Dynamics and Complexity Analysis of Fractional-Order Inventory Management System Model
Abstract
1. Introduction
2. Fractional-Order Inventory Management System Model
2.1. Definition of Fractional-Order Discrete System
2.2. Numerical Solution of Fractional-Order Inventory Management System
3. Dynamics Analysis
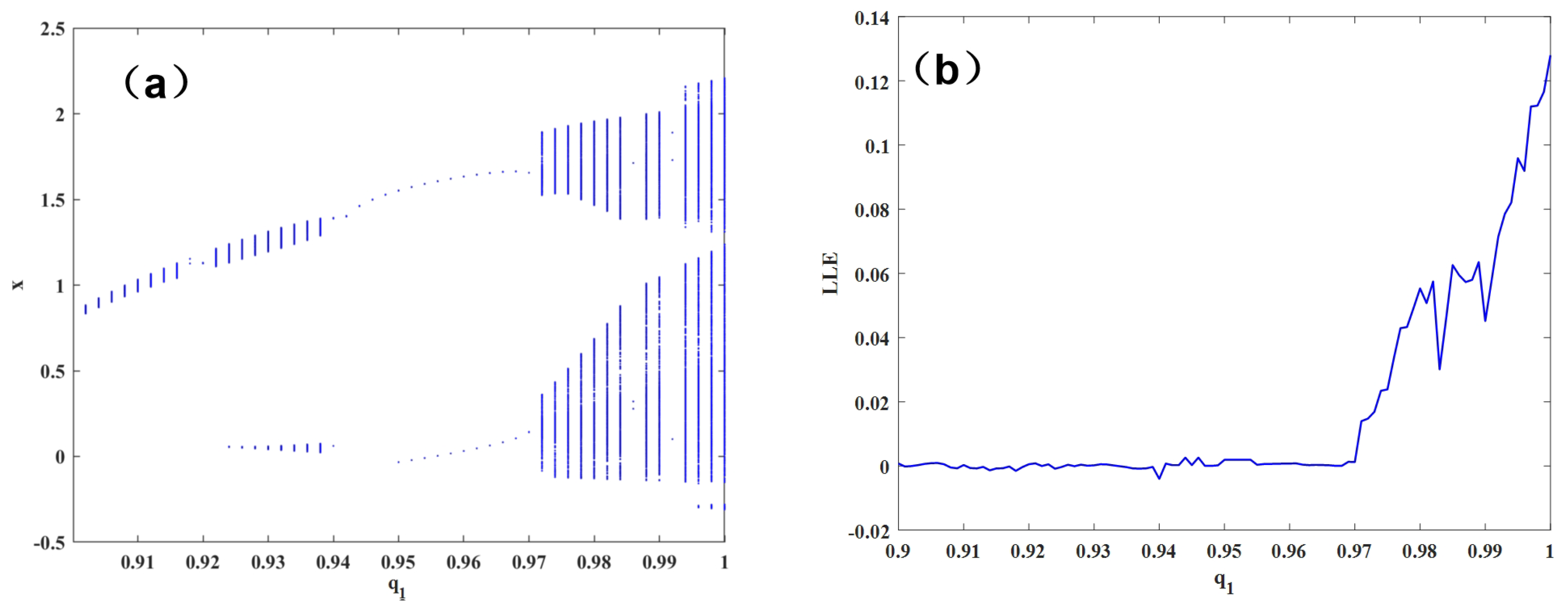
3.1. Fractional-Order Change
3.2. Parameter q Change
3.3. Parameter r Change
4. Complexity Analysis
4.1. SE Complexity Algorithm
4.2. C0 Algorithm
4.3. C0 and SE Complexity of the Model
4.4. C0 and SE Complexity Space of Model
5. Conclusions
Author Contributions
Funding
Institutional Review Board Statement
Informed Consent Statement
Data Availability Statement
Conflicts of Interest
Appendix A
- function Y=FODIMsystems(p, q, s, r, q1, q2, q3, N)
- g1=zeros(1, N);
- g1(1)=gamma(q1);
- for i=1:N
- g1(i+1)=g1(i)∗((i−1+q1)/i);
- end
- g2=zeros(1, N);
- g2(1)=gamma(q2);
- for i=1:N
- g2(i+1)=g2(i)∗((i−1+q2)/i);
- end
- g3=zeros(1, N);
- g3(1)=gamma(q3);
- for i=1:N
- g3(i+1)=g3(i)∗((i−1+q3)/i);
- end
- %% 3
- x=zeros(1, N);
- y=zeros(1, N);
- z=zeros(1, N);
- %% Initial condition
- x(1)=1;
- y(1)=0.12;
- z(1)=0.13;
- %% fractional-order discrete system
- for t=2:N
- for j=2: t
- X(j)=g1(t−j+1)∗(s+p∗z(j−1)−x(j−1));
- Y(j)=g2(t−j+1)∗(q∗x(j−1)+r∗y(j−1)∗z(j−1)−y(j−1));
- Z(j)=g3(t−j+1)∗(1−x(j−1)−y(j−1)+z(j−1)−z(j−1));
- end
- %% sum
- x(t)=x(1)+(1/gamma(q1))∗sum(X);
- y(t)=y(1)+(1/gamma(q2))∗sum(Y);
- z(t)=z(1)+(1/gamma(q3))∗sum(Z);
- end
References
- Deepika, S.; Veeresha, P. Dynamics of chaotic waterwheel model with the asymmetric flow within the frame of Caputo fractional operator. Chaos Solitons Fractals 2023, 169, 113298. [Google Scholar] [CrossRef]
- Li, R.Y.M.; Fong, S.; Chong, K.W.S. Forecasting the REITs and stock indices: Group method of data handling neural network approach. Pac. Rim Prop. Res. J. 2017, 23, 123–160. [Google Scholar] [CrossRef]
- Liu, F.; Yin, B.; Cheng, M.; Feng, Y. n-Dimensional Chaotic Time Series Prediction Method. Electronics 2022, 12, 160. [Google Scholar] [CrossRef]
- Sun, W. Sports Performance Prediction Based on Chaos Theory and Machine Learning. Wirel. Commun. Mob. Comput. 2022, 2022, 3916383. [Google Scholar] [CrossRef]
- Lei, T.; Li, R.Y.M.; Fu, H. Dynamics Analysis and Fractional-Order Approximate Entropy of Nonlinear Inventory Management Systems. Math. Probl. Eng. 2021, 2021, 5516703. [Google Scholar] [CrossRef]
- Yao, H.; Sheng, Z. An improved feedback control method in economic chaos model. J. Syst. Eng. 2002, 6, 507–511+518. [Google Scholar]
- Chen, G.; Yao, H.; Sheng, Z. Synchronous control of chaotic system in inventory management. Forecast 2003, 38–41+24. [Google Scholar]
- Huang, Y. Research on Complex Dynamics of a Specific Inventory Management Model; South China University of Technology: Guangzhou, China, 2012. [Google Scholar]
- Lei, T.; Li, R.Y.M.; Jotikastira, N.; Fu, H.; Wang, C. Prediction for the Inventory Management Chaotic Complexity System Based on the Deep Neural Network Algorithm. Complexity 2023, 2023, 9369888. [Google Scholar] [CrossRef]
- May, R. Simple mathematical models with very complicated dynamics. Nature 1976, 261, 459–467. [Google Scholar] [CrossRef] [PubMed]
- Li, C. A new method of determining chaos-parameter-region for the tent map. Chaos Solitons Fractals 2004, 21, 863–867. [Google Scholar] [CrossRef]
- Huang, W. On complete chaotic maps with tent-map-like structures. Chaos Solitons Fractals 2005, 24, 287–299. [Google Scholar] [CrossRef]
- Orcan, A. Analysis of a new simple one dimensional chaotic map. Nonlinear Dyn. 2014, 78, 771–778. [Google Scholar]
- Pumarino, A.; Rodrıguez, J.; Tatjer, J.; Vigil, E. Chaotic dynamics for two-dimensional tent maps. Nonlinearity 2015, 28, 407–434. [Google Scholar] [CrossRef]
- Lambi, D. A new discrete chaotic map based on the composition of permutations. Chaos Solitons Fractals 2015, 78, 245–248. [Google Scholar] [CrossRef]
- Fridrich, J. Image encryption based on chaotic maps. In Proceedings of the IEEE International Conference on Systems, Orlando, FL, USA, 12–15 October 1997. [Google Scholar]
- Hua, Z.; Zhou, B.; Zhou, Y. Sine-transform-based chaotic system with FPGA implementation. IEEE Trans. Ind. Electron. 2018, 65, 2557–2566. [Google Scholar] [CrossRef]
- Hua, Z.; Wang, Y.; Zhou, Y. Image cipher using a new interactive two-dimensional chaotic map. In Proceedings of the IEEE International Conference on Systems, Man, and Cybernetics, Kowloon Tong, Hong Kong, China, 9–12 October 2015. [Google Scholar]
- Hua, Z.; Zhou, Y. Dynamic parameter-control chaotic system. IEEE Trans. Cybern. 2016, 46, 3330–3341. [Google Scholar] [CrossRef] [PubMed]
- Hua, Z.; Zhou, B.; Zhou, Y. Sine chaotification model for enhancing chaos and its hardware implementation. IEEE Trans. Ind. Electron. 2019, 66, 1273–1284. [Google Scholar] [CrossRef]
- Zang, H.; Huang, H.; Chai, H. Research on homogenization method of a class of quadratic polynomial chaotic systems. J. Electron. Inf. 2019, 41, 1618–1624. [Google Scholar]
- Palacios-Luengas, L.; Delgado-Gutierrez, G.; Cruz-Irisson, M.; Rio-Correa, J.D.; Vazquez-Medina, R. Digital noise produced by a nondiscretized tent chaotic map. Microelectron. Eng. 2013, 112, 264–268. [Google Scholar] [CrossRef]
- Zhu, C.; Li, S.; Lu, Q. Pseudo-random number sequence generator based on chaotic logistic-tent system. In Proceedings of the 2019 IEEE 2nd International Conference on Automation, Electronics and Electrical Engineering (AUTEEE), Shenyang, China, 22–24 November 2019; Springer: Heidelberg, Germeny, 2019; pp. 547–551. [Google Scholar]
- Bao, B.; Li, H.; Wu, H.; Zhang, X.; Chen, M. Hyperchaos in a second-order discrete memristor-based map model. Electron. Lett. 2020, 56, 769–770. [Google Scholar] [CrossRef]
- He, S.; Sun, K.; Peng, Y.; Wang, L. Modelimg of discrete fracmemristor and its application. AIP Adv. 2020, 10, 6. [Google Scholar] [CrossRef]
- Peng, X.; Sun, K.; He, S. A discrete memristor model and its application in Henon map. Chaos Solitons Fractals 2020, 137, 109873. [Google Scholar] [CrossRef]
- Hilfer, R. Applications of Fractional Calculus in Physics; World Scientific Press: Hackensack, NJ, USA, 2001. [Google Scholar]
- He, S.B.; Sun, K.H.; Banerjee, S. Dynamical properties and complexity in fractional-order diffusionless Lorenz system. Eur. Phys. J. Plus Vol. 2016, 131, 254. [Google Scholar] [CrossRef]
- Wu, G.-C.; Baleanu, D. Discrete fractional logistic map and its chaos. Nonlinear Dyn. 2014, 75, 283–287. [Google Scholar] [CrossRef]
- Xin, L.; Shi, X.; Xu, M. Dynamical Analysis and Generalized Synchronization of a Novel Fractional-Order Hyperchaotic System with Hidden Attractor. Axioms 2023, 12, 6. [Google Scholar] [CrossRef]
- Izadi, M.; Srivastava, H.M. Fractional Clique Collocation Technique for Numerical Simulations of Fractional-Order Brusselator Chemical Model. Axioms 2022, 11, 654. [Google Scholar] [CrossRef]
- He, S.; Peng, Y. Kehui He. SEIR modeling of the COVID-19 and its dynamics Nonlinear Dyn. 2020, 101, 13. [Google Scholar]
- Han, W.; Gao, B.; Guo, H. Finite time synchronization of fractional-order brushless DC motor systems by soft variable structure control. In Proceedings of the 2021 33rd Chinese Control and Decision Conference (CCDC), Kunming, China, 22–24 May 2021; pp. 218–223. [Google Scholar] [CrossRef]
- He, S.; Natiq, H.; Banerjee, S.; Sun, K. Complexity and Chimera States in a Network of Fractional-Order Laser Systems. Symmetry 2021, 13, 341. [Google Scholar] [CrossRef]
- Atici, F.M.; Eloe, P.W. lnitial value problems in discrete fractional calculus. Proc. Ofthe Am. Math. Soc. 2008, 137, 981–989. [Google Scholar] [CrossRef]
- Abdeljawad, T. On Riemann and Caputo fractional differences. Comput. Math. Appl. 2011, 62, 1602–1611. [Google Scholar] [CrossRef]
- Philltp, P.A.; Chiu, F.L.; Nick, S.J. Rapidly detecting disorder in rhythmic biological signals: Aspectral entropy measure to identify cardiac arrhyth-mias. Phys. Rev. Stat. Nonlinear Soft Matter Phys. 2009, 79, 100–115. [Google Scholar]
- Chen, F.; Xu, J.H.; Gu, F.J. Dynamic process of in-formation transmission complexity in human brains. J. Biol. Cybern. 2000, 83, 355–366. [Google Scholar] [CrossRef]









Disclaimer/Publisher’s Note: The statements, opinions and data contained in all publications are solely those of the individual author(s) and contributor(s) and not of MDPI and/or the editor(s). MDPI and/or the editor(s) disclaim responsibility for any injury to people or property resulting from any ideas, methods, instructions or products referred to in the content. |
© 2024 by the authors. Licensee MDPI, Basel, Switzerland. This article is an open access article distributed under the terms and conditions of the Creative Commons Attribution (CC BY) license (https://creativecommons.org/licenses/by/4.0/).
Share and Cite
Lei, T.; Li, R.Y.M.; Deeprasert, J.; Fu, H. Dynamics and Complexity Analysis of Fractional-Order Inventory Management System Model. Fractal Fract. 2024, 8, 258. https://doi.org/10.3390/fractalfract8050258
Lei T, Li RYM, Deeprasert J, Fu H. Dynamics and Complexity Analysis of Fractional-Order Inventory Management System Model. Fractal and Fractional. 2024; 8(5):258. https://doi.org/10.3390/fractalfract8050258
Chicago/Turabian StyleLei, Tengfei, Rita Yi Man Li, Jirawan Deeprasert, and Haiyan Fu. 2024. "Dynamics and Complexity Analysis of Fractional-Order Inventory Management System Model" Fractal and Fractional 8, no. 5: 258. https://doi.org/10.3390/fractalfract8050258
APA StyleLei, T., Li, R. Y. M., Deeprasert, J., & Fu, H. (2024). Dynamics and Complexity Analysis of Fractional-Order Inventory Management System Model. Fractal and Fractional, 8(5), 258. https://doi.org/10.3390/fractalfract8050258

