AI-Based Data Analysis of Contaminant Transportation with Regression of Oxygen and Nutrients Measurement
Abstract
1. Introduction
2. Model Construction
3. Qualitative Results
- : For the mathematical analysis of the discrete DC model (1), we presume that , , , and , , , , , and , , , for , , , are positive constants.
- For the diffusion terms, we also assume that there exist some constants, say , such thatfor all , where .
4. Scheme, Sensitivity Analysis, and Implication
4.1. Sensitivity Analysis of the Parameters
- The role of can be studied here
- And the reaction rate has the role belowthis shows a negative impact on the contaminant concentration.
4.2. Sensitivity Analysis of Temperature
- The role of is calculated here:
- The implies
4.3. Sensitivity Measurements for O and N
- Consider the third equation in the model (4), The sensitivity of O with respect to is calculated as under:
- This implies the positive role in the nutrients concentration.
- The reaction rate , implieswhich presenting a negative impact over the nutrients concentration.
Tabular Descriptions
5. Contaminant-Transportation Analysis by AI
6. Conclusions
- We determined that under the assumptions and , coupled with the requirement for , the model demonstrates well-defined solutions, hence validating its efficacy.
- The distinctiveness of solutions was established, underscoring the model’s relevance in several contexts.
- The model’s Hyers–Ulam stability was confirmed, demonstrating robustness to minor alterations in initial conditions.
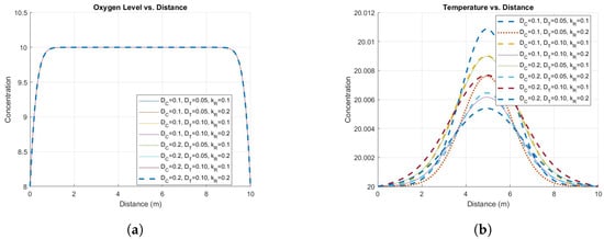
- Numerical simulations indicated that the peak contaminant concentration occurred at the center, specifically at , , with levels attaining mg/L. This concentration markedly affects nutritional levels, which decreased to around mg/L under comparable conditions.
- Temperature observations reached around 20.009 °C due to pollutant levels, demonstrating the correlation between elevated contamination and thermal variations in the water body.
- Reaction rates were demonstrated to inversely influence contaminant concentrations, with an increase in from to resulting in a decrease in concentration from mg/L to mg/L.
- Boosting the model to incorporate dynamic variables such as fluctuating flow rates and sediment interactions, thereby increasing its applicability to real-world situations.
Author Contributions
Funding
Data Availability Statement
Acknowledgments
Conflicts of Interest
References
- Tokaty, G.A. A History and Philosophy of Fluid Mechanics; Courier Corporation: North Chelmsford, MA, USA, 1994. [Google Scholar]
- Constantin, P.; Foiaş, C. Navier-Stokes Equations; University of Chicago Press: Chicago, IL, USA, 1988. [Google Scholar]
- Doering, C.R.; Gibbon, J.D. Applied Analysis of the Navier-Stokes Equations; Cambridge University Press: Cambridge, UK, 1995. [Google Scholar]
- Chorin, A.J. Numerical solution of the Navier-Stokes equations. Math. Comput. 1968, 22, 745–762. [Google Scholar] [CrossRef]
- Zeytounian, R.K. Theory and Applications of Viscous Fluid Flows; Springer Science & Business Media: Berlin/Heidelberg, Germany, 2013. [Google Scholar]
- Pedrizzetti, G.; Domenichini, F. Left ventricular fluid mechanics: The long way from theoretical models to clinical applications. Ann. Biomed. Eng. 2015, 43, 26–40. [Google Scholar] [CrossRef] [PubMed]
- Cermak, J.E. Applications of fluid mechanics to wind engineering—A Freeman Scholar lecture. J. Fluids Eng. 1975, 97, 9–38. [Google Scholar] [CrossRef]
- Madaliev, E.; Madaliev, M.; Mullaev, I.; Sattorov, A.; Ibrokhimov, A. Numerical simulation of the layer mixing problem based on a new two-fluid turbulence model. In AIP Conference Proceedings; AIP Publishing: Melville, NY, USA, 2023; Volume 2612. [Google Scholar]
- Nadeem, S.; Ishtiaq, B.; Hamida, M.B.B.; Almutairi, S.; Ghazwani, H.A.; Eldin, S.M.; Al-Shafay, A.S. Reynolds nano fluid model for Casson fluid flow conveying exponential nanoparticles through a slandering sheet. Sci. Rep. 2023, 13, 1953. [Google Scholar] [CrossRef] [PubMed]
- Chu, K.W.; Kuang, S.B.; Zhou, Z.y.; Yu, A.B. Model A vs. Model B in the modelling of particle-fluid flow. Powder Technol. 2018, 329, 47–54. [Google Scholar] [CrossRef]
- Wang, X.; Gong, L.; Li, Y.; Yao, J. Developments and applications of the CFD-DEM method in particle–fluid numerical simulation in petroleum engineering: A review. Appl. Therm. Eng. 2023, 222, 119865. [Google Scholar] [CrossRef]
- Makhro, A.; Huisjes, R.; Verhagen, L.P.; Mañú-Pereira, M.D.; Planas, E.L.; Petkova-Kirova, E.P.; Wang, J.; Eichler, H.; Bogdanova, A.; Wijk, R.V.; et al. Red cell properties after different modes of blood transportation. Front. Physiol. 2016, 7, 288. [Google Scholar] [CrossRef] [PubMed]
- Zhang, Y.; Gao, Y.; Liu, Q.S.; Zhou, Q.; Jiang, G. Chemical contaminants in blood and their implications in chronic diseases. J. Hazard. Mater. 2024, 466, 133511. [Google Scholar] [CrossRef]
- Wang, W.X.; Tan, Q.G. Applications of dynamic models in predicting the bioaccumulation, transport and toxicity of trace metals in aquatic organisms. Environ. Pollut. 2019, 252, 1561–1573. [Google Scholar] [CrossRef]
- Culot, M.; Lundquist, S.; Vanuxeem, D.; Nion, S.; Landry, C.; Delplace, Y.; Dehouck, M.P.; Berezowski, V.; Fenart, L.; Cecchelli, R. An in vitro blood-brain barrier model for high throughput (HTS) toxicological screening. Toxicol. In Vitro 2008, 22, 799–811. [Google Scholar] [CrossRef] [PubMed]
- Khan, H.; Rajpar, A.H.; Alzabut, J.; Aslam, M.; Etemad, S.; Rezapour, S. On a Fractal–Fractional-Based Modeling for Influenza and Its Analytical Results. Qual. Theory Dyn. Syst. 2024, 23, 70. [Google Scholar] [CrossRef]
- Jan, R.; Qureshi, S.; Boulaaras, S.; Pham, V.T.; Hincal, E.; Guefaifia, R. Optimization of the fractional-order parameter with the error analysis for human immunodeficiency virus under Caputo operator. Discret. Contin. Dyn. Syst. Ser. S 2023, 16, 2118–2140. [Google Scholar] [CrossRef]
- Khan, A.; Abdeljawad, T.; Abdel-Aty, M.; Almutairi, D.K. Digital analysis of discrete fractional order cancer model by artificial intelligence. Alex. Eng. J. 2025, 118, 115–124. [Google Scholar] [CrossRef]
- Khan, A.; Abdeljawad, T.; Alkhawar, H.M. Digital analysis of discrete fractional order worms transmission in wireless sensor systems: Performance validation by artificial intelligence. Model. Earth Syst. Environ. 2025, 11, 25. [Google Scholar] [CrossRef]
- Ramesh, K.; Khan, A.; Abdeljawad, T. Analysis of the stability of a predator-prey model including the memory effect, double Allee effect and Holling type-I functional response. PLoS ONE 2025, 20, e0305179. [Google Scholar]
- Khan, H.; Alzabut, J.; Gómez-Aguilar, J.F.; Agarwal, P. Piecewise mABC fractional derivative with an application. AIMS Math. 2023, 8, 24345–24366. [Google Scholar] [CrossRef]
- Ain, Q.T.; Khan, A.; Abdeljawad, T.; Gomez-Aguilar, J.F.; Riaz, S. Dynamical study of varicella-zoster virus model in sense of Mittag-Leffler kernel. Int. J. Biomath. 2024, 17, 2350027. [Google Scholar] [CrossRef]
- Dhaniya, S.; Kumar, A.; Khan, A.; Abdeljawad, T. Existence results for Langevin equations involving generalized Liouville–Caputo fractional derivatives with non-local boundary conditions. Alex. Eng. J. 2024, 90, 153–160. [Google Scholar] [CrossRef]
- Shah, K.; Khan, A.; Abdalla, B.; Abdeljawad, T.; Khan, K.A. A mathematical model for Nipah virus disease by using piecewise fractional order Caputo derivative. Fractals 2024, 32, 2440013. [Google Scholar] [CrossRef]
- Reunsumrit, J.; Shah, K.; Khan, A.; Amin, R.; Ahmad, I.; Sitthiwirattham, T. Extension Of Haar Wavelet Techniques For Mittag-Leffler Type Fractional Fredholm Integro-Differential Equations. Fractals 2023, 31, 2340038. [Google Scholar] [CrossRef]
- Kilbas, A.A.; Srivastava, H.M.; Trujillo, J.J. Theory and Applications of Fractional Differential Equations; Elsevier: Amsterdam, The Netherlands, 2006. [Google Scholar]
- Mohammed, P.O.; Srivastava, H.M.; Muhammad, R.S.; Al-Sarairah, E.; Chorfi, N.; Baleanu, D. On existence of certain delta fractional difference models. J. King Saud Univ.-Sci. 2024, 36, 103224. [Google Scholar] [CrossRef]
- Srivastava, H.M. A general family of hybrid-type fractional-order kinetic equations involving the Liouville-Caputo fractional derivative. Montes Taurus. J. Pure Appl. Math. 2024, 6, 48–61. [Google Scholar]
- Alzabut, J.; Selvam, A.G.; Dhineshbabu, R.; Tyagi, S.; Ghaderi, M.; Rezapour, S. A Caputo discrete fractional-order thermostat model with one and two sensors fractional boundary conditions depending on positive parameters by using the Lipschitz-type inequality. J. Inequal. Appl. 2022, 2022, 56. [Google Scholar] [CrossRef]
- Gurney, K. An Introduction to Neural Networks; CRC Press: Boca Raton, FL, USA, 2018. [Google Scholar]
- Hopfield, J.J. Artificial neural networks. IEEE Circuits Devices Mag. 1988, 4, 3–10. [Google Scholar] [CrossRef]
- Krenn, M.; Zeilinger, A. Predicting research trends with semantic and neural networks with an application in quantum physics. Proc. Natl. Acad. Sci. USA 2020, 117, 1910–1916. [Google Scholar] [CrossRef]
- Hu, X.; Hu, H.; Verma, S.; Zhang, Z.L. Physics-guided deep neural networks for power flow analysis. IEEE Trans. Power Syst. 2020, 36, 2082–2092. [Google Scholar] [CrossRef]








| 0.1 | 0.05 | 0.1 | 0.01046 | 20.011 | 10.001 | 4.9947 |
| 0.1 | 0.05 | 0.2 | 0.0038327 | 20.008 | 10.001 | 4.9961 |
| 0.1 | 0.1 | 0.1 | 0.01046 | 20.009 | 10.001 | 4.9947 |
| 0.1 | 0.1 | 0.2 | 0.0038327 | 20.006 | 10.001 | 4.9961 |
| 0.2 | 0.05 | 0.1 | 0.0073942 | 20.009 | 10.001 | 4.9958 |
| 0.2 | 0.05 | 0.2 | 0.0027093 | 20.006 | 10.001 | 4.9969 |
| 0.2 | 0.1 | 0.1 | 0.0073942 | 20.008 | 10.001 | 4.9958 |
| 0.2 | 0.1 | 0.2 | 0.0027093 | 20.005 | 10.000 | 4.9969 |
| 0.1 | 0.05 | 0.1 | 0.01046 | 20.011 | 10.001 | 4.9947 |
| 0.1 | 0.05 | 0.2 | 0.0038327 | 20.008 | 10.001 | 4.9961 |
| 0.2 | 0.05 | 0.1 | 0.0073942 | 20.009 | 10.001 | 4.9958 |
| 0.2 | 0.05 | 0.2 | 0.0027093 | 20.006 | 10.001 | 4.9969 |
| 0.1 | 0.1 | 0.1 | 0.01046 | 20.009 | 10.001 | 4.9947 |
| 0.1 | 0.1 | 0.2 | 0.0038327 | 20.006 | 10.001 | 4.9961 |
| 0.2 | 0.1 | 0.1 | 0.0073942 | 20.008 | 10.001 | 4.9958 |
| 0.2 | 0.1 | 0.2 | 0.0027093 | 20.005 | 10.000 | 4.9969 |
| 0.1 | 0.05 | 0.1 | 0.01046 | 20.011 | 10.001 | 4.9947 |
| 0.1 | 0.1 | 0.1 | 0.01046 | 20.009 | 10.001 | 4.9947 |
| 0.2 | 0.05 | 0.1 | 0.0073942 | 20.009 | 10.001 | 4.9958 |
| 0.2 | 0.1 | 0.1 | 0.0073942 | 20.008 | 10.001 | 4.9958 |
| 0.1 | 0.05 | 0.2 | 0.0038327 | 20.008 | 10.001 | 4.9961 |
| 0.1 | 0.1 | 0.2 | 0.0038327 | 20.006 | 10.001 | 4.9961 |
| 0.2 | 0.05 | 0.2 | 0.0027093 | 20.006 | 10.001 | 4.9969 |
| 0.2 | 0.1 | 0.2 | 0.0027093 | 20.005 | 10.000 | 4.9969 |
| 0.1 | 0.05 | 0.1 | 0.01046 | 20.011 | 10.001 | 4.99472 |
| 0.1 | 0.05 | 0.2 | 0.0038327 | 20.008 | 10.001 | 4.99614 |
| 0.1 | 0.1 | 0.105 | 0.01046 | 20.009 | 10.001 | 4.99473 |
| 0.1 | 0.1 | 0.2 | 0.0038327 | 20.006 | 10.001 | 4.99615 |
| 0.2 | 0.05 | 0.1 | 0.0073942 | 20.009 | 10.001 | 4.99583 |
| 0.2 | 0.05 | 0.2 | 0.0027093 | 20.006 | 10.001 | 4.99692 |
| 0.2 | 0.1 | 0.1 | 0.0073942 | 20.008 | 10.001 | 4.99586 |
| 0.2 | 0.1 | 0.2 | 0.0027093 | 20.005 | 10.000 | 4.99693 |
Disclaimer/Publisher’s Note: The statements, opinions and data contained in all publications are solely those of the individual author(s) and contributor(s) and not of MDPI and/or the editor(s). MDPI and/or the editor(s) disclaim responsibility for any injury to people or property resulting from any ideas, methods, instructions or products referred to in the content. |
© 2025 by the authors. Licensee MDPI, Basel, Switzerland. This article is an open access article distributed under the terms and conditions of the Creative Commons Attribution (CC BY) license (https://creativecommons.org/licenses/by/4.0/).
Share and Cite
Khan, H.; Alzabut, J.; Tounsi, M.; Almutairi, D.K. AI-Based Data Analysis of Contaminant Transportation with Regression of Oxygen and Nutrients Measurement. Fractal Fract. 2025, 9, 125. https://doi.org/10.3390/fractalfract9020125
Khan H, Alzabut J, Tounsi M, Almutairi DK. AI-Based Data Analysis of Contaminant Transportation with Regression of Oxygen and Nutrients Measurement. Fractal and Fractional. 2025; 9(2):125. https://doi.org/10.3390/fractalfract9020125
Chicago/Turabian StyleKhan, Hasib, Jehad Alzabut, Mohamed Tounsi, and Dalal Khalid Almutairi. 2025. "AI-Based Data Analysis of Contaminant Transportation with Regression of Oxygen and Nutrients Measurement" Fractal and Fractional 9, no. 2: 125. https://doi.org/10.3390/fractalfract9020125
APA StyleKhan, H., Alzabut, J., Tounsi, M., & Almutairi, D. K. (2025). AI-Based Data Analysis of Contaminant Transportation with Regression of Oxygen and Nutrients Measurement. Fractal and Fractional, 9(2), 125. https://doi.org/10.3390/fractalfract9020125

