Interspecific Competition of Plant Communities Based on Fractional Order Time Delay Lotka–Volterra Model
Abstract
1. Introduction
- (1)
- This study introduces fractional order time delay to ecological modeling, offering a more precise approach to capturing the complexities of population competition. The modeling of system interactions in grassland ecosystems has traditionally been constrained by the application of integer order time delay. In this study, the concept of delays is extended to fractional order, providing a more refined and accurate representation of the time delay in ecological interactions. The lack of a unified standard for determining time delay has often resulted in imprecise models. By adopting fractional order time delay, the complexities of population competition relationships are captured more effectively, and the accuracy of ecological predictions is enhanced.
- (2)
- By focusing on intra-lifecycle competition effects and analyzing biomass changes, this study provides new insights into the growth dynamics of individual plant species within grassland ecosystems. Furthermore, the models and methods used in this study can serve as powerful tools for examining plant species competition and its impact on biomass changes. In a general context, these theories and models can be applied to assess whether interspecies competition leads to a decline in biomass and to evaluate the potential risk of degradation. Therefore, this study provides important recommendations and decision-making support for managing plant species competition, particularly in situations where optimizing plant community structure and preventing ecological degradation are of concern.
2. Modeling Theory
2.1. The Lotka–Volterra Model
2.2. The Time Delay Lotka–Volterra Model
2.3. Fitting Accuracy
2.4. Equilibrium Point Solution and Stability Analysis
2.4.1. Solving the Equilibrium Point
2.4.2. Stability Analysis of Equilibrium Point
3. Simulation Experiment and Results
3.1. Overview of the Study Area
3.2. Data Sources
3.3. Model Fitting
4. Analysis and Discussion
4.1. Analysis and Discussion of Interspecies Competitions
4.2. Analysis and Discussion of the Equilibrium Point
- (1)
- The significantly lower biomass of Stipa grandis compared to its equilibrium value suggests strong competitive pressures, requiring long-term monitoring and management to maintain its stable position in the community. Compared to the equilibrium value, the biomass of Stipa grandis is significantly lower than expected, which is a phenomenon that warrants attention. This could be due to strong competitive pressures faced by Stipa grandis under current environmental or management conditions, possibly being suppressed by Agropyron cristatum or limited by its own density effects. If this trend continues without effective management, the community status of Stipa grandis may further weaken. Therefore, long-term monitoring and targeted management measures are necessary to ensure the stable position of Stipa grandis within the community.
- (2)
- The system’s equilibrium point is locally stable, with biomass fluctuations expected in the short term but a general trend toward stability, as indicated by the analysis of eigenvalues. The analysis of eigenvalues indicates that the system’s equilibrium point is locally stable. This means that barring sudden external disturbances, the biomass of the three plant species will eventually stabilize around this equilibrium point. Although there are certain deviations between the measured data and the equilibrium point, overall, the biomass of the ecosystem is converging toward the equilibrium point. Considering the presence of damped oscillations within the system, fluctuations in biomass may be observed in the short term, but the general trend is toward stability.
4.3. Causes and Impacts of Time Delay
4.3.1. The Causes of These Delays
- (1)
- Nutrients absorbed by plant roots require time for conversion into growth. Variations in root depth and absorption efficiency result in delayed nutrient transfer, leading to time lags in competitive effects.
- (2)
- Plants exhibit staggered demands for resources during key growth stages, such as germination, heading, and fruiting, which delay their interactions with other species.
- (3)
- Population density changes trigger adjustments in intra- and interspecies competition. For instance, sudden density increases in one species delay its full impact on others due to physiological and developmental processes.
4.3.2. The Impacts of These Time Delays
- (1)
- Time delays cause damping oscillations, with populations fluctuating around the equilibrium point before stabilizing, rather than converging monotonically.
- (2)
- Grassland communities exhibit delayed responses to external factors like extreme weather or grazing, with effects becoming apparent only after a certain time lag.
5. Conclusions and Implications
5.1. Conclusions
- (1)
- Interspecies competition exhibits distinct feedback and suppression characteristics. Leymus chinensis experiences strong self-density suppression but is significantly promoted by Agropyron cristatum, which, in turn, forms positive feedback with Leymus chinensis while exerting strong suppression on Stipa grandis. Stipa grandis has high growth potential but is heavily suppressed by Agropyron cristatum, while forming strong positive feedback with Leymus chinensis. These interactions dynamically balance promotion and suppression, reflecting the complex competitive dynamics within the grassland community.
- (2)
- The system is locally stable and ultimately converges to an equilibrium point. Eigenvalue analysis and numerical simulations confirm that the system’s equilibrium point remains stable within a local range. Under the combined effects of time delay and self-density suppression, the three species eventually stabilize at approximate values of (0.176, 0.134, 1.287). However, the relatively low biomass of Stipa grandis suggests the need for further monitoring to assess potential risks of population decline or recovery.
- (3)
- Time delays are common and affect the system’s dynamic process. The positive and negative feedback relationships among the grass species do not take effect instantaneously but are subject to different degrees of delay. This results in damping oscillations during the population’s approach to equilibrium. These delays are caused by the species’ own physiological and ecological characteristics as well as adjustments in community structure.
5.2. Implications for Grassland Management
- (1)
- Core species should be prioritized in management strategies, with careful attention to density regulation. Leymus chinensis plays a critical role in promoting other species and self-regulation. Therefore, it should be prioritized for protection. Moderately reducing the density of Agropyron cristatum can alleviate its suppression of Stipa grandis while maintaining its positive impact on Leymus chinensis, which helps sustain a diversified and stable grassland ecosystem.
- (2)
- The crucial role of Leymus chinensis in maintaining ecosystem stability should be emphasized in future conservation efforts. Leymus chinensis shows strong positive promotion or being promoted in its competition with Agropyron cristatum and Stipa grandis, highlighting its core position in maintaining community structure and function. Grassland management strategies should prioritize the protection and management of Leymus chinensis populations, such as timely reseeding and reasonable irrigation, fertilization, or grazing limits, to ensure its healthy development within the community.
- (3)
- Efforts should be made to balance the position of Stipa grandis within the community to prevent further biomass decline. Although Stipa grandis has a relatively high intrinsic growth rate, it is significantly suppressed by Agropyron cristatum and constrained by its own density. If its needs are overlooked in management, Stipa grandis may remain below equilibrium levels, affecting its ecological function. Management efforts should specifically reduce the competitive pressure from Agropyron cristatum and create favorable conditions for Stipa grandis growth, such as reducing canopy competition at appropriate times, ensuring water and nutrient supply, etc.
5.3. Research Outlook
- (1)
- The expansion of the model’s application scope is a key focus of future research. In future research, we plan to extend the model’s application scope by incorporating more environmental factors such as climate change and soil quality, which significantly impact plant dynamics and can help provide a more comprehensive understanding of interspecific competition. Moreover, future work will consider applying the model to different regions and species to verify its generality and stability.
- (2)
- Enhancing computational efficiency while addressing model complexity is essential for practical applications. Although the introduction of a fractional order model increases computational complexity, we believe it represents a necessary step toward improving the model’s predictive accuracy. Future research will focus on validating the model’s performance using a broader range of ecological data and optimizing algorithms to enhance computational efficiency, ensuring the model operates more effectively in practical scenarios. For instance, further exploration of model parameter estimation will include a comparison between the fractional order grey accumulation method [34] and the parameter estimation approach used in this study, highlighting their respective scopes of application and effectiveness.
- (3)
- Future efforts will focus on gathering comprehensive ecological data and validating the model across diverse ecosystems. This includes collecting more field data, particularly long-term ecological data, to better assess the impact of time delay effects on interspecific competition and further test the model’s applicability in long-term ecological dynamics. Moreover, the validation process will extend beyond grassland ecosystems, with applications to other ecosystems providing broader evidence of the model’s generalizability.
Author Contributions
Funding
Data Availability Statement
Acknowledgments
Conflicts of Interest
References
- Zhao, T.; Ouyang, Z.; Jia, L.; Zheng, H. Indirect value evaluation of ecosystem services in Chinese grasslands. Acta Ecol. Sin. 2004, 24, 1101–1110. [Google Scholar]
- Hertzog, L.R.; Meyer, S.T.; Weisser, W.W.; Ebeling, A. Experimental manipulation of grassland plant diversity induces complex shifts in aboveground arthropod diversity. PLoS ONE 2016, 11, e0148785. [Google Scholar] [CrossRef] [PubMed]
- Song, M.; Liu, L.; Chen, J.; Zhang, X. Biodiversity and functional diversity of grassland ecosystems and their optimal management. Ecol. Environ. Sci. 2018, 27, 1179–1188. [Google Scholar]
- Liang, X. Discussion on the mechanism of degradation and restoration succession of Inner Mongolia grassland. Chin. J. Anim. Husb. Vet. Med. 2018, 34, 31–50. [Google Scholar]
- Ford, E.D. The dynamic relationship between plant architecture and competition. Front. Plant Sci. 2014, 5, 275. [Google Scholar] [CrossRef] [PubMed]
- Tilman, D.; Isbell, F.; Cowles, J.M. Biodiversity and ecosystem functioning. Annu. Rev. Ecol. Evol. Syst. 2014, 45, 471–493. [Google Scholar] [CrossRef]
- Aschehoug, E.T.; Brooker, R.; Atwater, D.Z.; Maron, J.L.; Callaway, R.M. The mechanisms and consequences of interspecific competition among plants. Annu. Rev. Ecol. Evol. Syst. 2016, 47, 263–281. [Google Scholar] [CrossRef]
- Zhang, X.; Chen, F.; Chen, X.; Yan, J.; Yin, J.; Zhang, F. Effects of fertilization and competitive growth on the photosynthetic characteristics of invasive plant ragwort and native plants. J. Biol. Saf. 2015, 24, 219–224. [Google Scholar]
- Turk, M.A.; Tawaha, A. Allelopathic effect of black mustard (Brassica nigra L.) on germination and growth of wild oat (Avena fatua L.). Crop Prot. 2003, 22, 673–677. [Google Scholar] [CrossRef]
- Ren, H.; Gao, T.; Hu, J.; Yang, G. The effects of arbuscular mycorrhizal fungi and root interaction on the competition between Trifolium repens and Lolium perenne. PeerJ 2017, 5, e3454. [Google Scholar] [CrossRef][Green Version]
- Liu, Q.; Fu, P.; Ao, X.; Su, M.; Sun, Q. Study on production performance and interspecific competition of italian ryegrass and Villose vetch mixed grassland in winter fallow farmlands. J. Grassl. Sci. 2016, 24, 42–46. [Google Scholar] [CrossRef]
- Colom, S.M.; Baucom, R.S. Belowground competition can influence the evolution of root traits. Am. Nat. 2020, 195, 577–590. [Google Scholar] [CrossRef] [PubMed]
- Saha, S.; Kuehne, C.; Bauhus, J. Intra- and interspecific competition differently influence growth and stem quality of young oaks (Quercus robur L. and Quercus petraea). Ann. For. Sci. 2014, 71, 381–393. [Google Scholar] [CrossRef]
- Teste, F.P.; Kardol, P.; Turner, B.L.; Wardle, D.A.; Zemunik, G.; Renton, M.; Laliberté, E. Plant-soil feedback and the maintenance of diversity in Mediterranean-climate shrublands. Science 2017, 355, 173–176. [Google Scholar] [CrossRef]
- Lotka, A. Elements of Physical Biology; Williams and Wilkins Co.: Baltimore, MD, USA, 1925. [Google Scholar]
- Volterra, V. Variations and fluctuations of the number of individuals in animal species living together. ICES J. Mar. Sci. 1928, 3, 3–51. [Google Scholar] [CrossRef]
- Wang, H.; Zhang, X. Application of the Lotka-Volterra mathematical model in grassland management. J. Grassl. Sci. 2006, 15, 54–57. [Google Scholar]
- Lin, H.; Dong, S. Analysis of interspecific competition effects in mixed sowing of perennial grasses in alpine regions. J. Grassl. Sci. 2003, 12, 79–82. [Google Scholar]
- Zhang, C. Mathematical Model and Computer Simulation Study on the Growth Dynamics of Plants During the Growing Season in Typical Grasslands of Inner Mongolia. Master’s Thesis, Inner Mongolia University, Hohhot, China, 2007. [Google Scholar]
- Wu, X.; Shan, X.; Dong, S.; Gao, X.; Xu, Y.; Zhang, X.; Wu, S.; Hu, Y.; Wen, L.; Liu, S.; et al. Prediction of artificial restoration succession outcomes of degraded alpine grasslands based on the improved Lotka-Volterra interspecies competition model. Acta Ecol. Sin. 2019, 39, 3187–3198. [Google Scholar]
- Montes de Oca, F.; Vivas, M. Extinction in a two-dimensional Lotka-Volterra system with infinite delay. Nonlinear Anal. Real World Appl. 2006, 7, 1042–1047. [Google Scholar] [CrossRef]
- Mao, S.; Zhang, Y.; Kang, Y.; Mao, Y. Coopetition analysis in industry upgrade and urban expansion based on fractional derivative gray Lotka–Volterra model. Soft Comput. 2021, 25, 11485–11507. [Google Scholar] [CrossRef]
- Mao, S.; Xiao, X.; Gao, M.; Wang, X.; He, Q. Nonlinear fractional order grey model of urban traffic flow short-term prediction. J. Grey Syst. 2018, 30, 1–17. [Google Scholar]
- Abbas, M.; Giannino, F.; Iuorio, A.; Ahmad, Z.; Calabró, F. PDE models for vegetation biomass and autotoxicity. Math. Comput. Simul. 2025, 228, 386–401. [Google Scholar] [CrossRef]
- Chen, M. Pattern dynamics of a Lotka-Volterra model with taxis mechanism. Appl. Math. Comput. 2025, 484, 129017. [Google Scholar] [CrossRef]
- Ahmad, Z.; Bonanomi, G.; Cardone, A.; Iuorio, A.; Toraldo, G.; Giannino, F. Fractal-fractional SIRS model for the disease dynamics in both prey and predator with singular and nonsingular kernels. J. Biol. Syst. 2024, 32, 1487–1520. [Google Scholar] [CrossRef]
- Duan, T.; Guo, H.; Qi, X.; Sun, M.; Forrest, J. A novel information enhanced Grey Lotka–Volterra model driven by system mechanism and data for energy forecasting of WEET project in China. Energy 2024, 304, 132176. [Google Scholar] [CrossRef]
- Bonnard, B.; Rouot, J. Feedback classification and optimal control with applications to the controlled Lotka–Volterra model. Optimization 2024, 1–22. [Google Scholar] [CrossRef]
- Yang, Y.; Foster, K.R.; Coyte, K.Z.; Li, A. Time delays modulate the stability of complex ecosystems. Nat. Ecol. Evol. 2023, 7, 1610–1619. [Google Scholar] [CrossRef]
- Kalra, P.; Kumar, P. Role of delay in plant growth dynamics: A two compartment mathematical model. AIP Conf. Proc. 2017, 1860, 02004. [Google Scholar]
- Kumar, P.; Dipesh. Effect of time delay on dynamic of plant competition under allelopathy. Math. Methods Appl. Sci. 2022, 45, 9308–9321. [Google Scholar] [CrossRef]
- Mao, S.; Zhu, M.; Wang, X.; Xiao, X. Grey-Lotka-Volterra model for the competition and cooperation between third-party online payment systems and online banking in China. Appl. Soft Comput. 2020, 95, 106501. [Google Scholar] [CrossRef]
- Leslie, P.H. A stochastic model for studying the properties of certain biological systems by numerical methods. Biometrika 1958, 45, 16–31. [Google Scholar] [CrossRef]
- Zhao, K.; Wu, L.; Yang, T.; Meng, Y.; Chai, B. Agricultural water cuts will intensify the temperature extremes of 30 provinces in China. Stoch. Environ. Res. Risk Assess. 2024, 39, 383–402. [Google Scholar] [CrossRef]







| Interspecific Relationship | General Characteristics | ||
|---|---|---|---|
| + | + | Perfect competition | A and B inhibit each other’s growth |
| – | – | Mutualism | Mutualism between species A and B |
| + | – | Predator–prey | Species B feeds on species A |
| – | + | Predator–prey | Species A feeds on species B |
| + | 0 | Metamorphosis | B is harmful to A, and A has no effect on B |
| 0 | + | Metamorphosis | A is harmful to B, and B has no effect on A |
| – | 0 | Favoritism | B is beneficial to A, and A has no effect on B |
| 0 | – | Favoritism | A is beneficial to B, and B has no influence on A |
| 0 | 0 | Neutral | A and B do not influence each other |
| Name | Abbreviation | Fomula | No. |
|---|---|---|---|
| Mean absolute error | MAE | (15) | |
| Absolute percentage error | APE | (16) | |
| Mean absolute percentage error | MAPE | (17) | |
| Mean square error | MSE | (18) | |
| Root-mean-square error | RMSE | (19) |
| Date | Leymus chinensis (g) | Agropyron cristatum (g) | Stipa grande (g) | Precipitation (mm) | Accumulated Temperature (°C) |
|---|---|---|---|---|---|
| 5.01 | 0.023 | 0.021 | 0.083 | 1.7 | 125.7 |
| 5.16 | 0.053 | 0.040 | 0.163 | 9.2 | 251.5 |
| 5.31 | 0.099 | 0.061 | 0.427 | 10.8 | 443.4 |
| 6.15 | 0.124 | 0.080 | 0.462 | 29.1 | 680.7 |
| 6.30 | 0.141 | 0.097 | 0.536 | 42.9 | 977.6 |
| 7.15 | 0.177 | 0.129 | 0.979 | 85.0 | 1267.3 |
| 7.30 | 0.213 | 0.149 | 1.015 | 101.4 | 1599.0 |
| 8.14 | 0.214 | 0.150 | 1.098 | 107.8 | 1891.7 |
| 8.29 | 0.210 | 0.148 | 1.081 | 118.3 | 2192.8 |
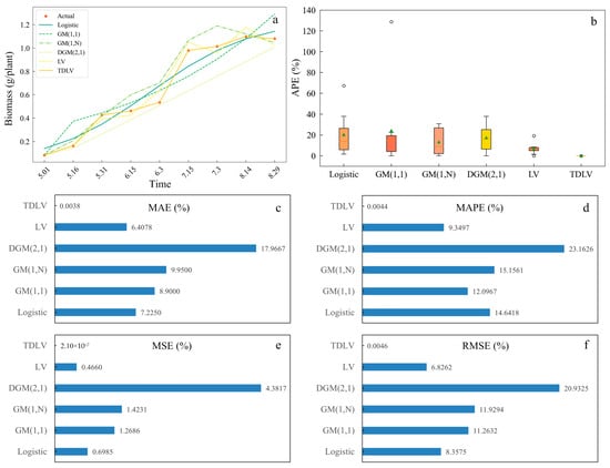
| Date | Actual | Logistic | GM(1,1) | GM(1,N) | DGM(2,1) | LV | TDLV |
|---|---|---|---|---|---|---|---|
| 5.01 | 0.0230 | 0.0380 | —– | —– | —– | —– | —– |
| 5.16 | 0.0530 | 0.0600 | 0.0910 | 0.0550 | 0.0430 | 0.0530 | —– |
| 5.31 | 0.0990 | 0.0890 | 0.1050 | 0.1170 | 0.0800 | 0.0989 | —– |
| 6.15 | 0.1240 | 0.1210 | 0.1210 | 0.1490 | 0.1120 | 0.1222 | 0.1240 |
| 6.30 | 0.1410 | 0.1530 | 0.1390 | 0.1700 | 0.1400 | 0.1459 | 0.1410 |
| 7.15 | 0.1770 | 0.1790 | 0.1600 | 0.2050 | 0.1630 | 0.1711 | 0.1769 |
| 7.30 | 0.2130 | 0.1980 | 0.1840 | 0.2290 | 0.1840 | 0.2114 | 0.2132 |
| 8.14 | 0.2140 | 0.2110 | 0.2110 | 0.2220 | 0.2010 | 0.2141 | 0.2139 |
| 8.29 | 0.2100 | 0.2190 | 0.2430 | 0.2060 | 0.2170 | 0.2146 | 0.2100 |
| MAE (%) | 0.7625 | 1.0000 | 2.0667 | 1.4667 | 0.2376 | 0.0081 | |
| MAPE (%) | 6.0123 | 5.7533 | 14.3300 | 9.5297 | 1.5074 | 0.0479 | |
| MSE (%) | 0.0078 | 0.0198 | 0.0482 | 0.0285 | 0.0011 | 8.85 × 10−7 | |
| RMSE (%) | 0.8811 | 1.4071 | 2.1962 | 1.6892 | 0.3269 | 0.0094 | |
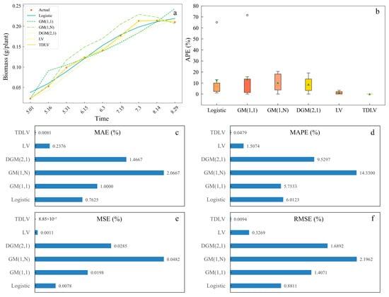
| Date | Actual | Logistic | GM(1,1) | GM(1,N) | DGM(2,1) | LV | TDLV |
|---|---|---|---|---|---|---|---|
| 5.01 | 0.0210 | —– | —– | —– | —– | —– | —– |
| 5.16 | 0.0400 | 0.0450 | 0.0620 | 0.0260 | 0.0330 | 0.0395 | —– |
| 5.31 | 0.0610 | 0.0630 | 0.0720 | 0.0630 | 0.0550 | 0.0645 | —– |
| 6.15 | 0.0800 | 0.0830 | 0.0830 | 0.0800 | 0.0760 | 0.0805 | —– |
| 6.30 | 0.0970 | 0.1030 | 0.0960 | 0.0930 | 0.0940 | 0.0968 | 0.0970 |
| 7.15 | 0.1290 | 0.1220 | 0.1110 | 0.1220 | 0.1100 | 0.1142 | 0.1291 |
| 7.30 | 0.1490 | 0.1370 | 0.1290 | 0.1470 | 0.1250 | 0.1502 | 0.1487 |
| 8.14 | 0.1500 | 0.1490 | 0.1490 | 0.1490 | 0.1380 | 0.1512 | 0.1503 |
| 8.29 | 0.1480 | 0.1570 | 0.1720 | 0.1490 | 0.1500 | 0.1543 | 0.1479 |
| MAE (%) | 0.5625 | 0.9000 | 0.2667 | 1.1333 | 0.3557 | 0.0063 | |
| MAPE (%) | 5.7428 | 8.4761 | 2.4730 | 9.4608 | 3.2646 | 0.0508 | |
| MSE (%) | 0.0044 | 0.0143 | 0.0012 | 0.0190 | 0.0039 | 6.23 × 10−7 | |
| RMSE (%) | 0.6605 | 1.1944 | 0.3512 | 1.3796 | 0.6237 | 0.0079 | |
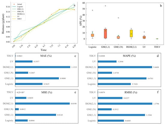
| Date | Actual | Logistic | GM(1,1) | GM(1,N) | DGM(2,1) | LV | TDLV |
|---|---|---|---|---|---|---|---|
| 5.01 | 0.0830 | 0.1390 | —– | —– | —– | —– | —– |
| 5.16 | 0.1630 | 0.2250 | 0.3730 | 0.2070 | 0.1430 | 0.1654 | —– |
| 5.31 | 0.4270 | 0.3480 | 0.4450 | 0.4190 | 0.2650 | 0.3900 | —– |
| 6.15 | 0.4620 | 0.5050 | 0.5310 | 0.6000 | 0.3870 | 0.4247 | —– |
| 6.30 | 0.5360 | 0.6780 | 0.6350 | 0.7020 | 0.5100 | 0.6396 | 0.5360 |
| 7.15 | 0.9790 | 0.8440 | 0.7580 | 1.0660 | 0.6340 | 1.0503 | 0.9789 |
| 7.30 | 1.0150 | 0.9800 | 0.9050 | 1.1900 | 0.7590 | 0.9581 | 1.0146 |
| 8.14 | 1.0980 | 1.0790 | 1.0810 | 1.1210 | 0.8840 | 1.1764 | 1.0989 |
| 8.29 | 1.0810 | 1.1440 | 1.2920 | 1.0470 | 1.0100 | 1.0252 | 1.0807 |
| MAE (%) | 7.2250 | 8.9000 | 9.9500 | 17.9667 | 6.4078 | 0.0038 | |
| MAPE (%) | 14.6418 | 12.0967 | 15.1561 | 23.1626 | 9.3497 | 0.0044 | |
| MSE (%) | 0.6985 | 1.2686 | 1.4231 | 4.3817 | 0.4660 | 2.10 × 10−7 | |
| RMSE (%) | 8.3575 | 11.2632 | 11.9294 | 20.9325 | 6.8262 | 0.0046 | |
Disclaimer/Publisher’s Note: The statements, opinions and data contained in all publications are solely those of the individual author(s) and contributor(s) and not of MDPI and/or the editor(s). MDPI and/or the editor(s) disclaim responsibility for any injury to people or property resulting from any ideas, methods, instructions or products referred to in the content. |
© 2025 by the authors. Licensee MDPI, Basel, Switzerland. This article is an open access article distributed under the terms and conditions of the Creative Commons Attribution (CC BY) license (https://creativecommons.org/licenses/by/4.0/).
Share and Cite
Zhang, J.; Liu, Y.; Liu, J.; Zhang, C.; Chen, J. Interspecific Competition of Plant Communities Based on Fractional Order Time Delay Lotka–Volterra Model. Fractal Fract. 2025, 9, 109. https://doi.org/10.3390/fractalfract9020109
Zhang J, Liu Y, Liu J, Zhang C, Chen J. Interspecific Competition of Plant Communities Based on Fractional Order Time Delay Lotka–Volterra Model. Fractal and Fractional. 2025; 9(2):109. https://doi.org/10.3390/fractalfract9020109
Chicago/Turabian StyleZhang, Jun, Yongzhi Liu, Juhong Liu, Caiqin Zhang, and Jingyi Chen. 2025. "Interspecific Competition of Plant Communities Based on Fractional Order Time Delay Lotka–Volterra Model" Fractal and Fractional 9, no. 2: 109. https://doi.org/10.3390/fractalfract9020109
APA StyleZhang, J., Liu, Y., Liu, J., Zhang, C., & Chen, J. (2025). Interspecific Competition of Plant Communities Based on Fractional Order Time Delay Lotka–Volterra Model. Fractal and Fractional, 9(2), 109. https://doi.org/10.3390/fractalfract9020109

