Uncertainty-Based Scale Identification and Process–Topography Interaction Analysis via Bootstrap: Application to Grit Blasting
Abstract
1. Introduction
1.1. Grit Blasting and Surface Metrology
- •
- Examine the impact of changing a single factor in the process on roughness;
- •
- Consider multiple factors and their interactions;
- •
- Focus on surface analysis to select relevant characterization roughness parameters and observation scales;
- •
- Concern the fractal dimensions of sandblasted surfaces.
1.2. Fractal Philosophy
2. Materials and Methods
2.1. Creation of the Blasted TA6V Surfaces
2.2. Topographical Measurements of the Blasted Surfaces
2.3. Methods of Relative Area Calculation
2.4. Statistical Analysis Based on Bootstrapping
2.4.1. Description of the Adopted Methodology
2.4.2. Simple Bootstrap
Data Preparation and Bootstrapping Sampling
- For each pressure level (2, 3, …, 8 bar), conduct the following:
- •
- Draw 50 random samples with replacement from the 50 original measurements for that pressure level;
- •
- Calculate the mean relative area for that resample;
- •
- Repeat this process multiple times (e.g., 1000 times) to obtain a distribution of bootstrapping means for each pressure.
- For each of the 7 pressures, end up with a set of means from the bootstrapping means.
Regression Analysis for Each Resampling
- •
- Perform a linear regression between the pressure (independent variable) and the corresponding bootstrapping mean surface relative area (dependent variable).
- •
- Calculate the coefficient of determination R2 for this regression. The R2 value will tell us how much the variation in the developed surface area is explained by the variation in the grit blasting pressure.
- •
- Repeat the entire bootstrapping resampling process many times (e.g., 1000 times).
Analysis of the R2 Distribution
- •
- Calculate the mean or median of the R2 values to obtain an overall sense of the fit;
- •
- Estimate confidence intervals (e.g., 95% CI) for R2, giving a range in which the true relationship between the pressure and the surface area likely lies;
- •
- Assess the stability of the relationship by looking at the variability in the R2 values across the bootstrapped samples.
2.4.3. Double Bootstrap Based on Pair Replication
- A first bootstrap on the individual surface area measurements for each pressure level;
- A second bootstrap on the pairs [pressure, surface area means] derived from the first bootstrap.
Data Preparation
First-Level Bootstrap
Second-Level Bootstrap: Bootstrap on Pairs
- Resample pairs: for each iteration, randomly sample pairs [pressure, bootstrapping mean] from the set of 7 pressure levels (with replacement). For example, a bootstrap sample might be [2 bar, mean2], [3 bar, mean3], …, [8 bar, mean8].
- Perform a linear regression: perform a linear regression on the resampled pairs, with pressure as the independent variable and the corresponding bootstrapping mean surface area as the dependent variable.
- Calculate R2: for each resampled pair, calculate the regression coefficient R2, which measures how much the variation in surface area is explained by the variation in pressure.
- Repeat: repeat this entire second-level resampling process many times (e.g., 1000 times) to build a distribution of R2 values.
2.4.4. Double Bootstrap Based on Residuals
- •
- The bootstrap on pairs resamples all the pairs [pressure, surface area mean], which can distort the relationship between the independent (pressure) and dependent (surface area) variables;
- •
- The bootstrap on residuals preserves the structure of the data by resampling only the errors (residuals) of the model, ensuring that the overall relationship between the pressure and the surface area is maintained while introducing variability based on the model accuracy.
First-Level Bootstrap
- The surface area measurements within each pressure group (e.g., 50 samples with replacement) are resampled;
- For each pressure level (2 to 8 bar), the bootstrapping mean is computed;
- This process is repeated (e.g., 1000 times) to obtain a distribution of bootstrapping means for each pressure level.
Second-Level Bootstrap: Bootstrap on Residuals
- •
- All the pairs of pressure and bootstrapping means are resampled;
- •
- For each iteration, the pairs from the set of pressure levels and their corresponding bootstrapping means are sampled randomly (with replacement);
- •
- Then, a new linear regression is calculated, and the regression coefficient R2 is determined.
- Fit an initial regression: After calculating the bootstrapping means for each pressure level, we fit a linear regression between the pressure (independent variable) and these bootstrapping means (dependent variable). We then calculate the residuals, which represent the differences between the actual bootstrapping means and the predicted values from the regression model.
- Resample residuals: Instead of resampling pairs, the residuals are resampled with replacement. These residuals capture the variability in the relationship between the pressure and the surface area.
- Generate new data: For each pressure level, we create new bootstrapping means by adding the resampled residuals to the predicted values from the original regression model (Equation (2)). This step maintains the core structure of the original regression model, ensuring that the relationship between the pressure and the surface area remains intact, while introducing variability based on the residuals.
- Perform regression and calculate R2: We fit a new linear regression to the original pressure values and the newly generated bootstrapping means. The regression coefficient R2 for this resampled dataset is calculated.
- Repeat the process (e.g., 1000 times) to generate a distribution of R2 values, just as we performed in the bootstrap on pairs method.
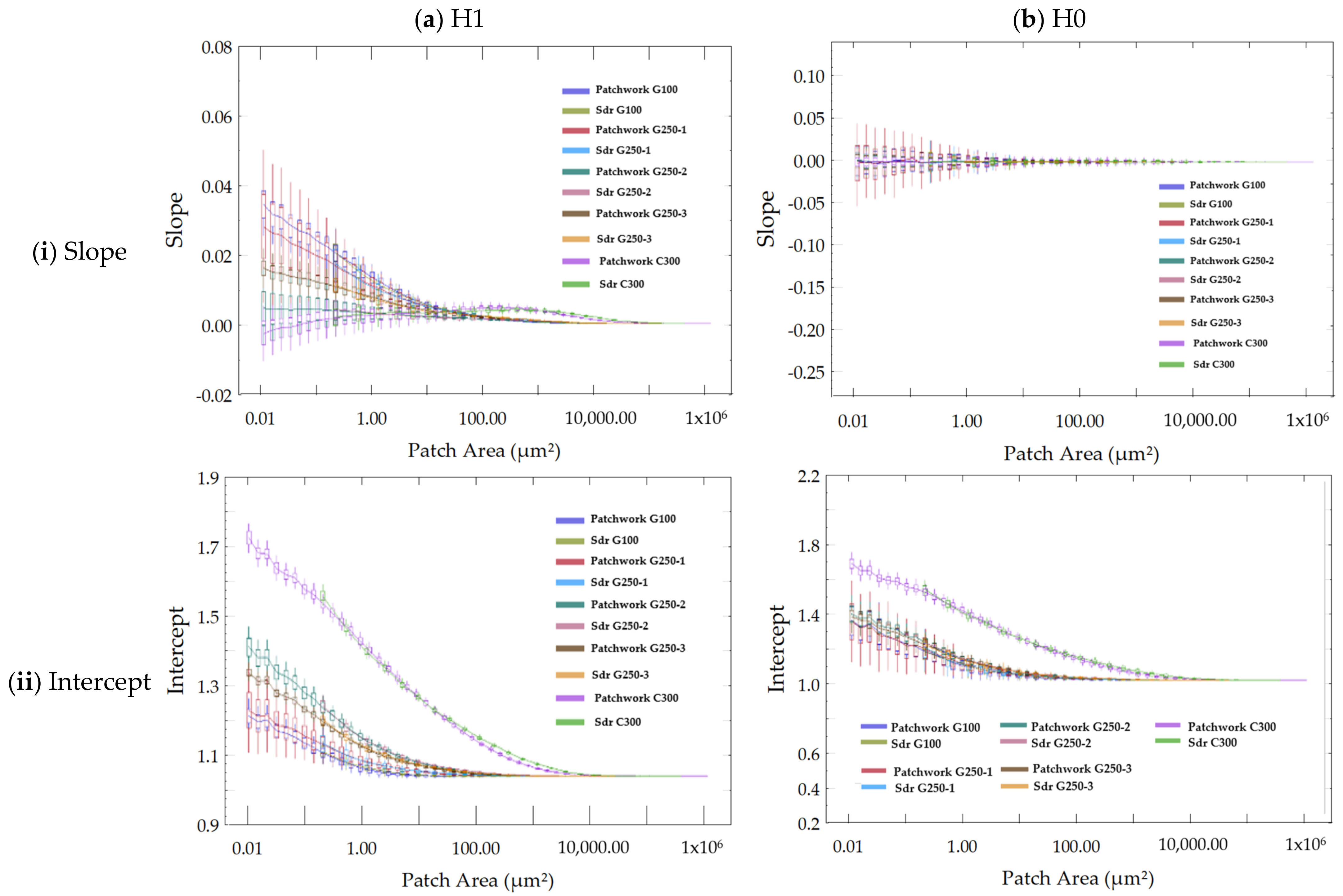
3. Results



4. Discussion
5. Conclusions
Author Contributions
Funding
Data Availability Statement
Conflicts of Interest
Appendix A



Appendix B
| Media | Intercept P5 | R2 P5 | Slope P5 | Intercept P50 | R2 P50 | Slope P50 | Intercept P95 | R2 P95 | Slope P95 |
|---|---|---|---|---|---|---|---|---|---|
| Patchwork method | |||||||||
| G 100 | 0.99994346 | 0.9605421 | 3.1964 × 10−5 | 0.99994994 | 0.98024554 | 3.3521 × 10−5 | 0.99995545 | 0.99069454 | 3.5564 × 10−5 |
| G 250-1 | 0.99994265 | 0.93998527 | 5.6607 × 10−5 | 0.99995483 | 0.95741298 | 5.9307 × 10−5 | 0.99996718 | 0.97144593 | 6.2193 × 10−5 |
| G 250-2 | 1.00001458 | 0.91216793 | 5.0771 × 10−5 | 1.00002897 | 0.94877385 | 5.4101 × 10−5 | 1.00004328 | 0.97272786 | 5.7609 × 10−5 |
| G 250-3 | 0.99996649 | 0.96296679 | 6.356 × 10−5 | 0.99997767 | 0.97724731 | 6.6341 × 10−5 | 0.99998741 | 0.98845025 | 6.9056 × 10−5 |
| C 300 | 1.00101778 | 0.93252007 | 0.00074162 | 1.00123208 | 0.96675567 | 0.00079234 | 1.00145402 | 0.98623911 | 0.00083841 |
| Sdr method | |||||||||
| G 100 | 0.99993077 | 0.91114478 | 2.8109 × 10−5 | 0.99993543 | 0.95429143 | 2.9207 × 10−5 | 0.99993925 | 0.97222884 | 3.0678 × 10−5 |
| G 250-1 | 0.99986366 | 0.94674398 | 7.2577 × 10−5 | 0.99987231 | 0.95471517 | 7.4832 × 10−5 | 0.99988003 | 0.95981093 | 7.7251 × 10−5 |
| G 250-2 | 0.99993112 | 0.96827255 | 6.6163 × 10−5 | 0.99994013 | 0.97783397 | 6.8047 × 10−5 | 0.99994774 | 0.98597727 | 7.0285 × 10−5 |
| G 250-3 | 0.99987676 | 0.94419689 | 7.9193 × 10−5 | 0.99988505 | 0.95428896 | 8.1181 × 10−5 | 0.99989356 | 0.96350047 | 8.3368 × 10−5 |
| C 300 | 1.00045608 | 0.93746278 | 0.00112675 | 1.00067672 | 0.96254004 | 0.0011778 | 1.00088318 | 0.97971935 | 0.00123367 |
| Media | Intercept P5 | R2 P5 | Slope P5 | Intercept P50 | R2 P50 | Slope P50 | Intercept P95 | R2 P95 | Slope P95 |
|---|---|---|---|---|---|---|---|---|---|
| Patchwork method | |||||||||
| G 100 | 0.99998005 | 0.00074667 | −2.59889 × 10−5 | 1.00011303 | 0.0998969 | 7.95122 × 10−7 | 1.00024542 | 0.57852645 | 2.8049 × 10−5 |
| G 250-1 | 1.00000187 | 0.00099695 | −0.00005105 | 1.00024848 | 0.09622853 | 5.4433 × 10−7 | 1.0004976 | 0.58899767 | 4.9761 × 10−5 |
| G 250-2 | 1.00006342 | 0.00116497 | −4.19153 × 10−5 | 1.00028471 | 0.09044521 | 2.79673 × 10−6 | 1.00051083 | 0.55888993 | 4.5329 × 10−5 |
| G 250-3 | 1.00003625 | 0.00088057 | −4.96151 × 10−5 | 1.00028404 | 0.12048242 | −1.49483 × 10−6 | 1.0005359 | 0.64680814 | 4.8274 × 10−5 |
| C 300 | 1.0021071 | 0.0005601 | −0.000653803 | 1.00525864 | 0.08550533 | −1.08371 × 10−5 | 1.00840518 | 0.55558088 | 0.00063065 |
| Sdr method | |||||||||
| G 100 | 0.99996117 | 0.00153102 | −2.35362 × 10−5 | 1.00007958 | 0.10014213 | 5.07146 × 10−7 | 1.00020192 | 0.58251626 | 2.3917 × 10−5 |
| G 250-1 | 0.99993002 | 0.00103109 | −6.52164 × 10−5 | 1.00026373 | 0.08679445 | −3.912 × 10−6 | 1.00057789 | 0.58270044 | 6.2492 × 10−5 |
| G 250-2 | 0.99999004 | 0.00129898 | −5.41773 × 10−5 | 1.00029743 | 0.10132161 | −3.3893 × 10−6 | 1.00055961 | 0.56778929 | 5.7678 × 10−5 |
| G 250-3 | 0.99994349 | 0.00151227 | −6.60741 × 10−5 | 1.00027356 | 0.12006613 | −4.5955 × 10−6 | 1.00057745 | 0.64192854 | 6.2393 × 10−5 |
| C 300 | 1.00188342 | 0.00087451 | −0.000933592 | 1.00663373 | 0.09388461 | −1.4159 × 10−5 | 1.01112943 | 0.56925084 | 0.00091395 |
| Media | Intercept P5 | R2 P5 | Slope P5 | Intercept P50 | R2 P50 | Slope P50 | Intercept P95 | R2 P95 | Slope P95 |
|---|---|---|---|---|---|---|---|---|---|
| Patchwork method | |||||||||
| G 100 | 0.99992846 | 0.93651857 | 2.97081 × 10−5 | 0.99994992 | 0.98765361 | 3.34376 × 10−5 | 0.99996945 | 0.99933642 | 3.9465 × 10−5 |
| G 250-1 | 0.99991799 | 0.85158765 | 5.13625 × 10−5 | 0.99995367 | 0.96156467 | 5.92575 × 10−5 | 0.99999982 | 0.99606657 | 6.6725 × 10−5 |
| G 250-2 | 0.99997389 | 0.88291308 | 4.23452 × 10−5 | 1.00002549 | 0.96352655 | 5.4452 × 10−5 | 1.00010307 | 0.99502698 | 6.745 × 10−5 |
| G 250-3 | 0.99994599 | 0.94350252 | 5.19333 × 10−5 | 0.99997793 | 0.98176962 | 6.61776 × 10−5 | 1.00004143 | 0.99932267 | 7.3596 × 10−5 |
| C 300 | 1.00073813 | 0.88411381 | 0.000691077 | 1.00119264 | 0.97430649 | 0.000793964 | 1.00180254 | 0.99803303 | 0.00091091 |
| Sdr method | |||||||||
| G 100 | 0.99990288 | 0.89934141 | 2.43914 × 10−5 | 0.99993617 | 0.96513054 | 2.91411 × 10−5 | 0.9999516 | 0.99813461 | 3.5923 × 10−5 |
| G 250-1 | 0.99981818 | 0.83799507 | 6.65061 × 10−5 | 0.99987617 | 0.95563311 | 7.46588 × 10−5 | 0.999907 | 0.99924201 | 8.2506 × 10−5 |
| G 250-2 | 0.9998916 | 0.95753257 | 5.96684 × 10−5 | 0.99993774 | 0.98344327 | 6.85639 × 10−5 | 0.99998996 | 0.99888513 | 7.859 × 10−5 |
| G 250-3 | 0.99982669 | 0.90361156 | 5.85351 × 10−5 | 0.99988662 | 0.96528469 | 8.15432 × 10−5 | 0.99997794 | 0.99853208 | 9.2672 × 10−5 |
| C 300 | 0.99986501 | 0.90528018 | 0.001002537 | 1.00060315 | 0.97048401 | 0.001182872 | 1.00176586 | 0.99498155 | 0.00138857 |
| Media | Intercept P5 | R2 P5 | Slope P5 | Intercept P50 | R2 P50 | Slope P50 | Intercept P95 | R2 P95 | Slope P95 |
|---|---|---|---|---|---|---|---|---|---|
| Patchwork method | |||||||||
| G 100 | 0.9999 | 0.00162 | −0.000039 | 1.0001 | 0.18 | −0.0000034 | 1.0003 | 0.89 | 0.000034 |
| G 250-1 | 0.9998 | 0.00219 | −0.00007 | 1.0002 | 0.25 | −0.0000005 | 1.0006 | 0.89 | 0.000081 |
| G 250-2 | 0.9999 | 0.0022 | −0.000071 | 1.0003 | 0.22 | −0.00000234 | 1.0006 | 0.89 | 0.000067 |
| G 250-3 | 0.9998 | 0.00144 | −0.000082 | 1.0002 | 0.27 | 0 | 1.0006 | 0.96 | 0.000085 |
| C 300 | 0.9993 | 0.00198 | −0.001029 | 1.0052 | 0.26 | 0 | 1.0104 | 0.91 | 0.001068 |
| Sdr method | |||||||||
| G 100 | 0.9999 | 0.00161 | −0.000036 | 1 | 0.21 | 0.0000005 | 1.0002 | 0.9 | 0.000035 |
| G 250-1 | 0.9997 | 0.00158 | −0.000092 | 1.0002 | 0.21 | −0.0000014 | 1.0004 | 0.89 | 0.00009 |
| G 250-2 | 0.9998 | 0.0014971 | −8.77189 × 10−5 | 1.0002971 | 0.2115413 | −3.20292 × 10−6 | 1.00074429 | 0.9 | 0.000083 |
| G 250-3 | 0.9997 | 0.0018004 | −0.000108688 | 1.0002212 | 0.2687166 | 4.18523 × 10−6 | 1.00076864 | 0.95 | 0.0001 |
| C 300 | 0.9991 | 0.0018053 | −0.001491175 | 1.0071597 | 0.2177582 | −0.000103172 | 1.0141841 | 0.8828032 | 0.001440755 |
| Media | Intercept P5 | R2 P5 | Slope P5 | Intercept P50 | R2 P50 | Slope P50 | Intercept P95 | R2 P95 | Slope P95 |
|---|---|---|---|---|---|---|---|---|---|
| Patchwork method | |||||||||
| G 100 | 0.999932 | 0.9565443 | 3.00899 × 10−5 | 0.9999498 | 0.9874099 | 3.3551 × 10−5 | 0.99996783 | 0.997883 | 3.72897 × 10−5 |
| G 250-1 | 0.9999097 | 0.9310252 | 5.07515 × 10−5 | 0.9999556 | 0.970523 | 5.93189 × 10−5 | 0.99999789 | 0.9946046 | 6.75171 × 10−5 |
| G 250-2 | 0.9999837 | 0.9172058 | 4.52646 × 10−5 | 1.0000289 | 0.9653095 | 5.42804 × 10−5 | 1.00007403 | 0.992669 | 6.2665 × 10−5 |
| G 250-3 | 0.9999418 | 0.9660482 | 5.87297 × 10−5 | 0.9999777 | 0.9854348 | 6.63596 × 10−5 | 1.00001188 | 0.9970392 | 7.37881 × 10−5 |
| C 300 | 1.0007119 | 0.9295922 | 0.000684518 | 1.0011989 | 0.9806584 | 0.000793258 | 1.00181321 | 0.9973577 | 0.000898461 |
| Sdr method | |||||||||
| G 100 | 0.9999143 | 0.910487 | 2.50086 × 10−5 | 0.9999348 | 0.9705346 | 2.90556 × 10−5 | 0.99995929 | 0.9959154 | 3.37325 × 10−5 |
| G 250-1 | 0.9998133 | 0.9205808 | 6.38924 × 10−5 | 0.9998784 | 0.9650501 | 7.46952 × 10−5 | 0.99992171 | 0.9989289 | 8.52443 × 10−5 |
| G 250-2 | 0.999903 | 0.9680796 | 6.14229 × 10−5 | 0.9999401 | 0.9845218 | 6.83071 × 10−5 | 0.99997368 | 0.9979556 | 7.49173 × 10−5 |
| G 250-3 | 0.9998274 | 0.9370731 | 6.85729 × 10−5 | 0.9998864 | 0.9694675 | 8.09004 × 10−5 | 0.9999449 | 0.9928928 | 9.30415 × 10−5 |
| C 300 | 0.9999004 | 0.9376534 | 0.001023062 | 1.0006449 | 0.9760935 | 0.001181016 | 1.00150702 | 0.9940184 | 0.001328685 |
| Media | Intercept P5 | R2 P5 | Slope P5 | Intercept P50 | R2 P50 | Slope P50 | Intercept P95 | R2 P95 | Slope P95 |
|---|---|---|---|---|---|---|---|---|---|
| Patchwork method | |||||||||
| G 100 | 0.9999299 | 0.0020084 | −3.11653 × 10−5 | 1.0001127 | 0.202859 | 9.53073 × 10−7 | 1.00028281 | 0.7994261 | 3.65729 × 10−5 |
| G 250-1 | 0.9999497 | 0.0023251 | −7.31388 × 10−5 | 1.0002654 | 0.2443196 | −2.80214 × 10−6 | 1.00061606 | 0.8626616 | 6.14137 × 10−5 |
| G 250-2 | 1.0000079 | 0.001991 | −5.11685 × 10−5 | 1.000287 | 0.1917183 | 2.84894 × 10−6 | 1.00056674 | 0.78524 | 5.6151 × 10−5 |
| G 250-3 | 0.9999356 | 0.0029693 | −6.35342 × 10−5 | 1.0002779 | 0.288483 | −6.62178 × 10−7 | 1.00059524 | 0.8713916 | 6.56124 × 10−5 |
| C 300 | 1.0006622 | 0.0018682 | −0.00086555 | 1.0049848 | 0.1982778 | 4.17098 × 10−5 | 1.00951576 | 0.8162126 | 0.000857372 |
| Sdr method | |||||||||
| G 100 | 0.9999363 | 0.0019827 | −3.1144 × 10−5 | 1.0000939 | 0.2274792 | −2.54905 × 10−6 | 1.00024402 | 0.8072309 | 2.78718 × 10−5 |
| G 250-1 | 0.9998456 | 0.0026152 | −7.49781 × 10−5 | 1.0002684 | 0.2167074 | −5.68906 × 10−6 | 1.00064383 | 0.800484 | 7.44384 × 10−5 |
| G 250-2 | 0.999928 | 0.0022781 | −7.96435 × 10−5 | 1.0003079 | 0.2371843 | −5.22383 × 10−6 | 1.00069378 | 0.8569223 | 6.86005 × 10−5 |
| G 250-3 | 0.9998214 | 0.0029229 | −7.80835 × 10−5 | 1.0002386 | 0.2563251 | 1.99542 × 10−6 | 1.00066272 | 0.8536141 | 8.14062 × 10−5 |
| C 300 | 1.0004782 | 0.0020249 | −0.001196388 | 1.0067009 | 0.2076762 | −2.27189 × 10−5 | 1.01303065 | 0.7983381 | 0.001178235 |
References
- Whitehouse, D.J. Handbook of Surface Metrology; Routledge: New York, NY, USA, 2023; ISBN 978-0-203-75260-9. [Google Scholar]
- Leach, R. (Ed.) Characterisation of Areal Surface Texture; Springer: Berlin/Heidelberg, Germany, 2013; ISBN 978-3-642-36457-0. [Google Scholar]
- Chintapalli, R.K.; Rodriguez, A.M.; Marro, F.G.; Anglada, M. Effect of Sandblasting and Residual Stress on Strength of Zirconia for Restorative Dentistry Applications. J. Mech. Behav. Biomed. Mater. 2014, 29, 126–137. [Google Scholar] [CrossRef] [PubMed]
- Anselme, K.; Bigerelle, M. Topography Effects of Pure Titanium Substrates on Human Osteoblast Long-Term Adhesion. Acta Biomater. 2005, 1, 211–222. [Google Scholar] [CrossRef] [PubMed]
- Kim, S.-J.; Kim, T.-H.; Kong, J.-H.; Kim, Y.; Cho, C.-R.; Kim, S.-H.; Lee, D.-W.; Park, J.-K.; Lee, D.; Kim, J.-M. Dual-Scale Artificial Lotus Leaf Fabricated by Fully Nonlithographic Simple Approach Based on Sandblasting and Anodic Aluminum Oxidation Techniques. Appl. Surf. Sci. 2012, 263, 648–654. [Google Scholar] [CrossRef]
- Shen, Y.; Tao, J.; Tao, H.; Chen, S.; Pan, L.; Wang, T. Nanostructures in Superhydrophobic Ti6Al4V Hierarchical Surfaces Control Wetting State Transitions. Soft Matter 2015, 11, 3806–3811. [Google Scholar] [CrossRef]
- Bouzid, S.; Bouaouadja, N. Effect of Impact Angle on Glass Surfaces Eroded by Sand Blasting. J. Eur. Ceram. Soc. 2000, 20, 481–488. [Google Scholar] [CrossRef]
- Zhou, J.; Ai, N.; Wang, L.; Zheng, H.; Luo, C.; Jiang, Z.; Yu, S.; Cao, Y.; Wang, J. Roughening the White OLED Substrate’s Surface through Sandblasting to Improve the External Quantum Efficiency. Org. Electron. 2011, 12, 648–653. [Google Scholar] [CrossRef]
- Su, N.; Yue, L.; Liao, Y.; Liu, W.; Zhang, H.; Li, X.; Wang, H.; Shen, J. The Effect of Various Sandblasting Conditions on Surface Changes of Dental Zirconia and Shear Bond Strength between Zirconia Core and Indirect Composite Resin. J. Adv. Prosthodont. 2015, 7, 214–223. [Google Scholar] [CrossRef]
- Yetik, O.; Koçoğlu, H.; Yıldıran Avcu, Y.; Avcu, E.; Sınmazçelik, T. The Effects of Grit Size and Blasting Pressure on the Surface Properties of Grit Blasted Ti6Al4V Alloy. Mater. Today Proc. 2020, 32, 27–36. [Google Scholar] [CrossRef]
- Wang, H.-Y.; Zhu, R.-F.; Lu, Y.-P.; Xiao, G.-Y.; He, K.; Yuan, Y.F.; Ma, X.-N.; Li, Y. Effect of Sandblasting Intensity on Microstructures and Properties of Pure Titanium Micro-Arc Oxidation Coatings in an Optimized Composite Technique. Appl. Surf. Sci. 2014, 292, 204–212. [Google Scholar] [CrossRef]
- ISO 25178-2:2021; Geometrical Product Specifications (GPS)—Surface Texture: Areal—Part 2: Terms, Definitions, and Surface Texture Parameters. International Organization for Standardization: Geneva, Switzerland, 2021. Available online: https://www.iso.org/fr/standard/74591.html (accessed on 16 April 2023).
- Valverde, G.B.; Jimbo, R.; Teixeira, H.S.; Bonfante, E.A.; Janal, M.N.; Coelho, P.G. Evaluation of Surface Roughness as a Function of Multiple Blasting Processing Variables. Clin. Oral Implant. Res. 2013, 24, 238–242. [Google Scholar] [CrossRef]
- Bobrovskij, I.N. How to Select the Most Relevant Roughness Parameters of a Surface: Methodology Research Strategy. IOP Conf. Ser. Mater. Sci. Eng. 2018, 302, 012066. [Google Scholar] [CrossRef]
- Ho, H.S.; Bigerelle, M.; Vincent, R.; Deltomb, R. Correlation Modeling between Process Condition of Sandblasting and Surface Texture: A Multi-scale Approach. Scanning 2016, 38, 191–201. [Google Scholar] [CrossRef]
- Dong, W.P.; Sullivan, P.J.; Stout, K.J. Comprehensive Study of Parameters for Characterising Three-Dimensional Surface Topography: III: Parameters for Characterising Amplitude and Some Functional Properties. Wear 1994, 178, 29–43. [Google Scholar] [CrossRef]
- Chetwynd, D.G. Slope Measurement in Surface Texture Analysis. J. Mech. Eng. Sci. 1978, 20, 115–119. [Google Scholar] [CrossRef]
- Guo, Y.; Zhou, D.; Li, D.; Zhao, W.; Wang, Y.; Pang, L.; Shi, Z.; Zhou, T.; Sun, S.; Singh, C.; et al. Improved Energy Storage Performance of Sandwich-Structured P(VDF-HFP)-Based Nanocomposites by the Addition of Inorganic Nanoparticles. J. Mater. Chem. C 2023, 11, 6999–7009. [Google Scholar] [CrossRef]
- Barros, H.D.O.; Abreu, R.F.; Abreu, T.O.; de Sousa, W.V.; Nogueira, F.E.A.; do Carmo, F.F.; de Morais, J.E.V.; do Nascimento, J.P.C.; da Silva, M.A.S.; da Silva, R.S.; et al. High Thermal Stability of the Microwave Dielectric Properties of ZnNb2O6 with CaTiO3 Addition. Phys. B Condens. Matter 2024, 695, 416547. [Google Scholar] [CrossRef]
- Persson, B.N.J. On the Fractal Dimension of Rough Surfaces. Tribol. Lett. 2014, 54, 99–106. [Google Scholar] [CrossRef]
- Hutchings, I.M. A Model for the Erosion of Metals by Spherical Particles at Normal Incidence. Wear 1981, 70, 269–281. [Google Scholar] [CrossRef]
- Gillström, P.; Jarl, M. Replacement of Pickling with Shot Blasting for Wire Rod Preparation. Scand. J. Metall. 2004, 33, 269–278. [Google Scholar] [CrossRef]
- Ma, H.M.; Gao, X.-L.; Reddy, J. A Microstructure-Dependent Timoshenko Beam Model Based on a Modified Couple Stress Theory. J. Mech. Phys. Solids 2008, 56, 3379–3391. [Google Scholar] [CrossRef]
- Chaudhri, M.M.; Walley, S.M. Damage to Glass Surfaces by the Impact of Small Glass and Steel Spheres. Philos. Mag. A 1978, 37, 153–165. [Google Scholar] [CrossRef]
- Maeda, H.; Egami, N.; Kagaya, C.; Inoue, N.; Takesita, H.; Ito, K. Analysis of Particle Velocity and Temperature Distribution of Struck Surface in Fine Particle Peening. Trans. Jpn. Soc. Mech. Eng. 2001, 67, 2700–2706. [Google Scholar] [CrossRef]
- Ciszak, C.; Popa, I.; Monceau, D.; Chevalier, S. High Temperature Behaviour of Ti Alloys in Moist Air. Ann. Chim. Sci. Mater. 2015, 39, 149–157. [Google Scholar] [CrossRef]
- Melentiev, R.; Fang, F. Investigation of Erosion Temperature in Micro-Blasting. Wear 2019, 420–421, 123–132. [Google Scholar] [CrossRef]
- Zahouani, H.; Vargiolu, R.; Loubet, J.-L. Fractal Models of Surface Topography and Contact Mechanics. Math. Comput. Model. 1998, 28, 517–534. [Google Scholar] [CrossRef]
- Oshida, Y.; Munoz, C.A.; Winkler, M.M.; Hashem, A.; Itoh, M. Fractal Dimension Analysis of Aluminum Oxide Particle for Sandblasting Dental Use. Bio Med. Mater. Eng. 1993, 3, 117–126. [Google Scholar] [CrossRef]
- Perrotti, V.; Aprile, G.; Degidi, M.; Piattelli, A.; Iezzi, G. Fractal Analysis: A Novel Method to Assess Roughness Organization of Implant Surface Topography. Int. J. Periodontics Restor. Dent. 2011, 31, 632. [Google Scholar]
- Berkmans, F.; Lemesle, J.; Guibert, R.; Wieczorowski, M.; Brown, C.; Bigerelle, M. Two 3D Fractal-Based Approaches for Topographical Characterization: Richardson Patchwork versus Sdr. Materials 2024, 17, 2386. [Google Scholar] [CrossRef]
- Kelechava, B. ASME B46.1-2019: Surface Texture (Roughness, Waviness, Lay). The ANSI Blog, 7 August 2020. [Google Scholar]
- Krystek, M. A Fast Gauss Filtering Algorithm for Roughness Measurements. Precis. Eng. 1996, 19, 198–200. [Google Scholar] [CrossRef]
- Yuan, Y.-B.; Qiang, X.-F.; Song, J.-F.; Vorburger, T.V. A Fast Algorithm for Determining the Gaussian Filtered Mean Line in Surface Metrology☆. Precis. Eng. 2000, 24, 62–69. [Google Scholar] [CrossRef]
- Hara, S.; Tsukada, T.; Sasajima, K. An In-Line Digital Filtering Algorithm for Surface Roughness Profiles. Precis. Eng. 1998, 22, 190–195. [Google Scholar] [CrossRef]
- Blunt, L.; Jiang, X. Advanced Techniques for Assessment Surface Topography: Development of a Basis for 3D Surface Texture Standards ”Surfstand”; Elsevier: Amsterdam, The Netherlands, 2003. [Google Scholar]
- Brinkmann, S. Development of a Robust Gaussian Regression Filter for Three-Dimensional Surface Analysis. In Proceedings of the 10th International Colloquium on Surface, Chemnitz, Germany, 31 January–2 February 2000. [Google Scholar]
- ISO 16610-21:2011; Geometrical Product Specifications (GPS)—Filtration: Part 21: Linear Profiling Filters—Moving Average Filters. International Organization for Standardization: Geneva, Switzerland, 2011. Available online: https://www.iso.org/fr/standard/50176.html (accessed on 18 December 2024).
- Raja, J.; Muralikrishnan, B.; Fu, S. Recent Advances in Separation of Roughness, Waviness and Form. Precis. Eng. 2002, 26, 222–235. [Google Scholar] [CrossRef]
- Sahoo, P.; Barman, T.; Davim, J.P. Fractal Analysis in EDM. In Fractal Analysis in Machining; SpringerBriefs in Applied Sciences and Technology; Springer: Berlin/Heidelberg, Germany, 2011; Volume 3, pp. 69–81. ISBN 978-3-642-17921-1. [Google Scholar]
- Chen, H.; Zhou, Y. Fractal Characteristics of 3D Surface Topography in Laser Machining. IOP Conf. Ser. Mater. Sci. Eng. 2018, 382, 042045. [Google Scholar] [CrossRef]
- Brown, C.A.; Charles, P.D.; Johnsen, W.A.; Chesters, S. Fractal Analysis of Topographic Data by the Patchwork Method. Wear 1993, 161, 61–67. [Google Scholar] [CrossRef]
- Mandelbrot, B. How Long Is the Coast of Britain? Statistical Self-Similarity and Fractional Dimension. Science 1967, 156, 636–638. [Google Scholar] [CrossRef]
- Brown, C.A.; Hansen, H.N.; Jiang, X.J.; Blateyron, F.; Berglund, J.; Senin, N.; Bartkowiak, T.; Dixon, B.; Le Goïc, G.; Quinsat, Y.; et al. Multiscale Analyses and Characterizations of Surface Topographies. CIRP Ann. 2018, 67, 839–862. [Google Scholar] [CrossRef]
- Efron, B.; Tibshirani, R. Bootstrap Methods for Standard Errors, Confidence Intervals, and Other Measures of Statistical Accuracy. Stat. Sci. 1986, 1, 54–75. [Google Scholar] [CrossRef]
- Lieblich, M.; Barriuso, S.; Ibáñez, J.; Ruiz-de-Lara, L.; Díaz, M.; Ocaña, J.L.; Alberdi, A.; González-Carrasco, J.L. On the Fatigue Behavior of Medical Ti6Al4V Roughened by Grit Blasting and Abrasiveless Waterjet Peening. J. Mech. Behav. Biomed. Mater. 2016, 63, 390–398. [Google Scholar] [CrossRef]
- Yang, J.; Song, Y.; Dong, K.; Han, E.-H. Research Progress on the Corrosion Behavior of Titanium Alloys. Corros. Rev. 2023, 41, 5–20. [Google Scholar] [CrossRef]
- Yang, C.-K.; Cheng, C.-P.; Mai, C.-C.; Cheng Wang, A.; Hung, J.-C.; Yan, B.-H. Effect of Surface Roughness of Tool Electrode Materials in ECDM Performance. Int. J. Mach. Tools Manuf. 2010, 50, 1088–1096. [Google Scholar] [CrossRef]
- Bok, W.-M.; Kim, S.-Y.; Lee, S.-J.; Shin, G.-S.; Park, J.-M.; Lee, M.-H. Surface Characteristics and Bioactivation of Sandblasted and Acid-Etched (SLA) Ti-10Nb-10Ta Alloy for Dental Implant. Int. J. Precis. Eng. Manuf. 2015, 16, 2185–2192. [Google Scholar] [CrossRef]
- Bigerelle, M.; Giljean, S.; Anselme, K. Existence of a Typical Threshold in the Response of Human Mesenchymal Stem Cells to a Peak and Valley Topography. Acta Biomater. 2011, 7, 3302–3311. [Google Scholar] [CrossRef]










Disclaimer/Publisher’s Note: The statements, opinions and data contained in all publications are solely those of the individual author(s) and contributor(s) and not of MDPI and/or the editor(s). MDPI and/or the editor(s) disclaim responsibility for any injury to people or property resulting from any ideas, methods, instructions or products referred to in the content. |
© 2025 by the authors. Licensee MDPI, Basel, Switzerland. This article is an open access article distributed under the terms and conditions of the Creative Commons Attribution (CC BY) license (https://creativecommons.org/licenses/by/4.0/).
Share and Cite
Berkmans, F.; Lemesle, J.; Guibert, R.; Wieczorowski, M.; Brown, C.; Bigerelle, M. Uncertainty-Based Scale Identification and Process–Topography Interaction Analysis via Bootstrap: Application to Grit Blasting. Fractal Fract. 2025, 9, 48. https://doi.org/10.3390/fractalfract9010048
Berkmans F, Lemesle J, Guibert R, Wieczorowski M, Brown C, Bigerelle M. Uncertainty-Based Scale Identification and Process–Topography Interaction Analysis via Bootstrap: Application to Grit Blasting. Fractal and Fractional. 2025; 9(1):48. https://doi.org/10.3390/fractalfract9010048
Chicago/Turabian StyleBerkmans, François, Julie Lemesle, Robin Guibert, Michal Wieczorowski, Christopher Brown, and Maxence Bigerelle. 2025. "Uncertainty-Based Scale Identification and Process–Topography Interaction Analysis via Bootstrap: Application to Grit Blasting" Fractal and Fractional 9, no. 1: 48. https://doi.org/10.3390/fractalfract9010048
APA StyleBerkmans, F., Lemesle, J., Guibert, R., Wieczorowski, M., Brown, C., & Bigerelle, M. (2025). Uncertainty-Based Scale Identification and Process–Topography Interaction Analysis via Bootstrap: Application to Grit Blasting. Fractal and Fractional, 9(1), 48. https://doi.org/10.3390/fractalfract9010048

