Next Article in Journal
A Fractal-Based Quantitative Method for the Study of Fracture Evolution of Coal under Different Confining Pressures
Previous Article in Journal
Smooth and Efficient Path Planning for Car-like Mobile Robot Using Improved Ant Colony Optimization in Narrow and Large-Size Scenes
 
 
Font Type:
Arial Georgia Verdana
Font Size:
Aa Aa Aa
Line Spacing:
Column Width:
Background:
Article

Fuzzy Mandelbric Set and Its Perturbations by Dynamical Noises

1
Faculty of Mathematics and Computer Science, Alfa BK University, 11000 Belgrade, Serbia
2
Department of Mathematics, Faculty of Sciences, University of Sakarya, 54050 Sakarya, Turkey
3
School of Electrical and Computer Engineering, Academy of Technical and Art Applied Studies, 11000 Belgrade, Serbia
*
Author to whom correspondence should be addressed.
Fractal Fract. 2024, 8(3), 158; https://doi.org/10.3390/fractalfract8030158
Submission received: 23 January 2024 / Revised: 3 March 2024 / Accepted: 7 March 2024 / Published: 11 March 2024

Abstract

In this paper, we introduce a membership function used to form the fuzzy Mandelbric set and investigate the structural effects of additive and multiplicative dynamic noises on it. The newly defined membership function of this fuzzy set and its perturbations is a generalization of the indicator function for the classical Mandelbric set. We present an algorithm for detecting each complex number’s fuzzy membership degree. Through the use of the membership degrees of each complex number and experimental mathematics based on the visualizations of a variety of versions by utilizing computer-aided design, we gain a deep foresight for the structure characteristics of the additive and multiplicative perturbed fuzzy Mandelbric sets. Our novel approach allows us to identify the symmetry states of the Mandelbric set and its perturbations by the membership degrees of complex numbers, unlike the existing methods described in the literature.
MSC:
03E72; 37F45; 28A80

1. Introduction

In the 1960s and 1970s, Benoit B. Mandelbrot noticed that computers made some errors while he was working at IBM. He saw a recurring pattern when he divided the time scalars of these errors into months, weeks, days, hours, minutes, seconds, and milliseconds. At this point, he created new images using graphics computer code and gave the gift of a new term fractal to the literature. This led to the development of a completely different branch of mathematics. Moreover, Mandelbrot discovered the most famous fractal of mathematics in 1982 and produced the first pictures of this fractal, [1,2]. Subsequently, Douady and Hubbard [3] named this fractal the Mandelbrot set. After this discovery, the topological, algebraic, algorithmic, or visual properties of this fractal were investigated in detail by many researchers with different approaches. It is still an attractive study area. Those who came after Mandelbrot did not just obtain a lot of striking results related to this famous set but also generalized it in various ways. Generalizing the Mandelbrot set is a relatively new problem. There are some generalization methods, and the remarkable ones are the modifications on the order of polynomial representation, escape time algorithm, or iterated function system such as the studies of Gujar and Bhavsar [4] and Papathomas and Julesz [5]. The generalized Mandelbrot (also called Multibrot) sets have been considered in detail for the cases of degree d of the map to be an integer, non-integer, positive, or negative in the literature [6,7,8,9,10,11,12]. Especially, the case of d = 3 was addressed by Parisé and Rochon in [13], and M 3 is called a Mandelbric set.
While all these developments continue, the graphical exploration of noise-perturbed fractal sets began to be investigated starting in the mid-1980s. The notion of noise has been studied widely based on the idea of making perfectly deterministic systems improbable in real life since stochastic noise is present in most systems. Dynamical noise is the term for noise that interferes with a dynamical system’s evolution. Depending on how the dynamical noise affects the system, it might be either additive or multiplicative. The analytic and non-analytic perturbations of the Mandelbrot map were expressed in a two-parameter deformation family of this map [14]. Immediately afterward, the Julia set of the perturbed Mandelbrot map was investigated in detail [15,16]. Moreover, the noise-perturbed generalized Mandelbrot sets were considered by [17], and by composing the additive and multiplicative noise, the perturbations of the generalized Mandelbrot set were also searched in [18]. With the aid of developing computer drawing tools, this realm of study has blossomed rapidly and attracted significant interest in recent years [19,20,21,22,23,24]. For instance, Wang et al. presented a fractional Mandelbrot set [25], studied its dynamics in some detail [26], and then presented the impact of scale, memory, and impulse parameters on Mandelbrot sets and their fractal dimension [27]. In order to create a new way of simulating fractal growth, a modified fractional diffusion-limited aggregation model was presented in [28]. Additionally, the fractional quantum Julia set was introduced, which was based on the fractional q-difference [29]. This allowed comparing fractional fractal sets with classical Mandelbrot and Julia sets.
A new approach for the Mandelbrot set was also recently presented in [30] depending on fuzzy set theory, which generalizes the classical set theory. As it is known, in a world with imprecise, uncertain, and partial knowledge, the conventional set theory is insufficiently expressive to provide the characterizations of input–output relations. A fuzzy set is introduced as a collection with nonspecific boundaries, and the degree of membership of an element in a fuzzy set is a number in the unit interval [31,32]. The new definition of fuzzy Mandelbrot set inspired the researchers to combine the two separated principles called the superior Mandelbrot set and fuzzy set in [33]. In addition to them in [34], the generalized fuzzy Mandelbrot and Mandelbar sets were researched in detail by assigning a membership value to each complex number under the iterations, even if the orbit of any complex number is not limited. In a recent study, fuzzy Julia sets as well as fuzzy superior Julia sets were examined, and additionally, a comparison of fuzzy Julia sets and fuzzy Mandelbrot sets was given in [35]. Nevertheless, to the best of the authors’ knowledge, neither the fuzzy Mandelbric set has been examined standalone nor investigated the effects of its disturbances.
In light of the aforementioned existing discoveries, we have assigned a membership value to each complex number based on the velocities of escaping from the Mandelbric set that determines the grade of being an element of the fuzzy set. Moreover, we have discussed how dynamical additive or multiplicative noise affects this fuzzy Mandelbric set such that, with the aid of the new membership function, we have shown how the symmetry axes of the fuzzy Mandelbric set with additive noise perturbation change. Thus, we have seen that the regions of the complex numbers with the same membership degrees make a translation movement when additive noise perturbs them. We have proved that, even if the multiplicative noise does not disrupt the symmetry states of the fuzzy Mandelbric set, we have seen that the region of the complex numbers of the membership degree 1 in the fuzzy set is squeezed when multiplicative noise perturbs it.
Consequently, our novel approach determines the symmetry states of these fuzzy sets by leveraging the membership degrees of complex numbers, a departure from conventional methodologies in contrast to the established techniques documented in the recent literature. Since fractal-based techniques have been considered in signal processing for tasks such as image and data compression or encryption, newly discovered fuzzy fractals may be useful in these application areas.

2. Preliminaries

Let us recall some definitions and theorems to be used in the sequel and provide insight into the fuzzy Mandelbric set.
Definition 1. 
Let f be an iteration function given by f d , c z = z d + c for a real number d 2 . The set M d = c C f d , c k ( 0 ) is called a generalized Mandelbrot set (or multibrot) of degree d [4,5].
The generalized Mandelbrot set of degree d = 2 corresponds to the renowned Mandelbrot set [1,2,3]. If the degree is d = 3 , then the Mandelbric set is formed [13]. The following theorems and lemma provide insight into making sense of the generalized Mandelbrot set [13].
Theorem 1. 
For all complex numbers c in M d , c 2 1 d 1 [13].
Lemma 1. 
f d , c n 0 c c d 1 1 n 1 for all n N , provided that c d 1 > 2 for any integer d 2 and c C [13].
Theorem 2. 
A complex number c is in M d if and only if f d , c k 0 2 1 d 1 for all k N [13].
A formal definition of a fuzzy set and related notions are given below.
Definition 2. 
A fuzzy set A = x , μ A x x X is called a fuzzy set where μ A : X 0 , 1 is a membership function. The reference set X is called the universe of discourse. The family of all fuzzy sets defined on a universe of discourse X is denoted by F X [31].
A is called normal if μ A x = 1 for any x X , [31];
The support set of a fuzzy set A is supp A = x X μ A x > 0 , [31,32];
The α cut and strong α cut of a fuzzy set A are A α = x X μ A x α and A α + = x X μ A x > α for α 0 , 1 , respectively, [31,32].
By integrating the ideas of fuzzy sets explained in Definition 2 and generalized Mandelbrot sets presented in Definition 1, the definition of the generalized fuzzy Mandelbrot set of degree d was provided in [34]. Considering the special case of the degree of d = 3 enables us to introduce the fuzzy Mandelbric set and its noise perturbations simultaneously in the following section.

3. Fuzzy Mandelbric Set and its Perturbations

In this section, after introducing the fuzzy Mandelbric set and its perturbations visualizing it, we generate an algorithm to identify each complex number’s membership degree.
Definition 3. 
Let M m , a 3 = c , μ c c C , μ : C 0 , 1 be defined by the membership function given as
μ c = 1 , if f c , m , a n 0 2 for all n N , f c , m , a k 1 0 f c , m , a k 0 , if f c , m , a k 1 0 2 < f c , m , a k 0 for a k N .
(i) 
M 0 , 0 3  is called a fuzzy Mandelbric set provided that the iteration function is given by f c , 0 , 0 n 0 = f c , 0 , 0 n 1 0 3 + c .
(ii) 
M 0 , a 3 is called a fuzzy Mandelbric set with additive dynamic noise provided that the iteration function is given by f c , 0 , a n 0 = f c , 0 , a n 1 0 3 + c + a , where a = a 1 + i a 2 is the additive noise variable and a 1 , a 2 R are the parameters specifying the intensity of noise.
(iii) 
M m , 0 3 is called fuzzy Mandelbric set with multiplicative dynamic noise provided that the iteration function is given by f c , m , 0 n 0 = f c , m , 0 n 1 0 3 + m 1 Re f c , m , 0 n 1 0 3 + i m 2 Im f c , m , 0 n 1 0 3 + c where m = ( m 1 , m 2 ) and m 1 , m 2 R are the parameters specifying the multiplicative intensityof noise.
Remark 1. 
For notational simplicity, M 0 , 0 3 , M 0 , a 3 , M m , 0 3 will be denoted by M 3 , M a 3 , M m 3 and f c , 0 , 0 0 , f c , 0 , a 0 , f c , m , 0 0 will be denoted by f c 0 , f c , a 0 , f c , m 0 , respectively.
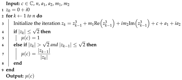
The following Algorithm 1 allows us to identify the membership of any element c in the fuzzy Mandelbric set or its perturbations.
Algorithm 1: Membership degree algorithm.
Fractalfract 08 00158 i001

3.1. Fuzzy Mandelbric Set

First, we especially consider the fuzzy Mandelbric set M 3 to compare it with its additive and multiplicative noise perturbations given in the following subsection. For this purpose, we give some examples of determining the membership degrees of some given points and interpret the membership degrees of these points via the gray-scale figure of M 3 to be drawn. We examine its topological and geometric characteristics and also visualize its three-dimensional images. Since the computer cannot handle infinitely many iterations, the maximum number of iterations should be restricted in order to depict the fuzzy Mandelbric set. Thus, let us draw the rough views of this fuzzy set in some ascending order of finite maximum iteration numbers—see Figure 1.
Obviously, for further thought on the fuzzy Mandelbric set, we must increase the maximal number of iterations. In light of this, we gave the graphics of the fuzzy Mandelbric set for 200 iteration numbers but now from different side views in Figure 2.
In the following examples, we calculate the membership degrees of some complex numbers conventionally to understand the running logic of the foregoing Algorithm 1. We spot these points in the gray-scale graph of the fuzzy Mandelbric set. Brightening tones of gray from black to white pixels correspond to the increasing membership degrees from 0 to 1 of complex numbers, as can be seen in Figure 3.
Example 1. 
If we consider the complex number c = i , it is evident that the iteration sequence is { 0 , i , 0 , i , } , that is, f i 2 n 0 = 0 , and f i 2 n + 1 0 = i . Naturally, it is true that μ i = 1 because f i n 0 2 for all implementation stages, then i , 1 M 3 .
Example 2. 
If we consider the complex number c = 0.5 , we find the iteration sequence
{ 0 , 0.5 , 0.625 , 0.744140625 , 0.912064351141453 , 1.25871111035762 , 2.49424355374414 , }
and it tends to infinity. Thus, it is seen that f 0.5 5 0 2 and f 0.5 6 0 > 2 at the sixth iteration implementation stage k = 6 . Then, μ 0.5 1.258 2.49 0.5046 .
Example 3. 
If we consider the complex number c = 1 i 3 , we get the iteration sequence
0 , 1 i 3 , 5 3 35 i 27 , 2021 729 176311 i 19683 , 60912196335545 94143178827 + 3903257425610665 i 7625597484987 ,
which tends to infinity. So, it is seen that f 1 i 3 1 0 = 10 3 2 and f 1 i 3 2 0 = 5 130 27 > 2 at the second iteration implementation stage k = 2 . Hence, μ 0 0.4992 .
Example 4. 
If we consider the complex number c = 1 2 + i , we obtain the iteration sequence
0 , 1 2 + i , 7 8 + 3 i 4 , 669 512 + 589 i 256 , 2418554615 134217728 + 40603275 i 67108864 ,
which tends to infinity. Thereby, it is seen that f 1 2 + i 2 0 = 85 8 2 and f 1 2 + i 3 0 = 1835245 512 > 2 at the third iteration implementation stage m = 3 . Therefore, μ 1 2 + i 0.4356 .
Example 5. 
If we take the complex number c = 1 i 2 , the iteration sequence is
0 , 1 i 2 , 5 4 15 i 8 , 2619 256 1381 i 512 ,
and it tends to infinity. Thus, it is seen that f 1 i 2 0 = 5 2 2 and also it is true that f 1 i 2 2 0 = 5 13 8 > 2 at the second iteration implementation stage m = 2 . Consequently, μ 1 i 2 0.4961 .
Example 6. 
If we consider the complex number c = 3 i 2 , the iteration sequence is
0 , 3 i 2 , 15 i 8 , 4143 i 512 , 70910985615 i 134217728 ,
and it tends to infinity. Thereby, it is obvious that f 3 i 2 0 0 = 0 2 and f 3 i 2 1 0 = 1.5 > 2 for the first iteration implementation stage m = 1 . So, 3 i 2 , 0 M 3 since μ 3 i 2 = 0 1.5 = 0 .
Figure 3 immediately brings to mind the following lemmas.
Lemma 2. 
The fuzzy set c , μ c c C , μ : C 0 , 1 is empty if and only if c > 2 or f c n 0 > 2 for all n N .
Proof. 
Here, we have to show that μ c = 0 iff c > 2 . Obviously, μ c = 0 iff f c 0 0 f c 1 0 = 0 , since f c s 0 0 for any s > 0 . This requires that μ c = 0 iff f c 0 0 = 0 2 and f c 1 0 = c > 2 . The second proposition is obvious by Definition 3 that μ c = 0 iff f c n 0 > 2 for all n N . So, the proof is completed. □
Subsequently, based on Lemma 2, we can draw the following results.
Corollary 1. 
s u p p M 3 is the closed set c , μ c c 2 .
Corollary 2. 
s u p p M 3 is compact.
From Lemma 2, we know that the empty fuzzy set c μ c = 0 corresponds to the open crisp set c c > 2 , and from Corollary 1, we recall that the support of the fuzzy Mandelbric set supp M 3 = c μ c > 0 corresponds to the closed set c c 2 . Also, one can notice that the core of the fuzzy Mandelbric set c μ c = 1 corresponds to the classical Mandelbric set, a well-known closed set. Accordingly, it is compact.
Besides the topology of the fuzzy Mandelbric set, the geometry of this fuzzy set is required to be investigated.
Lemma 3. 
M 3 is symmetric with respect to the real axis.
Proof. 
Primarily, let us μ c = 1 that is to say f c n 0 2 for every n N . Then, f c ¯ n 0 2 since f c n 0 = f c ¯ n 0 such that the iteration is f c n 0 = f c n 1 0 3 + c for all n N . Hence, it is obtained that μ c ¯ = 1 . Then, let us μ c = f c k 1 0 f c k 0 whenever f c k 0 > 2 and f c k 1 0 2 for a k N . Thereby, it is clear that f c k 0 = f c ¯ k 0 > 2 and f c k 1 0 = f c ¯ k 1 0 2 for the evaluation k N . So,
μ c = f c k 1 0 f c k 0 = f c ¯ k 1 0 f c ¯ k 0 = μ c ¯ .
As a result, it is obtained that μ c ¯ = μ c so that the proof is completed. □
Lemma 4. 
M 3 is symmetric with respect to the origin.
Proof. 
Let us prove that f c n 0 = f c n 0 for n N by induction. It is true that
f c 1 0 = c 3 + c = c 3 + c = f c 1 0 for n = 1 ,
f c 2 0 = c 3 + c 3 + c = c 3 + c 3 + c = f c 2 0 for n = 2 .
Suppose that f c k 0 = f c k 0 is true for n = k . Then, we see
f c k + 1 0 = f c k 0 3 + c = f c k 0 3 c = f c k + 1 0
is true for n = k + 1 .
By keeping this equality in mind, first, let us begin with μ c = 1 , we know f c n 0 2 for all n N . Then, f c n 0 2 since f c n 0 = f c n 0 for each n N . Hence, it is obtained that μ c = 1 . Secondly, let us μ c = f c k 1 0 f c k 0 whenever f c k 0 > 2 and f c k 1 0 2 for a k N .
Thereby, it is clear that f c k 0 > 2 and f c k 1 0 2 for the evaluation k N . So,
μ c = f c k 1 0 f c k 0 = f c k 1 0 f c k 0 = f c k 1 0 f c k 0 = μ c .
As a result, μ c = μ c , and this completes the proof. □
Corollary 3. 
M 3 is symmetric with respect to the imaginary axis.
Proof. 
It is known μ c = μ c ¯ from Lemma 3. Also, μ c = μ c from Lemma 4. Consequently, μ c = μ c ¯ . □
Theorem 3. 
The membership function μ R c : R 0 , 1 of a fuzzy set M R = c , μ R c c R is piece-wise continuous if it is defined by
μ R c = 0 , c , 2 2 , + , f c k 1 0 f c k 0 , c 2 , 1 2 1 2 , 2 , 1 , c 1 2 , 1 2 ,
such that f c k 1 0 2 < f c k 0 for k 2 , 3 , .
Proof. 
(1)
μ R is continuous for c , 2 2 , + since μ R c = 0 is a constant function.
(2)
μ R is continuous for c 1 2 , 1 2 since μ R c = 1 is constant, too.
(3)
There are the following cases for different iteration steps when c 2 , 1 2 1 2 , 2 . Let us examine only the case of c 1 2 , 2 , since there is a symmetry property with respect to the imaginary axis. The case of c 2 , 1 2 is shown in a similar manner.
  • If the sequence f c k 0 k N escapes from the Mandelbric set in the second iteration step m = 2 , there is c 2 < c 3 + c . It is found that
    1 4 + 1 < c 2 + 1 2 + 1 , 5 c 4 < c 3 + c 3 c , 1 3 c c 3 + c < 4 5
    because of 1 2 < c 2 , see Figure 4.
  • If the sequence f c k 0 k N escapes from the Mandelbric set in the third iteration step m = 3 , there is c < c 3 + c 2 < c 3 + c 3 + c . Thus, we see c c 3 + c < 1 and c 3 + c 2 2 . These inequalities give us 1 < c 3 + c 3 + c c 3 + c = c 3 + c 2 + c c 3 + c < 3 . Consequently, 1 3 < c 3 + c c 3 + c 3 + c < 1 is obtained, see Figure 5.
  • It is c . . . f c k 1 0 2 < f c k 0 for any step k th . Then, it is clear that c f c k 1 0 < 1 . f c k 1 0 2 + c f c k 1 0 < 3 is obtained if the party gathers f c k 1 0 2 2 and c f c k 1 0 < 1 . On the other hand, 1 3 < μ R c < 1 is obtained from f c k 1 0 f c k 0 < 1 since f c k 1 0 2 < f c k 0 , see Figure 6.
Similarly, μ R c 1 3 , 1 is obtained for c 2 , 1 2 as the k = 2 , 3 , iteration steps diverge to infinity. Since the monotone functions defined on an interval are continuous when c 2 , 1 2 or c 1 2 , 2 , μ R is continuous. Hence, the proof is completed. □

3.2. Noise Perturbations of Fuzzy Mandelbric Set

On the basis of Definition 3, fuzzy Mandelbric sets with different noise strengths a and m are illustrated in Figure 7, Figure 8, Figure 9 and Figure 10. By varying the levels of noise, the experimental outcomes have been seen in the following. To compare the effects of these noises on the fuzzy Mandelbric set, all membership values of the same complex numbers are calculated and given in Table 1, Table 2, Table 3 and Table 4.

3.2.1. Additive Noise Perturbation

Let us consider the fuzzy Mandelbric set M a 3 with additive noise variable a = a 1 + i a 2 where the iteration function is f c , a n 0 = f c , a n 1 0 3 + c + a . By considering c = c a , it is easily seen that all of those the complex numbers c for which the corresponding orbit of 0 that does not escape to infinity by iteration formula
f c , a n 0 = f c , a n 1 0 3 + c a + a = f c n 0
constitutes the fuzzy Mandelbric set M 3 without additive dynamic noise. Thus, M a 3 is a transformation of M 3 along the direction of a.
Lemma 5. 
M a = a 1 + i a 2 3 is symmetric with respect to the point M a 1 , a 2 .
Proof. 
Let us prove that
f 2 a c ¯ , a n 0 = f c ¯ , a n 0
for all n N by induction. It is true that
f 2 a c ¯ , a 0 0 = 2 a c ¯ + a = c ¯ + a = f c ¯ , a 0 0 for n = 0 ,
f 2 a c ¯ , a 1 0 = c ¯ + a 3 2 a c ¯ + a = c ¯ + a 3 + c ¯ + a = f c ¯ , a 1 0 for n = 1 ,
f 2 a c ¯ , a 2 0 = c ¯ + a 3 + c ¯ + a 3 2 a c ¯ + a = f c ¯ , a 2 0 for n = 2 .
Suppose that f 2 a c ¯ , a k 0 = f c ¯ k 0 is true for n = k . Then, we prove that
f 2 a c ¯ , a k + 1 0 = f 2 a c ¯ , a k 0 3 2 a c ¯ + a   = f c ¯ , a k 0 3 c ¯ a   = f c ¯ , a k 0 3 + c ¯ + a   = f c ¯ , a k + 1 0
is true for n = k + 1 .
Now, let us consider μ 2 a c ¯ = 1 . In this case, it is satisfied that f 2 a c ¯ , a n 0 2 for all n N . Then, f c ¯ , a n 0 2 since f 2 a c ¯ , a n 0 = f c ¯ , a n 0 for each n N . Hence, it is obtained that μ c ¯ = 1 . Secondly, let us prove that μ 2 a c ¯ 1 . Then, there is a k N providing f 2 a c ¯ , a k 0 > 2 and f 2 a c ¯ , a k 1 0 2 . So,
μ 2 a c ¯ = f 2 a c ¯ , a k 1 0 f 2 a c ¯ , a k 0 = f c ¯ , a k 1 0 f c ¯ , a k 0 = μ c ¯ .
This means that
μ 2 a 1 c 1 i 2 a 2 c 2 = μ c 1 i c 2
where c = c 1 + i c 2 . Because it is well known that the symmetry of any point C c 1 , c 2 with respect to point M a 1 , a 2 is C 2 a 1 c 1 , 2 a 2 c 2 , the proof is completed. □
The following corollary is a direct result of the previous Lemma.
Corollary 4. 
M a = a 1 + i a 2 3 is symmetric with respect to the axis y = a 2 when a 1 = 0 and it is symmetric with respect to the axis x = a 1 when a 2 = 0 .
The numerical values in Table 1 demonstrate that the complex numbers with the membership degree 1 and 0 are, respectively, white and black pixels, and the other membership values correspond to the pixels of different tones of gray in Figure 7. Additionally, it is evident from the graphics in Figure 7 that M a = a 1 + i a 2 3 is symmetric with respect to the axis y = a 2 when a 1 = 0 and it is symmetric with respect to the axis x = a 1 when a 2 = 0 . While the graphics show that regions of complex numbers with the same membership degrees make a translation movement when additive noise perturbs the fuzzy Mandelbric set, Table 1 shows that the membership of complex numbers can change under such an effect.

3.2.2. Multiplicative Noise Perturbation

Let us consider the fuzzy Mandelbric set M m 3 with the parameters specifying the multiplicative intensity of noise m 1 , m 2 R where the iteration function is
f c , m n 0 = f c , m n 1 0 3 + m 1 Re f c , m n 1 0 3 + i m 2 Im f c , m n 1 0 3 + c .
The experimental investigations for the fuzzy Mandelbric set M m 3 given below show that, although the region of the complex numbers with membership degree 1 is compressed, their symmetries around the real and imaginary axes and the origin are preserved.
Lemma 6. 
M m 3 is symmetric with respect to the real axis.
Proof. 
Let us prove that f c , m n 0 = f c ¯ , m n 0 ¯ for all n N by induction. It is true that, for n = 0 , 1 , 2 , it can be seen below;
f c , m 0 0 = c = f c ¯ , m 0 0 ¯ , f c , m 1 0 = c 3 + m 1 x 3 + i m 2 y 3 + c = c ¯ 3 + m 1 x 3 i m 2 y 3 + c ¯ ¯ = f c ¯ , m 1 0 ¯ , f c , m 2 0 = f c , m 1 0 3 + m 1 Re f c , m 1 0 3 + i m 2 Im f c , m 1 0 3 + c = f c ¯ , m 1 0 ¯ 3 ¯ + m 1 Re f c ¯ , m 1 0 ¯ 3 i m 2 Im f c ¯ , m 1 0 ¯ 3 + c ¯ ¯ = f c ¯ , m 2 0 ¯ .
Suppose that f c , m k 0 = f c ¯ , m k 0 ¯ is true for n = k . Then, it is obvious that
f c , m k + 1 0 = f c , m k 0 3 + m 1 Re f c , m k 0 3 + i m 2 Im f c , m k 0 3 + c = f c ¯ , m k 0 ¯ 3 + m 1 Re f c ¯ , m k 0 ¯ 3 + i m 2 Im f c ¯ , m k 0 ¯ 3 + c = = f c ¯ , m k 0 ¯ 3 ¯ + m 1 Re f c ¯ , m k 0 ¯ 3 i m 2 Im f c ¯ , m k 0 ¯ 3 + c ¯ ¯ = f c ¯ , m k + 1 0 ¯
is true for n = k + 1 .
First, let us prove that μ c = 1 , that is to say, f c n 0 2 for every n N . Then, f c ¯ n 0 2 since f c n 0 = f c ¯ n 0 ¯ = f c ¯ n 0 for all n N . Hence, it is obtained that μ c ¯ = 1 . Now, let us prove that μ c 1 , that is, μ c = f c k 1 0 f c k 0 whenever f c k 0 > 2 and f c k 1 0 2 for a k N . Since f c k 0 = f c ¯ k 0 ¯ = f c ¯ k 0 > 2 and f c k 1 0 = f c ¯ k 1 0 ¯ = f c ¯ k 1 0 2 for the evaluation k N , there is the relation
μ c = f c k 1 0 f c k 0 = f c ¯ k 1 0 ¯ f c ¯ k 0 ¯ = f c ¯ k 1 0 f c ¯ k 0 = μ c ¯ .
As a result, it is obtained that μ c ¯ = μ c so that the proof is completed. □
Lemma 7. 
M m 3 is symmetric with respect to the origin.
Proof. 
It is easy to prove that f c , m n 0 = f c , m n 0 for all n N where the iteration function is
f c , m n 0 = f c , m n 1 0 3 + m 1 Re f c , m n 1 0 3 + i m 2 Im f c , m n 1 0 3 + c .
by induction.
μ c = f c m 1 0 f c m 0 = f c m 1 0 f c m 0 = f c m 1 0 f c m 0 = μ c .
As a result, μ c = μ c , and this completes the proof. □
Corollary 5. 
M m 3 is symmetric with respect to the imaginary axis.
Proof. 
The proof is a direct result of μ c = μ c ¯ by the facts μ c = μ c ¯ from Lemma 6 and μ c = μ c from Lemma 7. □
The numerical experiments show that the complex numbers with the membership degree 0 in Table 2, Table 3 and Table 4 are the black pixels in the graphics in Figure 8, Figure 9 and Figure 10, and this membership degree does not change even if multiplicative noise perturbs it. However, the complex numbers with the membership degree 1 in M m 1 = m 2 = 0 3 can decrease, which means that the region of white pixels is compressed under the effects of multiplicative noise. Moreover, the assertions about symmetry states in Lemmas 6, 7, and Corollary 5 are obviously seen in Figure 8, Figure 9 and Figure 10, that is, their symmetries around the real and imaginary axes and the origin are preserved.

4. Conclusions

In the present paper, we introduced a membership function used to form the fuzzy Mandelbric set and investigated the structural influences of additive and multiplicative dynamic noises on this fuzzy set by assigning a membership degree to each complex number. For this purpose, we presented an algorithm and various 3D and gray-scale figures. The brightening tones of gray from black to white of pixels on the gray-scale graphs of these fuzzy sets correspond to the increasing membership degrees from 0 to 1 of complex numbers. We demonstrated the symmetries of the noise-perturbed fuzzy Mandelbric sets by importing the experimental mathematics method combining membership functions of complex numbers and computer-aided design.
The novelties of this work can be drawn as follows:
A membership function μ is defined to construct the fuzzy Mandelbric set M 3 and its noise perturbations M a 3 and M m 3 , simultaneously.
The support set of the fuzzy Mandelbric set M 3 is closed and compact.
M 3 is symmetric with respect to the real and imaginary axes and origin.
The membership function μ R induced from C to R is piece-wise continuous;
The region of complex numbers of the membership degree 1 in the fuzzy set M 3 makes a translation movement when additive noise perturbs it.
M a = a 1 + i a 2 3 is symmetric with respect to the point M a 1 , a 2 .
The region of the complex numbers of the membership degree 1 in the fuzzy set M 3 is squeezed when multiplicative noise perturbs it.
The symmetries of M m 3 about the real and imaginary axes and therefore the origin are preserved.
Subsequent research endeavors could delve deeper into investigating the generalized fuzzy Mandelbrot and Julia sets, incorporating their noise perturbations. This exploration may extend to analyzing the structural impacts of diverse noise perturbations on these sets and unraveling their inherent relationships among topological or geometric properties.

Author Contributions

Conceptualization, S.E.; formal analysis, N.P., S.E., İ.İ., A.S. and V.B.; funding acquisition; N.P., investigation, N.P., S.E., İ.İ., A.S. and V.B.; methodology, N.P., S.E., İ.İ., A.S. and V.B.; supervision, S.E.; visualization, S.E.; writing—original draft, İ.İ.; writing—review and editing, N.P., S.E., İ.İ., A.S. and V.B. All authors have read and agreed to the published version of the manuscript.

Funding

This research received no specific grants from any funding agencies.

Data Availability Statement

Data sharing is not applicable to this article.

Conflicts of Interest

The authors declare no conflicts of interest.

References

  1. Mandelbrot, B.B. Fractal aspects of the iteration of zλz(1 − z) for complex λ and z. Ann. N. Y. Acad. Sci. 1980, 357, 249–259. [Google Scholar] [CrossRef]
  2. Mandelbrot, B.B. The Fractal Geometry of Nature; W. H. Freeman and Co.: San Francisco, CA, USA, 1982. [Google Scholar]
  3. Douady, A.; Hubbard, J.H. Itération des polynômes quadratiques complexes. [Iteration of complex quadratic polynomials]. CR Acad. Sci. Paris Sér. I Math. 1982, 294, 123–126. (In French) [Google Scholar]
  4. Gujar, G.U.; Bhavsar, C.V. Fractals from zz α + c in the complex c-plane. Comput. Graph. 1991, 15, 441–449. [Google Scholar] [CrossRef]
  5. Papathomas, T.V.; Julesz, B. Animation with fractals from variations on the Mandelbrot set. Vis. Comput. 1987, 3, 23–26. [Google Scholar] [CrossRef]
  6. Barnsley, M.F. Fractals Everywhere; Academic Press Professional: Boston, MA, USA, 1993. [Google Scholar]
  7. Falconer, K. Fractal Geometry: Mathematical Foundations and Applications; John Wiley and Sons Inc: New York, NY, USA, 2003. [Google Scholar]
  8. Gulick, D. Encounters with Chaos and Fractals; CRC Press: Boca Raton, FL, USA, 2012. [Google Scholar]
  9. Hutchinson, J.E. Fractals and self-similarity. Indiana Univ. Math. J. 1981, 30, 713–747. [Google Scholar] [CrossRef]
  10. Lakhtakia, A.; Varadan, V.V.; Messier, R.; Varadan, V.K. On the symmetries of the Julia sets for the process zzp + c. J. Phys. A 1987, 20, 3533–3535. [Google Scholar] [CrossRef]
  11. Mañé, R.; Sad, P.; Sullivan, D. On the dynamics of rational maps. Ann. Sci. École. Norm Sup. 1983, 16, 193–217. [Google Scholar] [CrossRef]
  12. Rochon, D. A generalized Mandelbrot set for bicomplex numbers. Fractals 2000, 8, 355–368. [Google Scholar] [CrossRef]
  13. Parisé, P.O.; Rochon, D. A study of dynamics of the tricomplex polynomial ηp + c. Nonlinear Dyn. 2015, 82, 157–171. [Google Scholar] [CrossRef]
  14. Argyris, J.; Andreadis, I.; Karakasidis, T.E. On perturbations of the Mandelbrot map. Chaos Solitons Fractals 2000, 11, 1131–1136. [Google Scholar] [CrossRef]
  15. Argyris, J.; Karakasidis, T.E.; Andreadis, I. On the Julia set of the perturbed Mandelbrot map. Chaos Solitons Fractals 2000, 11, 2067–2073. [Google Scholar] [CrossRef]
  16. Argyris, J.; Karakasidis, T.E.; Andreadis, I. On the Julia sets of a noise-perturbed Mandelbrot map. Chaos Solitons Fractals 2002, 13, 245–252. [Google Scholar] [CrossRef]
  17. Wang, X.Y.; Wang, Z.; Lang, Y.; Zhang, Z.F. Noise perturbed generalized Mandelbrot sets. J. Math. Anal. Appl. 2008, 347, 179–187. [Google Scholar] [CrossRef]
  18. Wang, X.Y.; Jia, R.H.; Zhang, Z.F. The generalized Mandelbrot set perturbed by composing noise of additive and multiplicative. Appl. Math. Comput. 2009, 210, 107–118. [Google Scholar]
  19. Agarwal, R.; Agarwal, V. Dynamic noise perturbed generalized superior Mandelbrot sets. Nonlinear Dyn. 2012, 67, 1883–1891. [Google Scholar] [CrossRef]
  20. Andreadis, I.; Karakasidis, T.E. On a topological closeness of perturbed Mandelbrot sets. Appl. Math. Comput. 2010, 215, 3674–3683. [Google Scholar] [CrossRef]
  21. Andreadis, I.; Karakasidis, T.E. On a closeness of the Julia sets of noise-perturbed complex quadratic maps. Int. J. Bifurc. Chaos 2012, 22, 1250221. [Google Scholar] [CrossRef]
  22. Rani, M.; Agarwal, R. Effect of stochastic noise on superior Julia sets. J. Math. Imaging Vis. 2010, 36, 63. [Google Scholar] [CrossRef]
  23. Sun, T.; Wang, D. The symmetry in the noise-perturbed Mandelbrot set. Symmetry 2019, 11, 577. [Google Scholar] [CrossRef]
  24. Wang, D.; Liu, X.Y. On the noise-perturbed spatial Julia set generated by Lorenz system. Commun. Nonlinear Sci. Numer. Simul. 2017, 50, 229–240. [Google Scholar] [CrossRef]
  25. Wang, Y.; Liu, S.; Li, H. New fractal sets coined from fractional maps. Fractals 2021, 29, 2150270. [Google Scholar] [CrossRef]
  26. Wang, Y.; Li, X.; Wang, D.; Liu, S. A brief note on fractal dynamics of fractional Mandelbrot sets. Appl. Math. Comput. 2022, 432, 127353. [Google Scholar] [CrossRef]
  27. Wang, Y.; Li, X.; Liu, S.; Li, H. Fractional Mandelbrot sets with impulse. Chin. J. Phys. 2024. [Google Scholar] [CrossRef]
  28. Wang, Y.; Liu, S.; Li, H. Fractional diffusion-limited aggregation: Anisotropy originating from memory. Fractals 2019, 27, 1950137. [Google Scholar] [CrossRef]
  29. Wang, Y. Fractional quantum Julia set. Appl. Math. Comput. 2023, 453, 128077. [Google Scholar] [CrossRef]
  30. İnce, İ.; Ersoy, S. Fuzzy Mandelbrot sets. Fuzzy Sets Syst. 2022, 435, 78–88. [Google Scholar] [CrossRef]
  31. Zadeh, L.A. Fuzzy sets. Inf. Control 1965, 8, 338–353. [Google Scholar] [CrossRef]
  32. Pu, P.M.; Liu, Y.M. Fuzzy topology I. Neighborhood structure of a fuzzy point and Moore-Smith convergence. J. Math. Anal. Appl. 1980, 76, 571–599. [Google Scholar]
  33. Mahmood, T.; Ali, Z. Fuzzy superior Mandelbrot sets. Soft Comput. 2022, 26, 9011–9020. [Google Scholar] [CrossRef]
  34. İnce, İ.; Ersoy, S. Generalized fuzzy Mandelbrot and Mandelbar sets. Commun. Nonlinear Sci. Numer. Simul. 2023, 118, 107045. [Google Scholar] [CrossRef]
  35. Mu, B. Fuzzy Julia Sets and Fuzzy Superior Julia Sets. Highlights Sci. Eng. Technol. 2023, 72, 375–380. [Google Scholar] [CrossRef]
Figure 1. Approximate images of fuzzy Mandelbric set for the finite maximum iteration numbers n.
Figure 1. Approximate images of fuzzy Mandelbric set for the finite maximum iteration numbers n.
Fractalfract 08 00158 g001
Figure 2. Perspective view of the fuzzy Mandelbric set for 200 iteration number and its parallel projections to the x y , y z , and x z planes, respectively.
Figure 2. Perspective view of the fuzzy Mandelbric set for 200 iteration number and its parallel projections to the x y , y z , and x z planes, respectively.
Fractalfract 08 00158 g002aFractalfract 08 00158 g002b
Figure 3. The complex numbers i , 1 2 , 1 i 3 , 1 2 + i , 1 i 2 , 3 i 2 on the gray-scale graphic of the fuzzy Mandelbric set M 3 .
Figure 3. The complex numbers i , 1 2 , 1 i 3 , 1 2 + i , 1 i 2 , 3 i 2 on the gray-scale graphic of the fuzzy Mandelbric set M 3 .
Fractalfract 08 00158 g003
Figure 4. The graph of function μ R c = c c 3 + c .
Figure 4. The graph of function μ R c = c c 3 + c .
Fractalfract 08 00158 g004
Figure 5. The graph of function μ R c = c 3 + c c 3 + c 3 + c .
Figure 5. The graph of function μ R c = c 3 + c c 3 + c 3 + c .
Fractalfract 08 00158 g005
Figure 6. The graph of function μ R c = f c k 1 0 f c k 0 for m = 100 .
Figure 6. The graph of function μ R c = f c k 1 0 f c k 0 for m = 100 .
Fractalfract 08 00158 g006
Figure 7. Fuzzy Mandelbric sets under additive noise perturbations.
Figure 7. Fuzzy Mandelbric sets under additive noise perturbations.
Fractalfract 08 00158 g007
Figure 8. Fuzzy Mandelbric sets under multiplicative noise perturbations when m 1 changes and m 2 = 0 .
Figure 8. Fuzzy Mandelbric sets under multiplicative noise perturbations when m 1 changes and m 2 = 0 .
Fractalfract 08 00158 g008aFractalfract 08 00158 g008b
Figure 9. Fuzzy Mandelbric sets under multiplicative noise perturbations when m 2 changes and m 1 = 0 .
Figure 9. Fuzzy Mandelbric sets under multiplicative noise perturbations when m 2 changes and m 1 = 0 .
Fractalfract 08 00158 g009
Figure 10. Fuzzy Mandelbric sets under multiplicative noise perturbations when m 1 and m 2 change at the same time.
Figure 10. Fuzzy Mandelbric sets under multiplicative noise perturbations when m 1 and m 2 change at the same time.
Fractalfract 08 00158 g010
Table 1. Membership values of some c C in M a 1 + i a 2 3 under some additive noise perturbations.
Table 1. Membership values of some c C in M a 1 + i a 2 3 under some additive noise perturbations.
M a = 0 + i 0 3   M a = 0 i 0.5 3 M a = 0.5 + i 0 3 M a = 0.5 + i 0.5 3
μ i 1.00000.00000.43561.0000
μ 1 / 2 0.50460.00001.00000.4961
μ 1 i / 3 0.49920.50001.00000.0000
μ 1 / 2 + i 0.43560.00001.00000.4961
μ 1 i / 2 0.49610.50000.00000.4356
μ 3 i / 2 0.00000.00000.00000.4356
Table 2. Membership values of some c C in M m 1 , m 2 3 when m 1 changes and m 2 = 0 .
Table 2. Membership values of some c C in M m 1 , m 2 3 when m 1 changes and m 2 = 0 .
M m 1 = 0 , m 2 = 0 3   M m 1 = 0.2 , m 2 = 0 3 M m 1 = 0.5 , m 2 = 0 3 M m 1 = 0.8 , m 2 = 0 3
μ i 1.00001.00001.00001.0000
μ 1 / 2 0.50460.47460.50790.3386
μ 1 i / 3 0.49920.47520.44230.4128
μ 1 / 2 + i 0.43560.37180.64510.5292
μ 1 i / 2 0.49610.49000.48080.4717
μ 3 i / 2 0.00000.00000.00000.0000
Table 3. Membership values of some c C in M m 1 , m 2 3 when m 2 changes and m 1 = 0 .
Table 3. Membership values of some c C in M m 1 , m 2 3 when m 2 changes and m 1 = 0 .
M m 1 = 0 , m 2 = 0 3   M m 1 = 0 , m 2 = 0.2 3 M m 1 = 0 , m 2 = 0.5 3 M m 1 = 0 , m 2 = 0.8 3
μ i 1.00000.38200.78550.4163
μ 1 / 2 0.50460.50460.50460.5046
μ 1 i / 3 0.49920.47170.43260.3970
μ 1 / 2 + i 0.43560.40690.36880.3401
μ 1 i / 2 0.49610.44960.39210.3921
μ 3 i / 2 0.00000.00000.00000.0000
Table 4. Membership values of some c C in M m 1 , m 2 3 when m 1 and m 2 change at the same time.
Table 4. Membership values of some c C in M m 1 , m 2 3 when m 1 and m 2 change at the same time.
M m 1 = m 2 = 0 3   M m 1 = m 2 = 0.2 3 M m 1 = m 2 = 0.5 3 M m 1 = m 2 = 0.8 3
μ i 1.00000.38200.78550.4163
μ 1 / 2 0.50460.47460.50790.3386
μ 1 i / 3 0.49920.45120.39390.3492
μ 1 / 2 + i 0.43560.33790.66440.5453
μ 1 i / 2 0.49610.44500.38450.3378
μ 3 i / 2 0.00000.00000.00000.0000
Disclaimer/Publisher’s Note: The statements, opinions and data contained in all publications are solely those of the individual author(s) and contributor(s) and not of MDPI and/or the editor(s). MDPI and/or the editor(s) disclaim responsibility for any injury to people or property resulting from any ideas, methods, instructions or products referred to in the content.

Share and Cite

MDPI and ACS Style

Popović, N.; Ersoy, S.; İnce, İ.; Savić, A.; Baltić, V. Fuzzy Mandelbric Set and Its Perturbations by Dynamical Noises. Fractal Fract. 2024, 8, 158. https://doi.org/10.3390/fractalfract8030158

AMA Style

Popović N, Ersoy S, İnce İ, Savić A, Baltić V. Fuzzy Mandelbric Set and Its Perturbations by Dynamical Noises. Fractal and Fractional. 2024; 8(3):158. https://doi.org/10.3390/fractalfract8030158

Chicago/Turabian Style

Popović, Nikola, Soley Ersoy, İbrahim İnce, Ana Savić, and Vladimir Baltić. 2024. "Fuzzy Mandelbric Set and Its Perturbations by Dynamical Noises" Fractal and Fractional 8, no. 3: 158. https://doi.org/10.3390/fractalfract8030158

APA Style

Popović, N., Ersoy, S., İnce, İ., Savić, A., & Baltić, V. (2024). Fuzzy Mandelbric Set and Its Perturbations by Dynamical Noises. Fractal and Fractional, 8(3), 158. https://doi.org/10.3390/fractalfract8030158

Article Metrics

Back to TopTop