Bifurcation Exploration and Controller Design in a Fractional Oxygen–Plankton Model with Delay
Abstract
1. Introduction
- Discuss the well-posedness of system (4)
- Acquire a delay-independent parameter criterion for bifurcation and stability of system (4).
- Design a hybrid controller to explore the bifurcation control issue and stability domain of system (4).
- Design an extended hybrid controller to explore the bifurcation control issue and stability domain of system (4).
- ⋄
- Relying on the foregone results, we formulate a novel fractional oxygen–plankton model with delay.
- ⋄
- ⋄
- A hybrid controller is effectually formulated to control the generation of bifurcation and stability domain of system (4).
- ⋄
- An extended hybrid controller is availably constructed to control the generation of bifurcation and stability domain of system (4).
- ⋄
- The exploration approach can be put to use to treat the bifurcation control issue for plentiful differential dynamical models in vast fields.
2. Fundamental Principle
3. Well-Posedness
4. Discussion of Bifurcation
5. Hybrid Controller Design for Hopf Bifurcation
6. Extended Hybrid Controller Design for Hopf Bifurcation
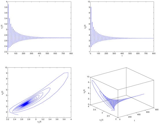
7. Two Illustrated Examples
8. Conclusions
Author Contributions
Funding
Data Availability Statement
Conflicts of Interest
References
- Gökçe, A.; Yazar, S.; Sekerci, Y. Delay induced nonlinear dynamics of oxygen-plankton interactions. Chaos Solitons Fractals 2020, 141, 110327. [Google Scholar] [CrossRef]
- Petrovskii, S.; Sekerci, Y.; Venturino, E. Venturino, Regime shifts and ecological catastrophes in a model of plankton-oxygen dynamics under the climate change. J. Theor. Biol. 2017, 424, 91–109. [Google Scholar] [CrossRef] [PubMed]
- Shukla, J.; Misra, A.; Chandra, P. Mathematical modeling and analysis of the depletion of dissolved oxygen in eutrophied water bodies affected by organic pollutants. Nonlinear Anal. Real World Appl. 2008, 9, 1851–1865. [Google Scholar] [CrossRef]
- Sekerci, Y.; Petrovskii, S. Mathematical modelling of plankton-oxygen dynamics under the climate change. Bull. Math. Biol. 2015, 77, 2325–2353. [Google Scholar] [CrossRef] [PubMed]
- Geng, D.X.; Wang, H.; Jiang, W.H.; Wang, H.B. Double-Hopf bifurcation and Pattern Formation of a Gause-Kolmogorov-Type system with indirect prey-taxis and direct predator-taxis. Commun. Nonlinear Sci. Numer. Simul. 2024, 128, 107647. [Google Scholar] [CrossRef]
- Qi, H.K.; Liu, B. Stationary distribution of a stochastic reaction-diffusion predator-prey model with additional food and fear effect. Appl. Math. Lett. 2024, 150, 108978. [Google Scholar] [CrossRef]
- Sekerci, Y.; Ozarslan, R. Oxygen-plankton model under the effect of global warming with nonsingular fractional order. Chaos Solitons Fractals 2020, 132, 109532. [Google Scholar] [CrossRef]
- Gökçe, A.; Yazar, S.; Sekerci, Y. Sekerci, Stability of spatial patterns in a diffusive oxygen-plankton model with time lag effect. Math. Comput. Simul. 2022, 194, 109–123. [Google Scholar] [CrossRef]
- Guo, Q.; Wang, Y.; Dai, C.; Wang, L.; Liu, H.; Li, J.; Tiwari, P.K.; Zhao, M. Dynamics of a stochastic nutrient-plankton model with regime switching. Ecol. Model. 2023, 477, 110249. [Google Scholar] [CrossRef]
- McEwan, N.; Pawlowicz, R.; Pakhomov, E.; Maldonado, M.T. Seasonality of modelled planktonic food web structure in the Strait of Georgia, Canada. Ecol. Model. 2023, 482, 110402. [Google Scholar] [CrossRef]
- Saha, T.K.; Jany, Z.R.; Yeasmine, S.; Mahmud, Y.; Moniruzzaman, M.; Hossain, Z. Yeasmine, Y. Mahmud, M. Moniruzzaman, Z. Hossain, Impacts of freshwater mussels on planktonic communities and water quality. Heliyon 2023, 9, e15372. [Google Scholar] [CrossRef] [PubMed]
- Wang, C.; Zhao, Y.; Du, P.; Ma, X.; Li, S.; Li, H.; Zhang, W.; Xiao, T. Planktonic ciliate community structure and its distribution in the oxygen minimum zones in the Bay of Bengal (eastern Indian Ocean). J. Sea Res. 2022, 190, 102311. [Google Scholar] [CrossRef]
- Lakhani, K.; Lynch-Stieglitz, J.; Monteagudo, M. Monteagudo, Constraining calcification habitat using oxygen isotope measurements in tropical planktonic foraminiferal tests from surface sediments. Mar. Micropaleontol. 2022, 170, 102074. [Google Scholar] [CrossRef]
- Xie, B.; Zhang, Z. Impact of allee and fear effects in a fractional order prey-predator system incorporating prey refuge. Chaos 2023, 33, 013131. [Google Scholar] [CrossRef] [PubMed]
- Shi, J.P.; He, K.; Fang, H. Chaos, Hopf bifurcation and control of a fractional-order delay financial system. Math. Comput. Simul. 2022, 194, 348–364. [Google Scholar] [CrossRef]
- Ramesh, K.; Kumar, G.R.; Nisar, K.S. A nonlinear mathematical model on the dynamical study of a fractional-order delayed predator-prey scheme that incorporates harvesting together and Holling type-II functional response. Results Appl. Math. 2023, 19, 100390. [Google Scholar] [CrossRef]
- Ali, Z.; Rabiei, F.; Hosseini, K. A fractal Cfractional—order modified predator-prey mathematical model with immigrations. Math. Comput. Simul. 2023, 207, 466–481. [Google Scholar] [CrossRef]
- Ou, W.; Xu, C.J.; Cui, Q.Y.; Pang, Y.C.; Liu, Z.X.; Shen, J.W.; Baber, M.Z.; Farman, M.; Ahmad, S. Hopf bifurcation exploration and control technique in a predator-prey system incorporating delay. AIMS Math. 2023, 9, 1622–1651. [Google Scholar] [CrossRef]
- Li, P.; Gao, R.; Xu, C.; Shen, J.; Ahmad, S.; Li, Y. Exploring the impact of delay on Hopf bifurcation of a type of BAM neural network models concerning three nonidentical delays. Neural Process. Lett. 2023, 55, 5905–5921. [Google Scholar] [CrossRef]
- Xu, C.; Ou, W.; Pang, Y.; Cui, Q.; Rahman, M.U.; Farman, M.; Ahmad, S.; Zeb, A. Hopf bifurcation control of a fractional-order delayed turbidostat model via a novel extended hybrid controller. MATCH Commun. Math. Comput. Chem. 2024, 91, 367–413. [Google Scholar] [CrossRef]
- Xu, C.; Zhao, Y.; Lin, J.; Pang, Y.; Liu, Z.; Shen, J.; Qin, Y.; Farman, M.; Ahmad, S. Mathematical exploration on control of bifurcation for a plankton-oxygen dynamical model owning delay. J. Math. Chem. 2023, 1–31. [Google Scholar] [CrossRef]
- Chinnamuniyandi, M.; Chandran, S.; Xu, C. Fractional order uncertain BAM neural networks with mixed time delays: An existence and Quasi-uniform stability analysis. J. Intell. Fuzzy Syst. 2024, 46, 4291–4313. [Google Scholar] [CrossRef]
- Uddin, M.J.; Rana, S.M.S.; Işık, S.; Kangalgil, F. On the qualitative study of a discrete fractional order prey—Cpredator model with the effects of harvesting on predator population. Chaos Solitons Fractals 2023, 175, 113932. [Google Scholar] [CrossRef]
- Balci, E. Predation fear and its carry-over effect in a fractional order prey-predator model with prey refuge. Chaos Solitons Fractals 2023, 175, 114016. [Google Scholar] [CrossRef]
- Mandal, M.; Jana, S.; Nandi, S.K.; Kar, T.K. Modeling and analysis of a fractional-order prey-predator system incorporating harvesting. Model. Earth Syst. Environ. 2021, 7, 1159–1176. [Google Scholar] [CrossRef]
- Podlubny, I. Fractional Differential Equations; Academic Press: New York, NY, USA, 1999. [Google Scholar]
- Naik, M.K.; Baishya, C.; Veeresha, P. A chaos control strategy for the fractional 3D Lotka-Volterra like attractor. Math. Comput. Simul. 2023, 211, 1–22. [Google Scholar] [CrossRef]
- Matignon, D. Stability results for fractional differential equations with applications to control processing. In Proceedings of the Computational engineering in systems and application multi-conference, Lille, France, 9–12 July 1996; IEEE-SMC Proceedings, Lille, 2. IMACS: Plantation, FL, USA, 1996; pp. 963–968. [Google Scholar]
- Li, H.L.; Zhang, L.; Hu, C.; Jiang, Y.L.; Teng, Z.D. Dynamical analysis of a fractional-order predator-prey model incorporating a prey refuge. J. Appl. Math. Comput. 2017, 54, 435–449. [Google Scholar] [CrossRef]
- Sun, Q.S.; Xiao, M.; Tao, B.B. Local bifurcation analysis of a fractional-order dynamic model of genetic regulatory networks with delays. Neural Process. Lett. 2018, 47, 1285–1296. [Google Scholar] [CrossRef]
- Du, W.T.; Xiao, M.; Ding, J.; Yao, Y.; Wang, Z.X.; Yang, X.S. Fractional-order PD control at Hopf bifurcation in a delayed predator-prey system with trans-species infectious diseases. Math. Comput. Simul. 2023, 205, 414–438. [Google Scholar] [CrossRef]
- Gao, Z. Analytical criterion on stabilization of fractional-order plants with interval uncertainties using fractional-order PDμ controllers with a filter. ISA Trans. 2018, 83, 25–34. [Google Scholar] [CrossRef] [PubMed]












Disclaimer/Publisher’s Note: The statements, opinions and data contained in all publications are solely those of the individual author(s) and contributor(s) and not of MDPI and/or the editor(s). MDPI and/or the editor(s) disclaim responsibility for any injury to people or property resulting from any ideas, methods, instructions or products referred to in the content. |
© 2024 by the authors. Licensee MDPI, Basel, Switzerland. This article is an open access article distributed under the terms and conditions of the Creative Commons Attribution (CC BY) license (https://creativecommons.org/licenses/by/4.0/).
Share and Cite
Zhang, Y.; Xu, C. Bifurcation Exploration and Controller Design in a Fractional Oxygen–Plankton Model with Delay. Fractal Fract. 2024, 8, 190. https://doi.org/10.3390/fractalfract8040190
Zhang Y, Xu C. Bifurcation Exploration and Controller Design in a Fractional Oxygen–Plankton Model with Delay. Fractal and Fractional. 2024; 8(4):190. https://doi.org/10.3390/fractalfract8040190
Chicago/Turabian StyleZhang, Yunzhang, and Changjin Xu. 2024. "Bifurcation Exploration and Controller Design in a Fractional Oxygen–Plankton Model with Delay" Fractal and Fractional 8, no. 4: 190. https://doi.org/10.3390/fractalfract8040190
APA StyleZhang, Y., & Xu, C. (2024). Bifurcation Exploration and Controller Design in a Fractional Oxygen–Plankton Model with Delay. Fractal and Fractional, 8(4), 190. https://doi.org/10.3390/fractalfract8040190

