Fractional-Order Tabu Learning Neuron Models and Their Dynamics
Abstract
1. Introduction
2. Preliminaries and Fractional-Order Tabu Learning Models
2.1. Preliminaries on Fractional-Order Systems
2.2. A Fractional-Order Tabu Learning Single-Neuron Model
2.3. A Fractional-Order Coupled Tabu Learning Two-Neuron Model
3. Dynamics of the Fractional-Order Models
3.1. Stability Analysis of Model (12)
- (2) If , it is easy to know . Then as , one has ; as , one has .
- Therefore, the following conclusions can be drawn:
3.2. Stabilty Analysis of Model (13) with the Decay Rate
- If and , there are
- Due to , with and , we obtain
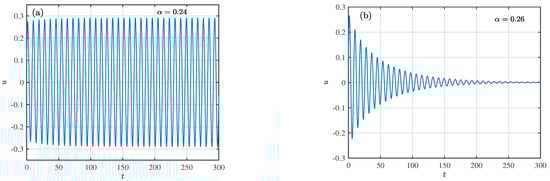
4. Numerical Simulations of the Fraction-Order Models
4.1. Numerical Simulations of Model (12)
4.2. Dynamics of Model (13) with Induced by the Learning Rate
4.3. Dynamic Transitions of Model (13) Induced by the Memory Decay Rate
5. Conclusions
Author Contributions
Funding
Data Availability Statement
Conflicts of Interest
References
- Hodgkin, A.; Huxley, A. A quantitative description of membrane current and its application to conduction and excitation in nerve. J. Physiol. 1952, 117, 500–544. [Google Scholar] [CrossRef] [PubMed]
- Xu, Q.; Wang, Y.; Chen, B.; Li, Z.; Wang, N. Firing pattern in a memristive Hodgkin-Huxley circuit: Numerical simulation and analog circuit validation. Chaos Solitons Fractals 2023, 172, 113627. [Google Scholar] [CrossRef]
- Nagumo, J.; Arimoto, S.; Yoshizawa, S. An Active Pulse Transmission Line Simulating Nerve Axon. Proc. IRE 1962, 50, 2061–2070. [Google Scholar] [CrossRef]
- Njitacke, Z.T.; Ramadoss, J.; Takembo, C.N.; Rajagopal, K.; Awrejcewicz, J. An enhanced FitzHugh–Nagumo neuron circuit, microcontroller-based hardware implementation: Light illumination and magnetic field effects on information patterns. Chaos Solitons Fractals 2023, 167, 113014. [Google Scholar] [CrossRef]
- Yao, Z.; Sun, K.; He, S. Firing patterns in a fractional-order FithzHugh-Nagumo neuron model. Nonlinear Dyn. 2022, 110, 1807–1822. [Google Scholar] [CrossRef]
- Morris, C.; Lecar, H. Voltage oscillations in the barnacle giant muscle fiber. Biophys. J. 1981, 35, 193–213. [Google Scholar] [CrossRef]
- Fan, W.; Chen, X.; Wu, H.; Li, Z.; Xu, Q. Firing patterns and synchronization of Morris-Lecar neuron model with memristive autapse. Int. J. Electron. Commun. (AEÜ) 2023, 158, 154454. [Google Scholar] [CrossRef]
- Hindmarsh, J.; Rose, M. A model of neuronal bursting using three coupled first order differential equations. Proc. R. Soc. B 1984, 221, 87–102. [Google Scholar]
- Xie, Y.; Yao, Z.; Ren, G.; Ma, J. Estimate physical reliability in Hindmarsh-Rose neuron. Phys. Lett. A 2023, 464, 128693. [Google Scholar] [CrossRef]
- Chay, T.R. Chaos in a three-variable model of an excitable cell. Physica D 1985, 16, 233–242. [Google Scholar] [CrossRef]
- Bao, H.; Li, K.; Ma, J.; Hua, Z.; Xu, Q.; Bao, B. Memristive effects on an improved discrete Rulkov neuron model. Sci. China Technol. Sci. 2023, 66, 3153–3163. [Google Scholar] [CrossRef]
- Izhikevich, E.M. Simple model of spiking neurons. IEEE Trans. Neural Netw. 2015, 14, 1569–1572. [Google Scholar] [CrossRef]
- Beyer, D.A.; Ogier, R.G. Tabu learning: A neural network search method for solving nonconvex optimization problems. In Proceedings of the IEEE International Joint Conference on Neural Networks, Singapore, 18–21 November 1991; pp. 953–961. [Google Scholar]
- Bao, B.; Hou, L.; Zhu, Y.; Wu, H.; Chen, M. Bifurcation analysis and circuit implementation for a tabu learning neuron model. Int. J. Electron. Commun. (AEÜ) 2020, 121, 153235. [Google Scholar] [CrossRef]
- Li, C.G.; Chen, G.R.; Liao, X.F.; Yu, J. Hopf bifurcation and Chaos in tabu learning neuron models. Int. J. Bifurc. Chaos 2005, 15, 2633–2642. [Google Scholar] [CrossRef]
- Xiao, M.; Cao, J. Bifurcation analysis on a discrete-time tabu learning model. J. Comput. Appl. Math. 2008, 220, 725–738. [Google Scholar] [CrossRef]
- Li, Y.G. Hopf bifurcation analysis in a tabu learning neuron model with two delays. ISRN Appl. Math. 2011, 2011, 636732. [Google Scholar] [CrossRef][Green Version]
- Bao, B.; Luo, J.; Bao, H.; Chen, C.; Wu, H.; Xu, Q. A simple non-autonomous hidden chaotic system with a switchable stable node-focus. Int. J. Bifurc. Chaos 2019, 29, 1950168. [Google Scholar] [CrossRef]
- Li, Y.; Zhou, X.; Wu, Y.; Zhou, M. Hopf bifurcation analysis of a tabu learning two-neuron model. Chaos Soliton Fract. 2006, 29, 190–197. [Google Scholar] [CrossRef]
- Hou, L.P.; Bao, H.; Xu, Q.; Chen, M.; Bao, B.C. Coexisting infinitely many nonchaotic attractors in a memristive weight-based tabu learning neuron. Int. J. Bifurc. Chaos 2021, 12, 2150189. [Google Scholar] [CrossRef]
- Bao, H.; Ding, R.Y.; Chen, B.; Xu, Q.; Bao, B.C. Two-dimensional non-autonomous neuron model with parameter-controlled multi-scroll chaotic attractors. Chaos Soliton Fract. 2023, 169, 113228. [Google Scholar] [CrossRef]
- Chaudhuri, R.; Fiete, I. Computational principles of memory. Nat. Neurosci. 2016, 19, 394–403. [Google Scholar] [CrossRef] [PubMed]
- Podlubny, I. Fractional Differential Equations; Academic Press: Cambridge, MA, USA, 1999. [Google Scholar]
- Petras, I. Fractional-order memristor-based Chua’s circuit. IEEE T. Circuits-II 2010, 57, 975–979. [Google Scholar] [CrossRef]
- Matignon, D. Stability results for fractional differential equations with applications to control processing. In Proceedings of the IMACS, IEEE-SMC, Lille, France, 9–12 July 1996; pp. 963–968. [Google Scholar]





| Parameters | |||
| / | |||
Disclaimer/Publisher’s Note: The statements, opinions and data contained in all publications are solely those of the individual author(s) and contributor(s) and not of MDPI and/or the editor(s). MDPI and/or the editor(s) disclaim responsibility for any injury to people or property resulting from any ideas, methods, instructions or products referred to in the content. |
© 2024 by the authors. Licensee MDPI, Basel, Switzerland. This article is an open access article distributed under the terms and conditions of the Creative Commons Attribution (CC BY) license (https://creativecommons.org/licenses/by/4.0/).
Share and Cite
Yu, Y.; Gu, Z.; Shi, M.; Wang, F. Fractional-Order Tabu Learning Neuron Models and Their Dynamics. Fractal Fract. 2024, 8, 428. https://doi.org/10.3390/fractalfract8070428
Yu Y, Gu Z, Shi M, Wang F. Fractional-Order Tabu Learning Neuron Models and Their Dynamics. Fractal and Fractional. 2024; 8(7):428. https://doi.org/10.3390/fractalfract8070428
Chicago/Turabian StyleYu, Yajuan, Zhenhua Gu, Min Shi, and Feng Wang. 2024. "Fractional-Order Tabu Learning Neuron Models and Their Dynamics" Fractal and Fractional 8, no. 7: 428. https://doi.org/10.3390/fractalfract8070428
APA StyleYu, Y., Gu, Z., Shi, M., & Wang, F. (2024). Fractional-Order Tabu Learning Neuron Models and Their Dynamics. Fractal and Fractional, 8(7), 428. https://doi.org/10.3390/fractalfract8070428

