Abstract
This paper introduces a convolution model with non-singular rational kernels in which coefficients are considered complex. An interlacing property of the poles and zeros in these rational kernels permits the accurate approximation of the power law function in a predefined time range, where can be complex or real. This class of model can be used to model fractional (dynamical) behaviours in order to avoid fractional calculus-based models which are now associated with several limitations. This is an extension of a previous study by the author. In the real case, this allows a better approximation, close to the limits of the approximation interval, compared to the author’s previous work. In the complex case, this extends the scope of application of the convolution models proposed by the author.
1. Introduction
The last decades have demonstrated the omnipresence of phenomena having a power law or kinetics, also called fractional kinetics. These phenomena are very often stochastic in nature and can generate the construction of fractal geometries. The orders of these kinetics depend on the geometry dimension on which they operate. When operating within a dynamic system, they give the system a fractional behaviour from an input-output point of view [1].
In the literature, these fractional dynamic behaviours are commonly captured by models of the same name, models defined using fractional order derivatives and integral operators, operators and models analyzed in the now-classic books of Samko et al. [2], Podlubny [3], Miller and Ross [4], Monje et al. [5], Baleanu et al. [6], and Petras [7]. However, in recent years, these operators and models have shown several limitations and led to physical inconsistencies. For instance, ref. [8] shows that physical interpretations can invalidate the obtained model in the case of incommensurate orders, ref. [9] demonstrates that fractional state space descriptions used in the literature are not strictly state space descriptions and questions the definition of “fractional state”, ref. [10] highlights that models of groundwater flow and those of the impurity spread which use Caputo or Riemann-Liouville fractional-partial-derivative definitions are non-objective, ref. [11] reveals units matter in fractional order models of thermo-solutal and magnetic nanoparticle transport for drug delivery applications, and ref. [12] discloses the sub-optimality and stability issues of recursive pole and zero-distribution algorithms for the approximation of fractional order models. A more in-depth analysis of the literature would lead to an extension of this list and this situation can lead to erroneous conclusions, particularly when initial conditions are taken into account as this is the case in the three following papers of Stynes [13], Hanyga [14] and Diethelm et al. [15]. One demonstration (among others) of these erroneous analyses is given in ref. [16]. They are the consequence of the use of fractional differentiation definitions which mask the doubly infinite nature of fractional models, revealed in ref. [17] and ref. [18] and taken into account in ref. [19] for fractional model initialization.
The definition of fractional differentiation and integration operators by means of singular kernel integrals is one of the causes of these limitations. This is why other, entirely different modelling tools have been introduced in ref. [1] (non-linear models, distributed-parameters models, time-delay models, time-varying models, and convolution-type models) and in ref. [20] (peridynamic models). Some authors have simply sought new definitions using other types of kernels, that is, new operators that retain fractional behaviour without being strictly fractional differentiation or integration operators. In this line of research, there are many results both on theoretical and practical points. It is not possible within this paper to give an exhaustive list, but it is necessary to cite the following works.
The idea of modifying the definition of fractional operators and using non-singular kernels was first put forward by Caputo and Fabrizio in ref. [21]. Their study was the starting point for significant developments.
Some authors have shown the interest of this work through developments concerning numerical methods [22], diffusion models [23], definition modifications [24], a multi-step homotopy analysis method [25], numerical method developments [26], and/or applications [24,27]. Other authors have proposed new definitions [28] (Atangana-Baleanu), [29] (tempered), [30] (Caputo–Fabrizio extensions), [31] (proper fractional integral operators of the Atangana-Baleanu and Caputo-Fabrizio fractional derivatives), [32] (non-singular Mittag–Leffler kernel) and/or analyzed their properties [33]. The papers cited here are only a very small part of those on the topic. It would not be possible to cite them all, but the previous ones could be useful to the interested reader to begin an in-depth analysis.
This paper is part of this development. It is the sequel to two papers that proposed to define convolution-type operators having fractional behaviours, ref. [34] for general description and ref. [35] for dedicated algorithms. In these papers, the non-singular kernel is a rational function approximating the power-law function . Such an approximation is permitted by a specific interleaving of the poles and zeros of this rational function. This paper in an extension of [34,35] as it considers rational functions with complex coefficients to generate power-law functions , where can be either real or complex. It is organized as follows. The essential results of [34,35] are first summarized, and it is shown that the fractional behaviours generated with the given kernels are based on rational functions with interlacing poles and zeros. The paper then considers complex conjugate poles and zeros, and, by retaining only the real part, it proposes new rational functions for the approximation of the power law function , . The idea of interlacing complex poles and zeros is finally used to approximate the power law function , .
2. Fitting Fractional Behaviours with Non-Singular Kernels: A Reminder
To capture fractional behaviours, it was proposed in [34,35] to introduce the convolution operator
in which the kernel is an approximation of the power-law function
under the form of a non-singular rational function
In relation to (3), the gain , the zeros and the pole are computed Algorithm 1.
| Algorithm 1 [34,35] |
|
|
Figure 1 shows that algorithm 1 interlaces in a log–log representation, and the zeros and the poles reach the approximation of .
Figure 1.
Approximation of the affine function in log–log representation (red line) by interlacing zeros and poles (blue line) [34].
To produce fractional behaviours with model (1), the key point is to obtain, at least in a given time range, an accurate approximation of the function (2). Algorithm 1 does this very well with a non-singular rational function with real coefficients. The following paragraphs explore what can be created by considering complex coefficients.
3. A First Extension with Complex Poles and Zeros
The approximation proposed by relation (3) and algorithm 1 can be generalized considering the following non-singular rational function with complex coefficients:
After partial fraction expansion, the function becomes:
where the complex coefficients , are defined by
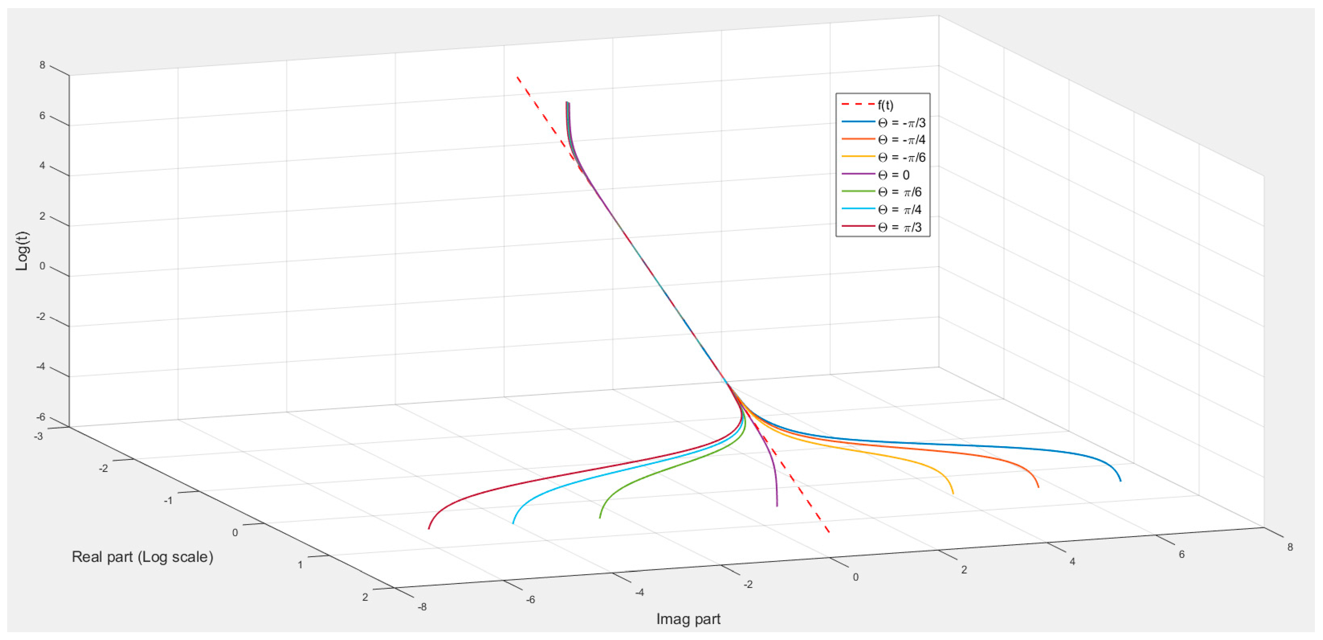
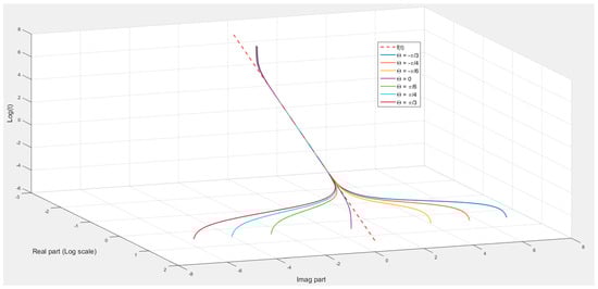
Figure 2, created with MATLAB Simulink software as the figures in the sequel, shows a comparison of the approximation with the function . This comparison is conducted in a log–log frame, that is to say that and are represented as a function of for various values of and with
Figure 2.
Three-dimensional representation of and as a function of for various values of .
A practical implementation of such an approximation (to eliminate the imaginary part) can be conducted by keeping only the real part of the function . As the real part of the function
the real part of the function is thus
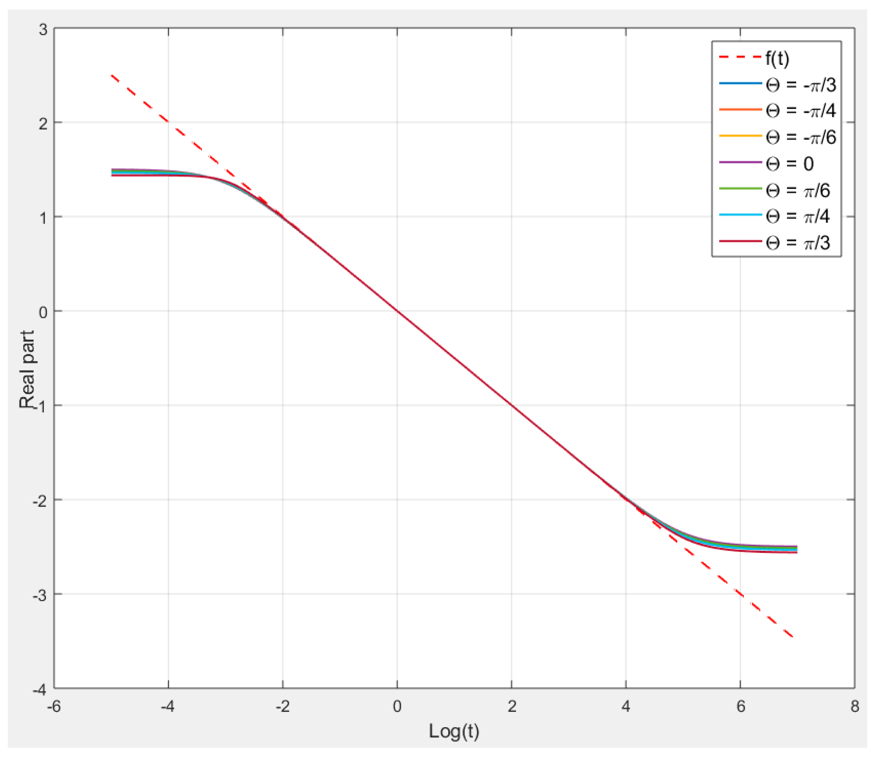
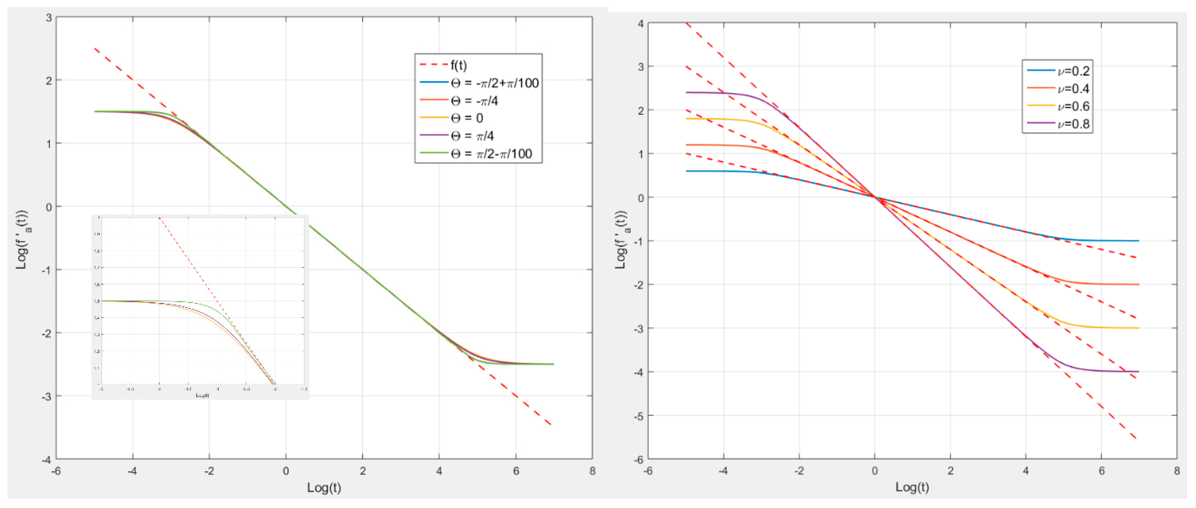
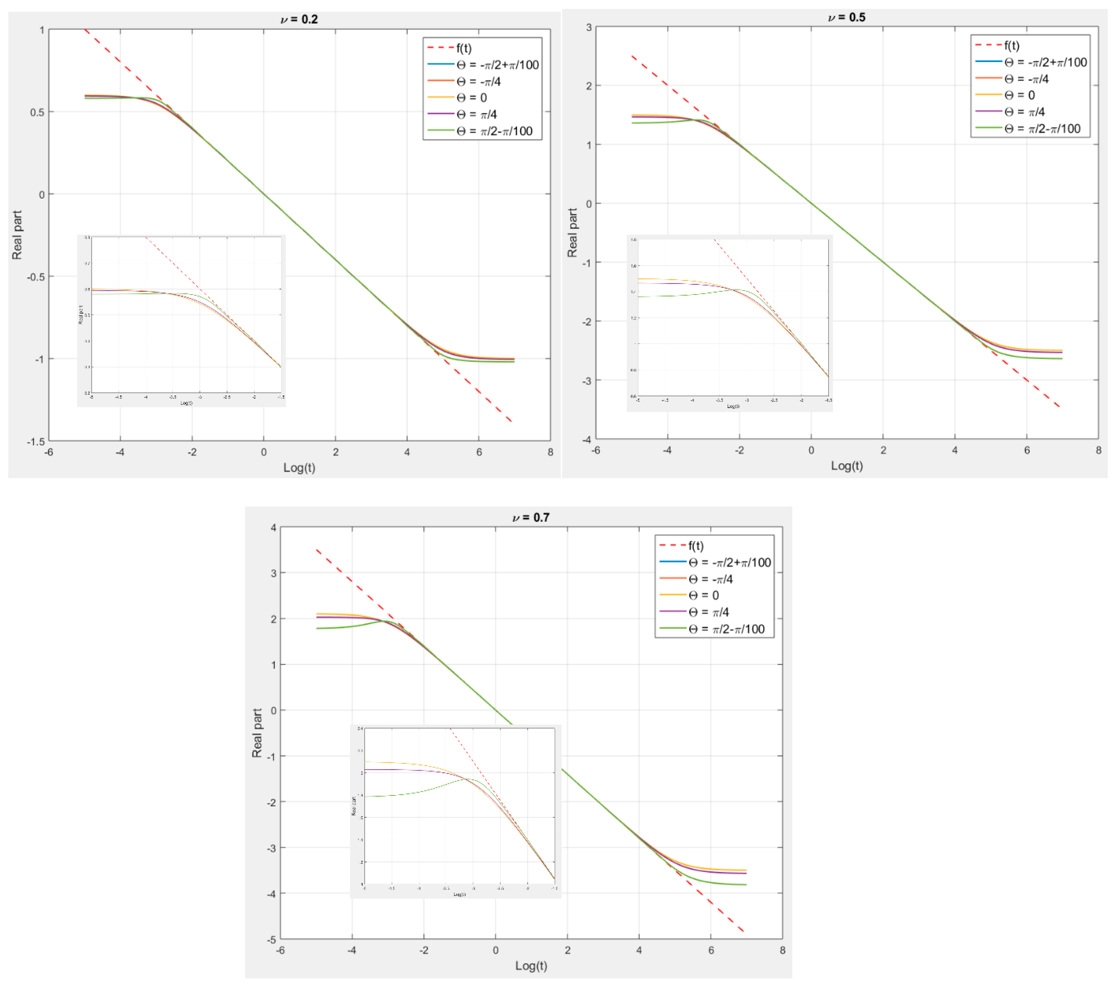
Figure 3 shows a comparison of with for various values of and for = 0.5, , , and . This figure reveals a perfect fit of the function within the interval with a very small number of parameters.
Figure 3.
Comparison in log–log representation of with for various values of and for = 0.5, , , and .
The approximation proposed by relation (3) and Algorithm 1 can thus be generalized considering the non-singular rational function with complex coefficients (5) using Algorithm 2.
| Algorithm 2 |
|
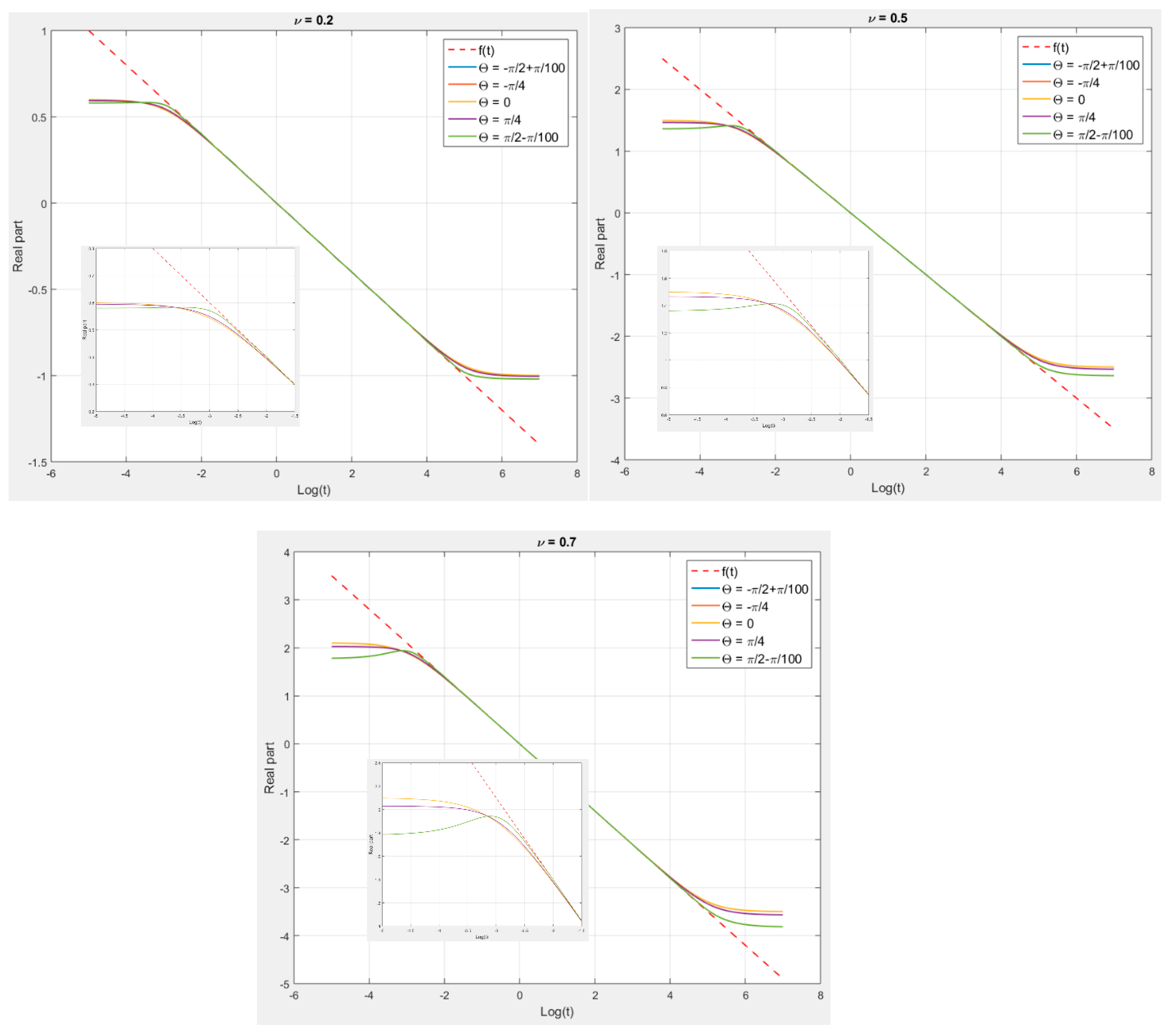
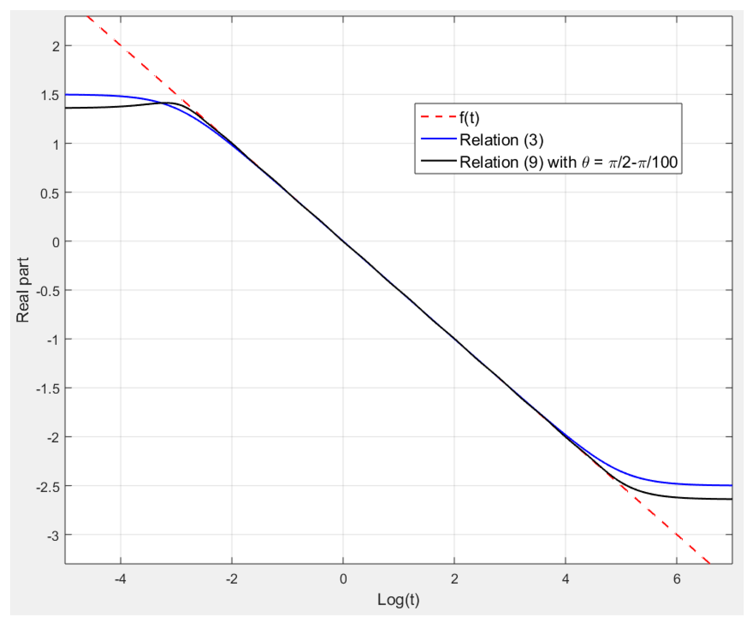
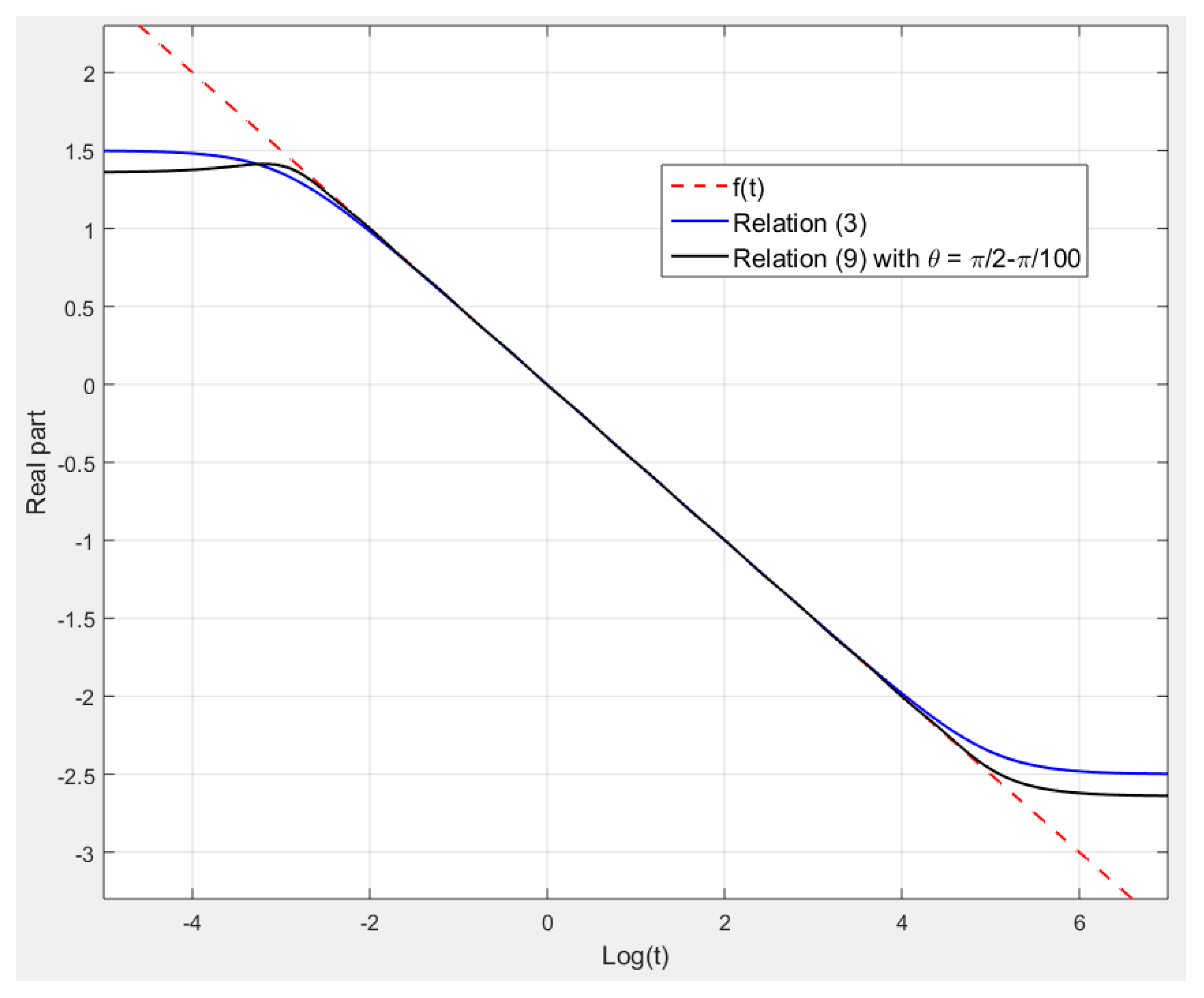
Figure 3 further illustrates that the behaviour of the approximation varies near the boundaries of the approximation interval, contingent upon the value of . It was observed in ref. [34,35] that the rational kernel (3) allows an accurate fitting of the function on a time domain range and fewer frequency oscillations around the curve of in comparison to a distribution of exponential functions as conventionally used in the literature [36,37,38,39,40,41]. It was also observed that the fitting is less accurate than with a distribution of exponential functions close to the times and . This additional parameter can thus be used to solve this matter. As shown by Figure 4 for various values of , for close to or , the approximation curve fits better on the curve for these times, with identical accuracy between the times and . This is confirmed by Figure 5, which compares (relation (2)) and the approximations given by relation (3) and relation (9) for = 0.5, , , and .
Figure 4.
Comparison in log–log representation of with for various values of some close to and , for three values of (, ), and for , , .
Figure 5.
Comparison in log–log representation of with for various values of some close to and , for three values of (, ), and for , , .
In order to make the expression of the approximation of real, instead of using relation (9), it is possible to associate with relation (5) its complex conjugate, which leads to the following approximation:
and thus, after simplifications,
As the function is the product of two functions like (5), it is important to note that it realizes the approximation of . Using relation (11), the approximation of function (3) can thus be carried out with Algorithm 3.
| Algorithm 3 | |
| 1. Use step 1 and 2 of algorithm 1. | |
| 2. Compute and . | |
| 3. Compute and the other and using relations | |
| 4. Compute with (middle of on a logarithmic scale | |
| 5. Compute the approximation | |
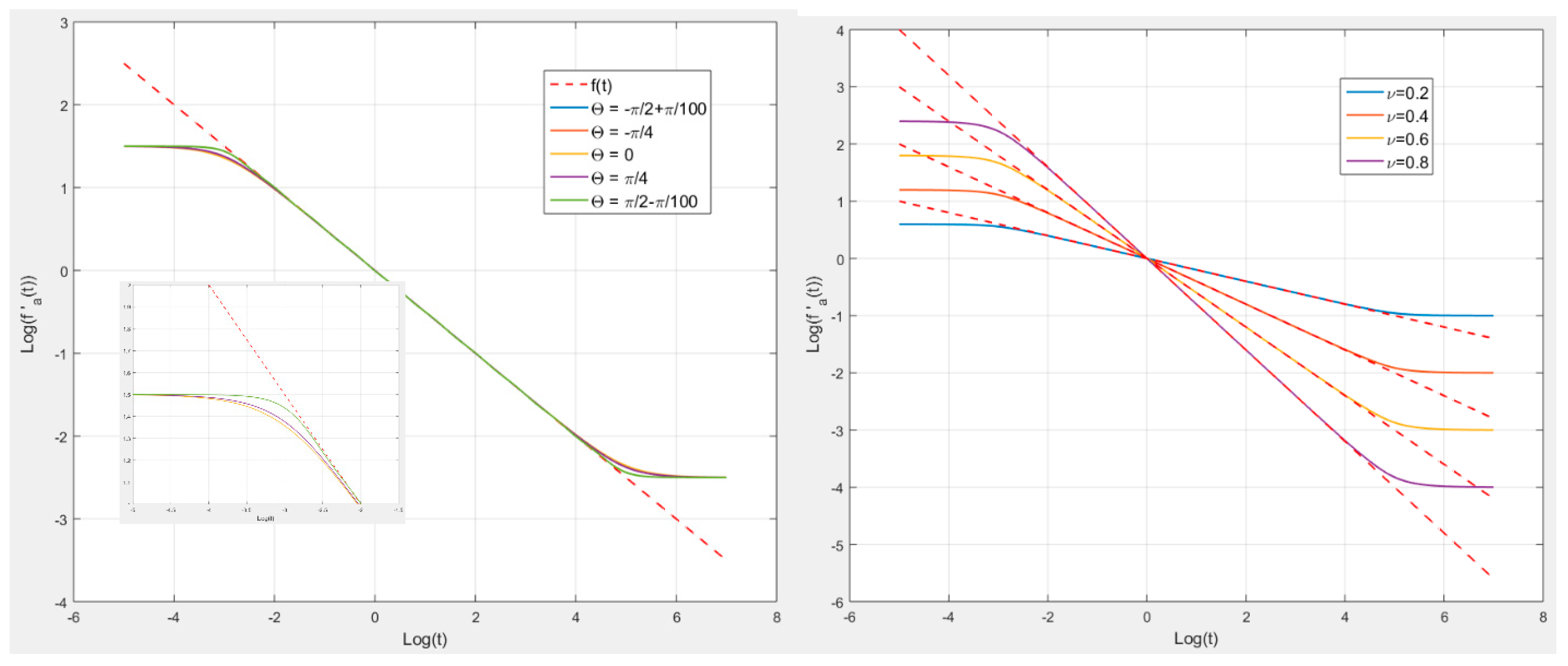
Figure 6 shows that algorithm 3 produces very accurate approximations of for various values of and various values of .
Figure 6.
Comparison in log–log representation of with for various values of and (left) and for various values and (right) for , , .
4. A Second Extension to Complex Fractional Behaviour
In ref. [42], the existence of phenomena that can be described in terms of the fractional kinetic equation containing complex-power-law exponents was highlighted. It is thus of interest to define convolution operators such as (1) able to capture these behaviours without a singular kernel.
The goal now is thus to approximate the time complex time function
using a rational function. Function (13) can be rewritten as:
The real and imaginary parts of this function are defined by:
and
The gain and the phase (in degrees) associated with this complex function are defined by:
and
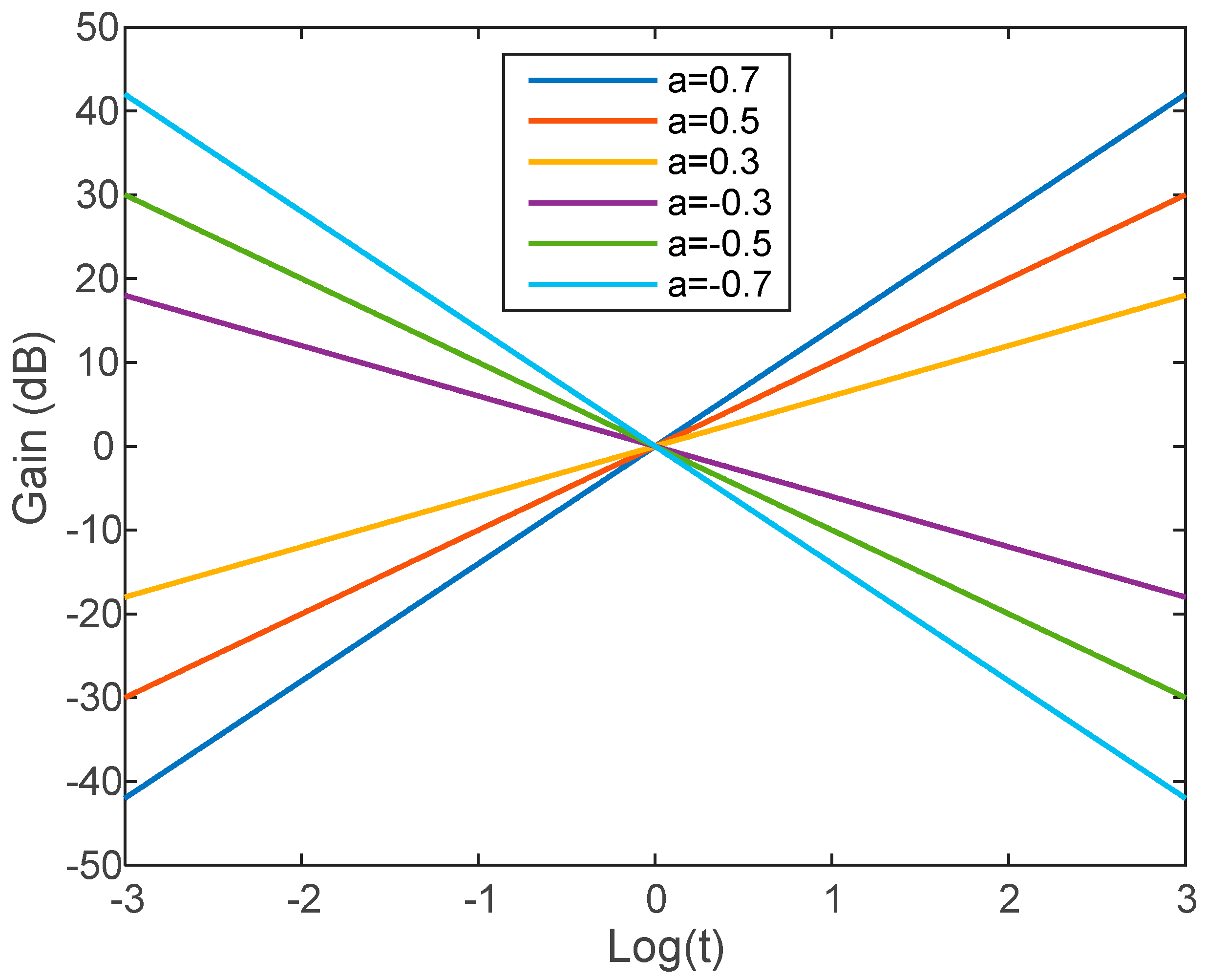
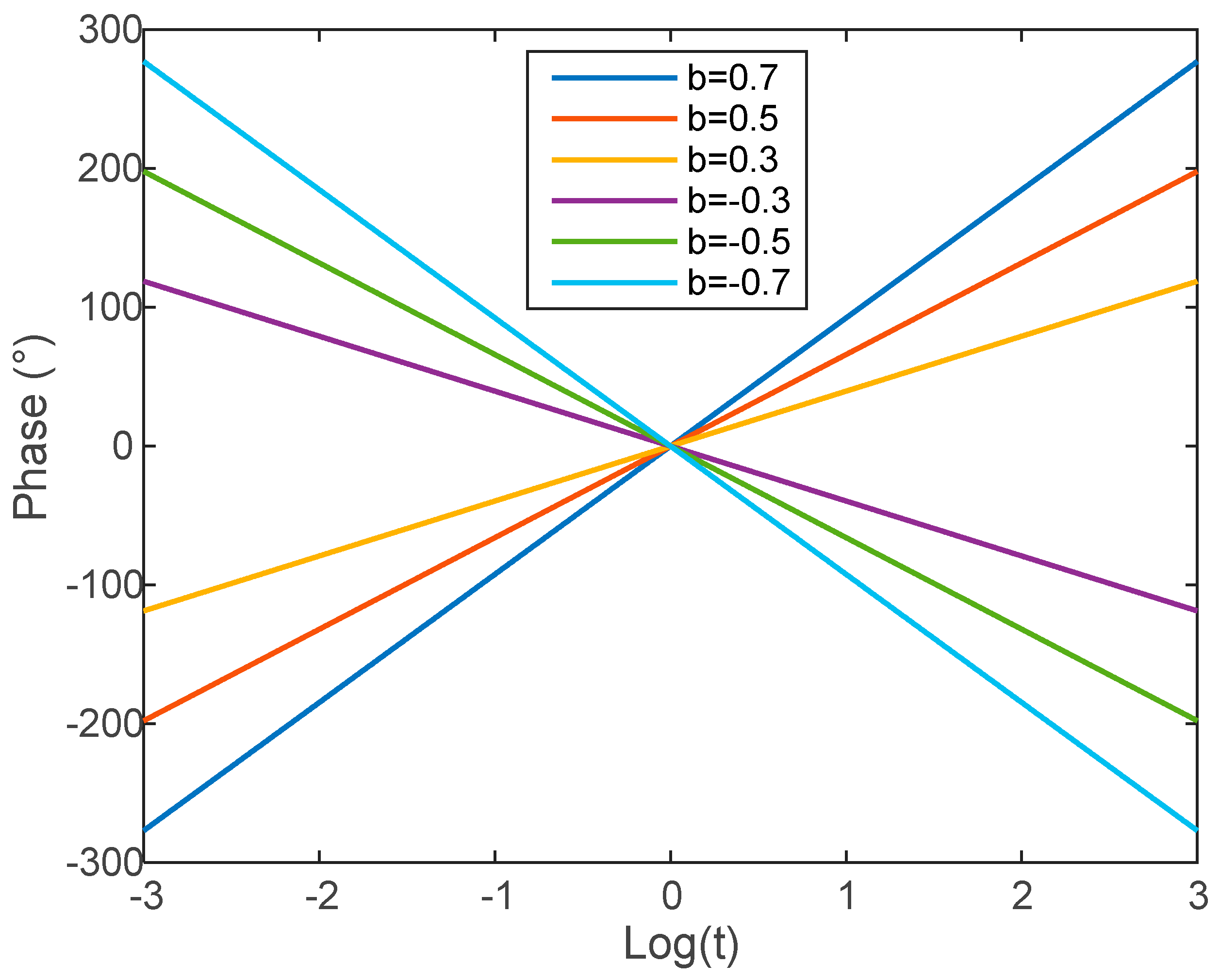
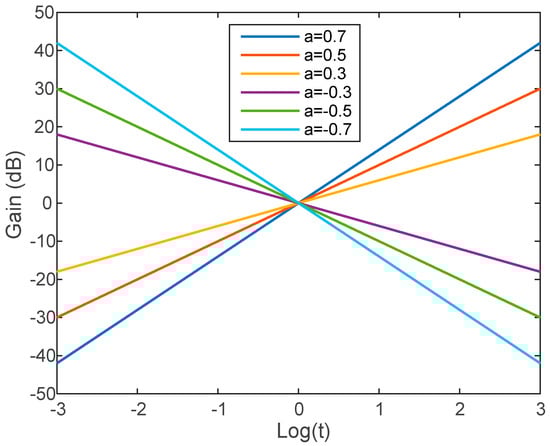
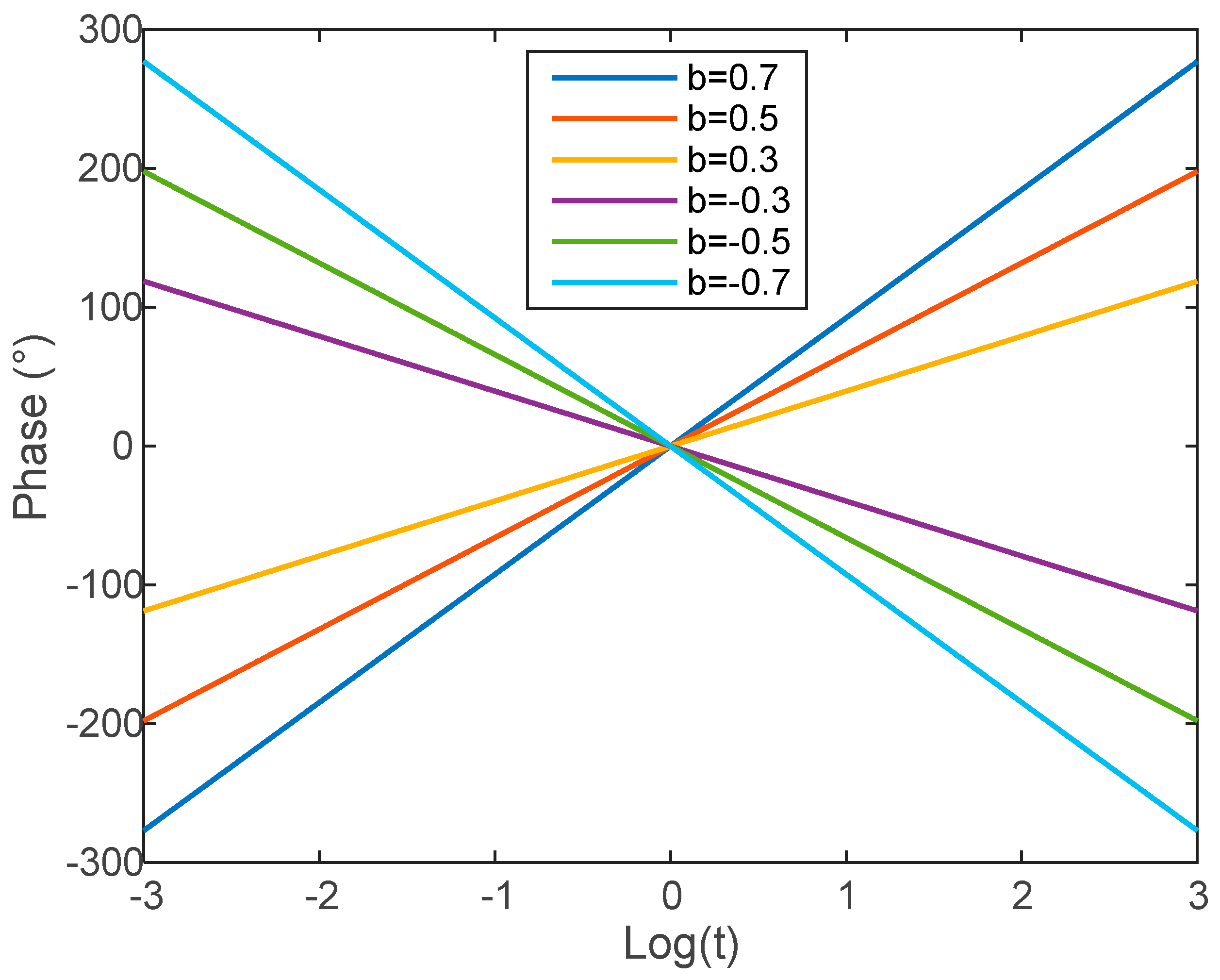
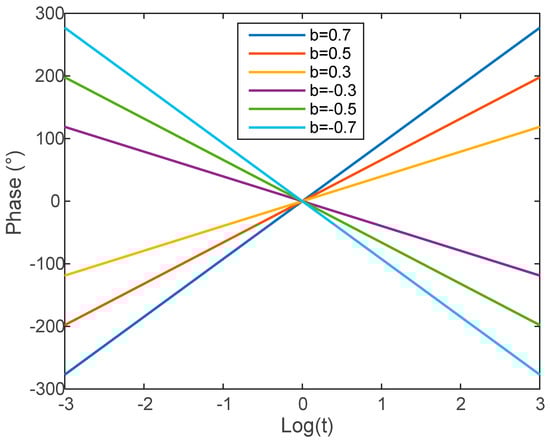
The gain and the phase of as a function of are represented, respectively, by Figure 7 and Figure 8. Note that the gain and the phase of are linear functions of .
Figure 7.
Gain of (that does not depend on parameter ) in log–log representation as a function of for various values of parameter .
Figure 8.
Phase of (that does not depend on parameter ) in log–log representation as a function of for various values of parameter .
To obtain an approximation of function using a rational function, let us consider the function
For , and
For ,
and
This gain and phase do not depend on time t. Asymptotically, the function produces a step of gain and phase at the time , as shown by Figure 9. An approximation of the gain and phase of function can thus be obtained by repeating these types of steps periodically on a logarithmic scale (making it possible to condense the time domain and making the gain and phase of linear). This idea is schematized in Figure 9. Using Figure 9, the following relations can be obtained:
Figure 9.
Illustration of the gain and phase approximation methodology for , , in log–log representation. Green lines and red lines show the successive asymptotic contributions of poles and zeros to the gain and phase.
To satisfy the slope equality, the following equations hold:
For the gain
For the phase
Note that the previous two relations lead to a system of 2 equations with 3 unknowns {, , }:
There is thus an infinity of solutions.
For the particular solution {, , }, on the interval , the function can thus be approximated by
using Algorithm 4.
| Algorithm 4. Approximation of (for given values of and ) | |
|
1—Choose and and the number of intervals of which the function is sampled in Figure 9. 2—Compute , and the times and , 3—Compute the gain so that for (namely the middle of the interval ) thus for : | |
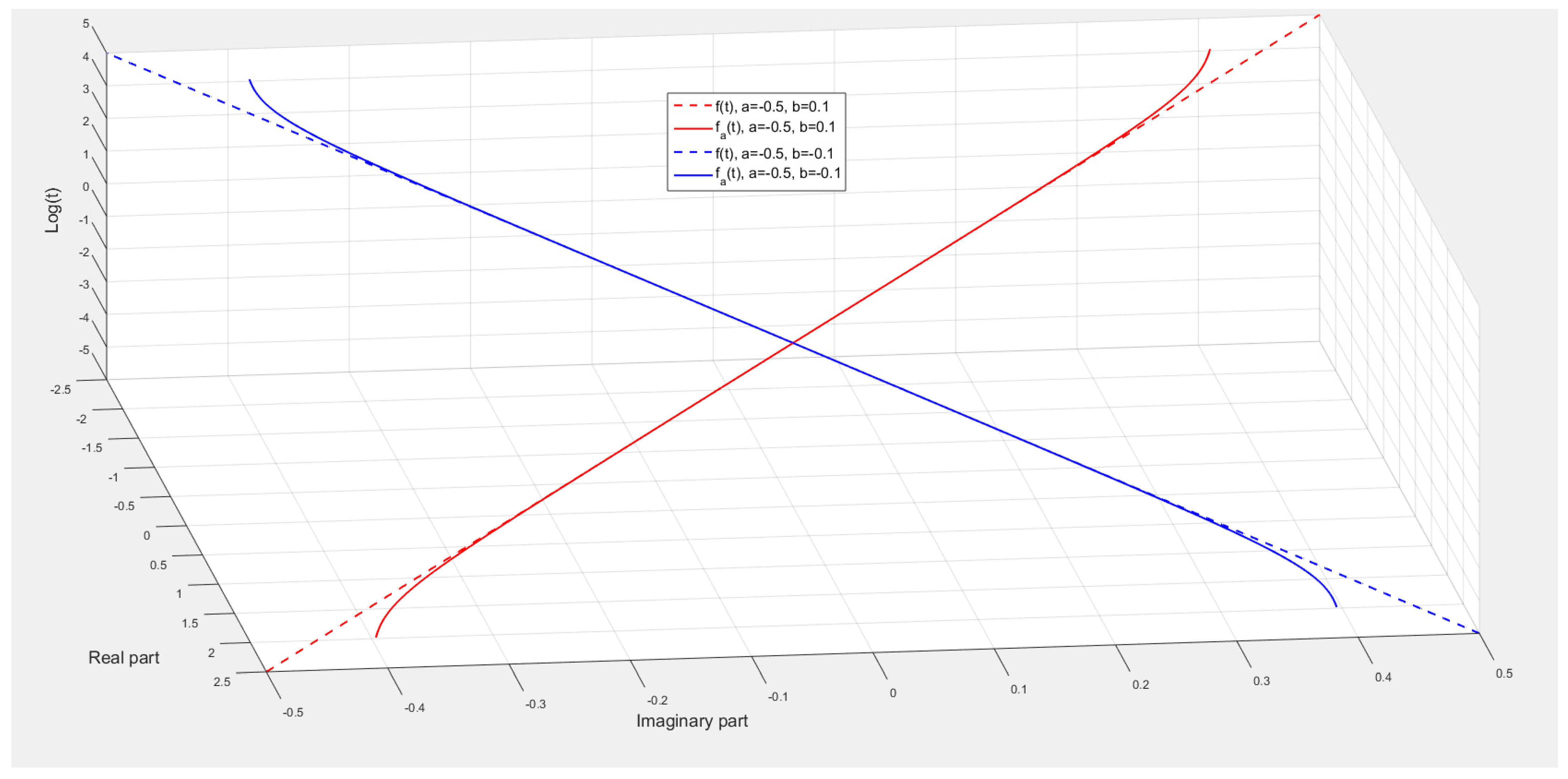
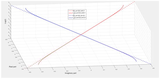
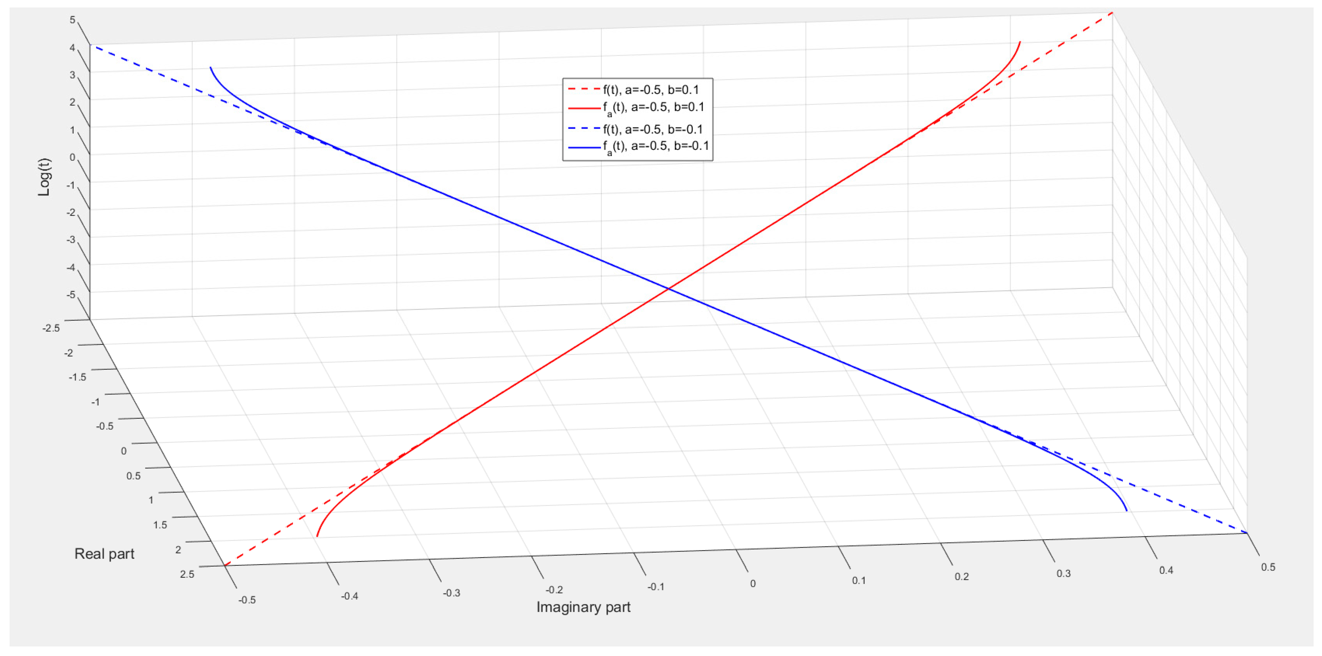
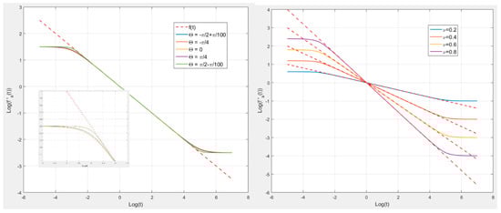
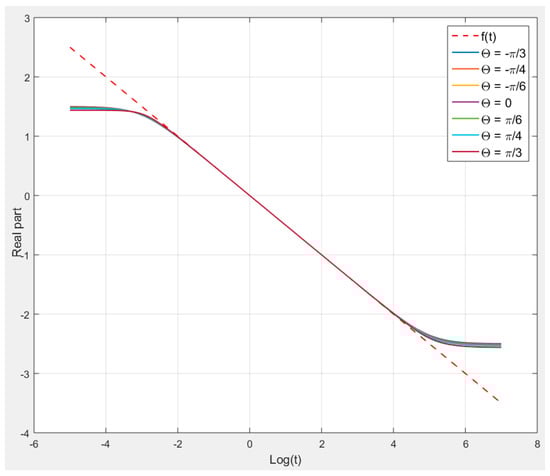
A comparison of the function given by relation (13) with its approximation (relation (28)) is shown in a 3D space in Figure 10. This figure shows the real part of the logarithm if these functions () and the imaginary part of the logarithm if these functions as a function of . A comparison of the gains and phases of and of its approximation is also proposed by Figure 11. These two figures highlight that algorithm 4 achieves an accurate approximation of on the time interval defined by .
Figure 10.
3D comparison of functions and : and of these functions are represented as a function of for various values of parameters and .
Figure 11.
Comparison of the gains (top) and phases (bottom) of and of its approximation for various values of parameters and .
5. Conclusions
This paper proposes kernels that can be used to define convolution-type operators with fractional behaviours
- without requiring classical fractional calculus operators.
- using non singular kernels.
These kernels are rational functions that approximate the power law function on a defined time range. This work is an extension of previous studies in this line [34,35], as the coefficients in the rational functions considered are complex, and because the power can be either real or complex. The fractional behaviour of these kernels is always the result of the interlacing of the poles and zeros of these rational functions. By retaining only the real part of the rational functions generated or by pairing it with its complex conjugate, accurate approximations of the power law function within a specified time range are obtained. The resulting kernels consist of a ratio of products of second-order polynomials. In the real case, this approach provides a more accurate approximation near the boundaries of the approximation interval compared to the previous work of the author [34,35]. For complex values of , it broadens the applicability of the convolution models proposed by the author. The mathematical contribution of the paper is therefore the definition of approximants for the power law function , , approximants that can be used in convolution kernels to approximate fractional order operators.
This work is also a response to the limitations and drawbacks inherent in the fractional models and operators mentioned in the literature, by introducing new modelling tools designed to address fractional behaviours or through the re-identification of fractional-order systems with integer-order models, using, for instance, phase-space reconstruction methods. It serves as further evidence that fractional behaviours can be effectively modelled using methodologies beyond those associated with fractional calculus. This further demonstrates that working on fractional behaviour without confining oneself to fractional models creates numerous opportunities for exploration within the domain of model analysis and identification.
It is now necessary to consider real-world fractional behaviours to accurately delineate the limitations of the proposed non-singular rational kernels in modelling scenarios. For instance, it should be interesting to develop methods to compute the kernel resulting from the series or feedback connection of several models defined with the convolution operator (1) with kernel (3). Do they still have a rational form as (3)? The author also plans to develop parameter estimation algorithms and the corresponding discretization strategies. Additionally, there is an intention to create tools for analyzing the properties of convolution models which involve rational non-singular kernels, focusing on aspects such as stability, controllability, and observability. The non-singular kernel proposed can also be used for the simulation of fractional order models, in the same way as the exponential developments commonly encountered in the literature. An interesting future work would thus be to evaluate the interests and limitations of these kernels for numerical simulations.
Funding
This research received no external funding.
Data Availability Statement
The raw data supporting the conclusions of this article will be made available by the authors on request.
Conflicts of Interest
The author declares no conflicts of interest.
References
- Sabatier, J.; Farges, C.; Tartaglione, V. Fractional Behaviours Modelling: Analysis and Application of Several Unusual Tools; Intelligent Systems, Control and Automation: Science and Engineering series; Springer: Cham, Switzerland, 2022; Volume 101. [Google Scholar]
- Samko, S.G.; Kilbas, A.A.; Marichev, O.I. Fractional Integrals and Derivatives: Theory and Applications; Gordon and Breach Science Publishers: London, UK, 1993. [Google Scholar]
- Podlubny, I. Fractional Differential Equations. Theoretical Developments and Applications in Physics and Engineering Mathematics in Sciences and Engineering; Academic Press: Cambridge, MA, USA, 1999. [Google Scholar]
- Miller, K.; Ross, B. An Introduction to the Fractional Calculus and Fractional Differential Equations; John Wiley & Sons Inc.: Hoboken, NJ, USA, 1993. [Google Scholar]
- Monje, C.A.; Chen, Y.; Vinagre, B.M.; Xue, D.; Feliu, V. Fractional-Order Systems and Controls: Fundamentals and Applications; Advances in Industrial Control Series; Springer: London, UK, 2010. [Google Scholar]
- Baleanu, D.; Balas, V.E.; Agarwal, P. Fractional Order Systems and Applications in Engineering; Elsevier: Amsterdam, The Netherlands, 2022. [Google Scholar]
- Petras, I. Fractional Order Systems; MDPI Books: Basel, Switzerland, 2019. [Google Scholar]
- Dokoumetzidis, A.; Magin, R.; Macheras, P. A commentary on fractionalization of multi-compartmental models. Pharm. Pharm. 2010, 37, 203–207. [Google Scholar] [CrossRef] [PubMed]
- Sabatier, J.; Farges, C.; Trigeassou, J.C. Fractional systems state space description: Some wrong ideas and proposed solutions. J. Vib. Control 2014, 20, 1076–1084. [Google Scholar] [CrossRef]
- Balint, A.M.; Balint, S. Mathematical Description of the Groundwater Flow and that of the Impurity Spread, Which Use Temporal Caputo or Riemann-Liouville Fractional Partial Derivatives, Is Non-objective. Fractal Fract. 2020, 4, 36. [Google Scholar] [CrossRef]
- Pantokratoras, A. Comment on the paper “Fractional order model of thermo-solutal and magnetic nanoparticles transport for drug delivery applications, Subrata Maiti, Sachin Shaw, G.C. Shit”. Colloids Surf. B Biointerfaces 2023, 222, 113074. [Google Scholar] [CrossRef]
- Sabatier, J. Solutions to the Sub-Optimality and Stability Issues of Recursive Pole and Zero Distribution Algorithms for the Approximation of Fractional Order Models. Algorithms 2018, 11, 103. [Google Scholar] [CrossRef]
- Stynes, M. Fractional-order derivatives defined by continuous kernels are too restrictive. Appl. Math. Lett. 2018, 85, 22–26. [Google Scholar] [CrossRef]
- Hanyga, A. A comment on a controversial issue: A generalized fractional derivative cannot have a regular kernel. Fract. Calc. Appl. Anal. 2020, 23, 211–223. [Google Scholar] [CrossRef]
- Kai Diethelm, K.; Garrappa, R.; Giusti, A.; Stynes, M. Why fractional derivatives with nonsingular kernels should not be used. Fract. Calc. Appl. Anal. 2020, 23, 610–634. [Google Scholar] [CrossRef]
- Sabatier, J. Fractional-Order Derivatives Defined by Continuous Kernels: Are They Really Too Restrictive? Fractal Fract. 2020, 4, 40. [Google Scholar] [CrossRef]
- Sabatier, J.; Merveillaut, M.; Malti, R.; Oustaloup, A. How to impose physically coherent initial conditions to a fractional system? Commun. Nonlinear Sci. Numer. Simul. 2010, 15, 1318–1326. [Google Scholar] [CrossRef]
- Ortigueira, M.D.; Coito, F. System initial conditions vs derivative initial conditions. Comput. Math. Appl. 2010, 59, 1782–1789. [Google Scholar] [CrossRef]
- Sabatier, J. Fractional Order Models Are Doubly Infinite Dimensional Models and thus of Infinite Memory: Consequences on Initialization and Some Solutions. Symmetry 2021, 13, 1099. [Google Scholar] [CrossRef]
- Sun, H.; Wang, Y.; Yu, L.; Yu, X. A discussion on nonlocality: From fractional derivative model to peridynamic model. Commun. Nonlinear Sci. Numer. Simul. 2022, 114, 106604. [Google Scholar] [CrossRef]
- Caputo, M.; Fabrizio, M. A new definition of fractional derivative without singular kernel. Prog. Fract. Differ. Appl. 2015, 1, 73–85. [Google Scholar]
- Arshad, S.; Saleem, I.; Akgül, A.; Huang, J.; Tang, Y.; Eldin, S.M. A novel numerical method for solving the Caputo-Fabrizio fractional differential equation. AIMS Math. 2023, 8, 9535–9556. [Google Scholar] [CrossRef]
- Hristov, J. Derivatives with Non-Singular Kernels from the Caputo-Fabrizio Definition and Beyond: Appraising Analysis with Emphasis on Diffusion Models. Curr. Dev. Math. Sci. Front. Fract. Calc. 2018, 1, 269. [Google Scholar] [CrossRef]
- Yépez-Martínez, H.; Gómez-Aguilar, J.F. A new modified definition of Caputo–Fabrizio fractional-order derivative and their applications to the Multi Step Homotopy Analysis Method (MHAM). J. Comput. Appl. Math. 2019, 346, 247–260. [Google Scholar] [CrossRef]
- Alshabanat, A.; Jleli, M.; Kumar, S.; Samet, B. Generalization of Caputo-Fabrizio Fractional Derivative and Applications to Electrical Circuits. Front. Phys. Sec. Stat. Comput. Phys. 2020, 8, 64. [Google Scholar] [CrossRef]
- Qureshi, S.; Rangaig, N.A.; Baleanu, D. New Numerical Aspects of Caputo-Fabrizio Fractional Derivative Operator. Mathematics 2019, 7, 374. [Google Scholar] [CrossRef]
- Ali, F.; Ali, F.; Sheikh, N.A.; Khan, I.; Nisar, K.S. Caputo–Fabrizio fractional derivatives modeling of transient MHD Brinkman nanoliquid: Applications in food technology. Chaos Solitons Fractals 2020, 131, 109489. [Google Scholar] [CrossRef]
- Atangana, A.; Baleanu, D. New fractional derivatives with nonlocal and non-singular kernel: Theory and application to heat transfer model. Therm. Sci. 2016, 20, 763–769. [Google Scholar] [CrossRef]
- Liemert, A.; Sandev, T.; Kantz, H. Generalized langevin equation with tempered memory kernel. Phys. A—Stat. Mech. Appl. 2017, 466, 356–369. [Google Scholar] [CrossRef]
- Hattaf, K. A new generalized definition of fractional derivative with non-singular kernel. Computation 2020, 8, 49. [Google Scholar] [CrossRef]
- Al-Refai, M. Proper inverse operators of fractional derivatives with nonsingular kernels. Rend. Circ. Mat. Palermo, II Ser. 2022, 71, 525–535. [Google Scholar] [CrossRef]
- Yusuf, A.; Inc, M.; Aliyu, A.I.; Baleanu, D. Efficiency of the new fractional derivative with nonsingular Mittag-Leffler kernel to some nonlinear partial differential equations. Chaos Solitons Fractals 2018, 116, 202–226. [Google Scholar] [CrossRef]
- Fernandez, A.; Al-Refai, M. A Rigorous Analysis of Integro-Differential Operators with Non-Singular Kernels. Fractal Fract. 2023, 7, 213. [Google Scholar] [CrossRef]
- Sabatier, J.; Farges, C. Algorithms for Fractional Dynamical Behaviors Modelling Using Non-Singular Rational Kernels. Algorithms 2024, 17, 20. [Google Scholar] [CrossRef]
- Sabatier, J.; Farges, C. Time-Domain Fractional Behaviour Modelling with Rational Non-Singular Kernels. Axioms 2024, 13, 99. [Google Scholar] [CrossRef]
- Manabe, S. The non-integer Integral and its Application to control systems. ETJ Jpn. 1961, 6, 83–87. [Google Scholar]
- Carlson, G.E.; Halijak, C.A. Simulation of the Fractional Derivative Operator and the Fractional Integral Operator. Available online: http://krex.k-state.edu/dspace/handle/2097/16007 (accessed on 1 December 2024).
- Ichise, M.; Nagayanagi, Y.; Kojima, T. An analog simulation of non-integer order transfer functions for analysis of electrode processes. J. Electroanal. Chem. Interfacial Electrochem. 1971, 33, 253–265. [Google Scholar] [CrossRef]
- Oustaloup, A. Systèmes Asservis Linéaires d’ordre Fractionnaire; Masson: Paris, France, 1983. [Google Scholar]
- Raynaud, H.F.; Zergaïnoh, A. State-space representation for fractional order controllers. Automatica 2000, 36, 1017–1021. [Google Scholar] [CrossRef]
- Charef, A. Analogue realisation of fractional-order integrator, differentiator and fractional PIλDµ controller. IEE Proc. Control Theory Appl. 2006, 153, 714–720. [Google Scholar] [CrossRef]
- Nigmatullin, R.R.; Arbuzov, A.A.; Salehli, F.; Giz, A.; Bayrak, I.; Catalgil-Giz, H. The first experimental confirmation of the fractional kinetics containing the complex-power-law exponents: Dielectric measurements of polymerization reactions. Phys. B Condens. Matter 2007, 388, 418–434. [Google Scholar] [CrossRef]
Disclaimer/Publisher’s Note: The statements, opinions and data contained in all publications are solely those of the individual author(s) and contributor(s) and not of MDPI and/or the editor(s). MDPI and/or the editor(s) disclaim responsibility for any injury to people or property resulting from any ideas, methods, instructions or products referred to in the content. |
© 2025 by the author. Licensee MDPI, Basel, Switzerland. This article is an open access article distributed under the terms and conditions of the Creative Commons Attribution (CC BY) license (https://creativecommons.org/licenses/by/4.0/).










