, R.; Ullah, S.; Sumelka, W.; Altanji, M. Numerical simulation of a caputo fractional epidemic model for the novel coronavirus with the impact of environmental transmission. Alex. Eng. J. 2022, 61, 5083–5095. [Google Scholar] [CrossRef]
- Wu, Z.; Cai, Y.; Wang, Z.; Wang, W. Global stability of a fractional order sis epidemic model. J. Differ. Equ. 2023, 352, 221–248. [Google Scholar] [CrossRef]
- Sumelka, W.; Blaszczyk, T. Fractional continua for linear elasticity. Arch. Mech. 2014, 66, 147–172. [Google Scholar]
- Sun, H.; Chen, W.; Chen, Y. Variable-order fractional differential operators in anomalous diffusion modeling. Phys. A Stat. Mech. Its Appl. 2009, 388, 4586–4592. [Google Scholar] [CrossRef]
- Samko, S.; Kilbas, A.; Marichev, O. Fractional Integrals and Derivatives: Theory and Applications; Gordon and Breach: Amsterdam, The Netherlands, 1993. [Google Scholar]
- Adel, M.; Khader, M.M.; Algelany, S.; Aldwoah, K. An accurate approach to simulate the fractional delay differential equations. Fractal Fract. 2023, 7, 671. [Google Scholar] [CrossRef]
- Sumelka, W. Thermoelasticity in the framework of the fractional continuum mechanics. J. Therm. Stress. 2014, 37, 678–706. [Google Scholar] [CrossRef]
- Taylor, B. Methodus Incrementorum Directa & Inversa; Typis Pearsonianis: London, UK, 1715. [Google Scholar]
- Simmons, G. Calculus with Analytic Geometry; McGraw-Hill Education: New York, NY, USA, 1995. [Google Scholar]
- ur Rehman, M.; Khan, R.A. Numerical solutions to initial and boundary value problems for linear fractional partial differential equations. Appl. Math. Model. 2013, 37, 5233–5244. [Google Scholar] [CrossRef]
- Tavares, D.; Almeida, R.; Torres, D.F. Caputo derivatives of fractional variable order: Numerical approximations. Commun. Nonlinear Sci. Numer. Simul. 2016, 35, 69–87. [Google Scholar] [CrossRef]
- Čebyšev, P.L. Théorie des Mécanismes Connus Sous le Nom de Parallélogrammes; Imprimerie de l’Académie Impériale des Sciences: St. Petersbourg, Russia, 1853. [Google Scholar]
- Čebyšev, P.L. Sur les Questions de Minima qui se Rattachent a la Représentation Approximative des Fonctions; Imprimerie de l’Académie Impériale des Sciences: St. Petersbourg, Russia, 1859. [Google Scholar]
- Runge, C. Über Empirische Funktionen und die Interpolation Zwischen äquidistanten Ordinaten, Zeitschrift für Mathematik und Physik; B.G. Teubner: Leipzig, Germany, 1901; Volume 46, pp. 224–243. [Google Scholar]
- Epperson, J.F. On the runge example. Am. Math. Mon. 1987, 94, 329–341. [Google Scholar] [CrossRef]
- ur Rehman, M.; Khan, R.A. A numerical method for solving boundary value problems for fractional differential equations. Appl. Math. Model. 2012, 36, 894–907. [Google Scholar] [CrossRef]









| m | ||||||
|---|---|---|---|---|---|---|
| 1 | 7.24 × 10−2 | 2.67 × 10−1 | 4.01 × 10−1 | −6.28 × 10−1 | 7.52 × 10−1 | 4.44 |
| 5 | 6.19 × 10−5 | 3.50 × 10−3 | 5.18 × 10−2 | −2.67 | 2.06 × 101 | 6.79 × 101 |
| 11 | −2.16 × 10−11 | −7.56 × 10−8 | −4.14 × 10−5 | 1.71 × 10−1 | −1.97 × 101 | 5.69 × 101 |
| 15 | −3.33 × 10−16 | −1.04 × 10−11 | −7.07 × 10−8 | 4.90 × 10−3 | −3.07 | 8.14 |
| 21 | −1.11 × 10−16 | −5.00 × 10−16 | 9.35 × 10−13 | −4.29 × 10−6 | 3.23 × 10−2 | 7.64 × 10−2 |
| 25 | −1.11 × 10−16 | −5.00 × 10−16 | 4.44 × 10−16 | −1.61 × 10−8 | 6.23 × 10−4 | 1.38 × 10−3 |
| 31 | −1.11 × 10−16 | −5.00 × 10−16 | 2.22 × 10−16 | 1.25 × 10−12 | −5.63 × 10−7 | 1.15 × 10−6 |
| 35 | −1.11 × 10−16 | −5.00 × 10−16 | 2.22 × 10−16 | 2.11 × 10−15 | −2.83 × 10−9 | 5.53 × 10−9 |
| 41 | −1.11 × 10−16 | −5.00 × 10−16 | 2.22 × 10−16 | 3.33 × 10−16 | 3.86 × 10−13 | 7.53 × 10−13 |
| m | ||||||
|---|---|---|---|---|---|---|
| 1 | 1.55 × 10−1 | 8.82 × 10−1 | 2.34 | −4.38 | 6.14 | 2.82 × 101 |
| 5 | 1.89 × 10−4 | 1.62 × 10−2 | 3.69 × 10−1 | −2.86 × 101 | 2.78 × 102 | 8.77 × 102 |
| 11 | −6.98 × 10−11 | −3.71 × 10−7 | −3.09 × 10−4 | 1.93 | −2.84 × 102 | 7.95 × 102 |
| 15 | −5.55 × 10−16 | −5.18 × 10−11 | −5.34 × 10−7 | 5.61 × 10−2 | −4.49 × 101 | 1.16 × 102 |
| 21 | −1.11 × 10−16 | −1.33 × 10−15 | 7.13 × 10−12 | −4.96 × 10−5 | 4.76 × 10−1 | 1.10 |
| 25 | −1.11 × 10−16 | −1.33 × 10−15 | 1.94 × 10−15 | −1.87 × 10−7 | 9.23 × 10−3 | 2.02 × 10−2 |
| 31 | −1.11 × 10−16 | −1.33 × 10−15 | 1.67 × 10−16 | 1.46 × 10−11 | −8.37 × 10−6 | 1.69 × 10−5 |
| 35 | −1.11 × 10−16 | −1.33 × 10−15 | 1.67 × 10−16 | −2.21 × 10−14 | −4.22 × 10−8 | 8.15 × 10−8 |
| 41 | −1.11 × 10−16 | −1.33 × 10−15 | 1.67 × 10−16 | −3.63 × 10−14 | 8.20 × 10−12 | 1.50 × 10−11 |
| m | ||||
|---|---|---|---|---|
| 3 | −2.92 × 10−6 | −1.08 × 10−2 | −1.57 × 10−2 | 9.67 × 10−2 |
| 5 | −1.22 × 10−4 | −6.21 × 10−5 | −3.98 × 10−5 | 7.14 × 10−4 |
| 7 | −1.14 × 10−5 | −1.50 × 10−5 | −5.91 × 10−6 | 1.06 × 10−4 |
| 9 | −3.35 × 10−6 | −3.22 × 10−6 | −2.79 × 10−6 | 2.94 × 10−5 |
| 11 | −1.62 × 10−6 | −1.51 × 10−6 | −8.13 × 10−7 | 1.10 × 10−5 |
| 15 | −3.17 × 10−7 | −3.37 × 10−7 | −2.12 × 10−7 | 2.53 × 10−6 |
| 21 | −7.95 × 10−6 | −1.45 × 10−5 | −1.90 × 10−5 | 1.38 × 10−4 |
| 25 | 4.93 × 10−3 | 8.91 × 10−3 | 1.15 × 10−2 | 8.61 × 10−2 |
| 31 | −8.77 × 10−3 | 1.95 × 10−2 | 4.81 × 10−2 | 6.69 × 10−1 |
| m | ||||
|---|---|---|---|---|
| 3 | −1.09 × 10−2 | −1.96 × 10−2 | −1.76 × 10−2 | 1.43 × 10−1 |
| 5 | −6.33 × 10−4 | −2.95 × 10−4 | −5.48 × 10−4 | 4.70 × 10−3 |
| 7 | −6.33 × 10−5 | −1.10 × 10−4 | −4.31 × 10−5 | 8.09 × 10−4 |
| 9 | −2.62 × 10−5 | −1.77 × 10−5 | −2.48 × 10−5 | 2.40 × 10−4 |
| 11 | −1.34 × 10−5 | −1.22 × 10−5 | −9.22 × 10−6 | 9.43 × 10−5 |
| 15 | −2.82 × 10−6 | −2.89 × 10−6 | −2.09 × 10−6 | 2.32 × 10−5 |
| 21 | −4.59 × 10−4 | −7.58 × 10−4 | −9.30 × 10−4 | 6.99 × 10−3 |
| 25 | 2.60 × 10−1 | 4.32 × 10−1 | 5.31 × 10−1 | 3.96 |
| 31 | −1.49 × 10−3 | 2.66 × 10−2 | 8.76 × 10−2 | 1.57 |
Disclaimer/Publisher’s Note: The statements, opinions and data contained in all publications are solely those of the individual author(s) and contributor(s) and not of MDPI and/or the editor(s). MDPI and/or the editor(s) disclaim responsibility for any injury to people or property resulting from any ideas, methods, instructions or products referred to in the content. |
© 2025 by the authors. Licensee MDPI, Basel, Switzerland. This article is an open access article distributed under the terms and conditions of the Creative Commons Attribution (CC BY) license (https://creativecommons.org/licenses/by/4.0/).
Share and Cite
Stempin, P.; Sumelka, W. Approximation of Fractional Caputo Derivative of Variable Order and Variable Terminals with Application to Initial/Boundary Value Problems. Fractal Fract. 2025, 9, 269. https://doi.org/10.3390/fractalfract9050269
Stempin P, Sumelka W. Approximation of Fractional Caputo Derivative of Variable Order and Variable Terminals with Application to Initial/Boundary Value Problems. Fractal and Fractional. 2025; 9(5):269. https://doi.org/10.3390/fractalfract9050269
Chicago/Turabian StyleStempin, Paulina, and Wojciech Sumelka. 2025. "Approximation of Fractional Caputo Derivative of Variable Order and Variable Terminals with Application to Initial/Boundary Value Problems" Fractal and Fractional 9, no. 5: 269. https://doi.org/10.3390/fractalfract9050269
APA StyleStempin, P., & Sumelka, W. (2025). Approximation of Fractional Caputo Derivative of Variable Order and Variable Terminals with Application to Initial/Boundary Value Problems. Fractal and Fractional, 9(5), 269. https://doi.org/10.3390/fractalfract9050269

