You are currently viewing a new version of our website. To view the old version click .
Fractal and Fractional
  • Article
  • Open Access

24 January 2024

Supplemental Stability Criteria with New Formulation for Linear Time-Invariant Fractional-Order Systems

,
and
1
College of Sciences, Northeastern University, Shenyang 110819, China
2
State Key Laboratory of Synthetical Automation for Process Industries, Northeastern University, Shenyang 110819, China
*
Authors to whom correspondence should be addressed.
This article belongs to the Section Engineering

Abstract

In this paper, new stability criteria for linear time-invariant fractional-order systems (LTIFOSs) based on linear matrix inequalities (LMIs) are derived. The solved variable of the existing LMI formulations is generalized to a complex one. In addition, based on the congruent transformation, a new LMI formulation is obtained, which is different from those in the existing literature. To deal with the above LMIs more conveniently with simulation software, the complex LMIs are converted to equivalent real LMIs. Finally, numerical examples are presented to validate the effectiveness of our theoretical results.

1. Introduction

Fractional-order systems (FOSs) have been receiving more and more attentions in recent years. Along with the deep research on FOSs, researchers have found that it is better to describe some phenomena with FOSs than integer-order systems [,]. At present, FOSs are widely used in many areas such as engineering systems [,,] and economic systems [,]. A lot of significant achievements in the field of integer-order systems have been extended to FOSs, such as stability analysis [,] and feedback control [,].
The stability of FOSs is a basic and important issue, and it is also a current research hotspots. Since the stability of FOSs is different from that of integer-order systems [,], new stability analysis methods are required to accommodate the characteristics of FOSs []. When the order of an FOS belongs to different intervals, the features of the stability domains for the FOS are different. For this, researchers divided the order of FOSs into the intervals ( 0 , 1 ) and ( 1 , 2 ) , and derived different results for the stability of FOSs separately within the above two intervals.
(1)
For the case of the order belonging to the interval ( 0 , 1 ) , Martignon et al. [] proposed that the stability of LTIFOSs can be analyzed based on the eigenvalues of the system matrix, but sometimes, it is difficult to calculate all the system eigenvalues, especially when designing stabilizable controllers. Later, Moze et al. [] provided an LMI-based analysis approach for the stability of LTIFOSs. To simplify the results in [], the authors in [,] gave some extra LMI formulations for the stability of LTIFOSs. In [], Zhang et al. generalized the results to the case of singular FOSs and provided some LMI formulations with two real variables for the admissibility of singular FOSs;
(2)
For the case of the order belonging to the interval ( 1 , 2 ) , Sabatier et al. [] pointed out that the result in [] is also valid. After this, Farges et al. [] gave an LMI formulation for the stability of LTIFOSs. The LMI formulation in [] is a special case of the ones in [], which provided an LMI-based method to check if the system eigenvalues are located in the given LMI region. In [], Zhang et al. generalized the results in [] and supplemented some new LMI formulations for the stability of LTIFOSs.
In [], the authors discussed some unified LMI formulations for the stability of LTIFOSs, which are suitable for the case of the order belonging to the interval ( 0 , 2 ) .
Based on the above literature, we note that when the order belongs to the interval ( 0 , 1 ) , the LMI formulations of the stability for LTIFOSs in the existing results are complete and mature. However, when the order belongs to the interval ( 1 , 2 ) , these different LMI formulations restrict the solved variable into being real. Furthermore, it is worth considering whether a new LMI formulation for the stability of LTIFOSs exists.
Based on the above investigations, the stability criteria for LTIFOSs are enriched in this paper, and a new LMI formulation that is different from those in the existing literature is derived. The main contributions of this paper are as follows:
(1)
The solved variable P of the existing LMI formulations for the stability of LTIFOSs is generalized to be complex;
(2)
A new LMI formulation for the stability of LTIFOSs is derived, which is different from those in the existing literature.
This paper is organized as follows. In Section 2, some useful lemmas and definitions are introduced, and the problem statement is given. In Section 3, the solved variable of the existing LMI formulations for the stability of LTIFOSs is generalized to be complex, and a new LMI formulation for the stability of LTIFOSs is obtained, which is different from those in the existing literature. In Section 4, the effectiveness of our theoretical results is illustrated through numerical examples. In Section 5, this paper is summarized.
Notation 1. 
S > 0   ( < 0 ) indicates that S is a positive (negative) definite matrix. A T and A * represent the transposition of a matrix A and the conjugate transposition of A, respectively. Her ( A ) denotes the sum of A and its conjugate transpose. Γ ( · ) denotes the Gamma function with Γ ( s ) = 0 t s 1 e t d t . A B stands for the Kronecker product of A and B. spec ( A ) represents a set consisting of the eigenvalues of A. a = sin ( α π 2 ) and b = cos ( α π 2 ) . For brevity, Θ is defined by
Θ = a b b a .

2. Problem Statement and Preliminaries

In this section, important lemmas are given in preparation for the main results of this paper.
Consider the following FOS described by:
D α x ( t ) = A x ( t ) ,
where α ( 1 , 2 ) is the commensurate fractional order, x ( t ) R n is the system state, and A R n × n is the system matrix. In addition, D α is the Caputo fractional-order differential operator that is defined by:
D α x ( t ) = 1 Γ ( 2 α ) 0 t ( t τ ) 1 α x ( 2 ) ( τ ) d τ .
We use the Caputo derivative in this paper, since its Laplace transform allows using initial values like classical integer-order derivatives, which explain the physical phenomena more clearly.
The LMI region is often used to analyze the properties of LTI systems. The definition of the LMI region is given as follows:
Definition 1 
([]). Let L R p × p and M C p × p . Then, the region D is said to be an LMI region, where
D = λ C : L + λ M + λ ¯ M * < 0 .
Lemma 1 
([]). For a given region D C defined by (2), spec ( A ) D if there exists a Hermitian matrix P, such that P > 0 and
L P + M ( A P ) + M * ( P A T ) < 0 .
In the following two lemmas, we introduce some characteristics of the Kronecker product.
Lemma 2 
([]). For a given matrix A, there holds
spec ( Θ A ) = λ C : λ = λ Θ λ A , λ Θ spec ( Θ ) , λ A spec ( A ) .
Lemma 3 
([]). For a given matrix A, define Ω and Ω 0 by
Ω = λ C : λ = x + j y , x , y R , a x + b y < 0 , a x b y < 0 ,
Ω 0 = λ C : ( λ ) < 0 .
Then, spec ( A ) Ω if spec ( Θ A ) Ω 0 .
Remark 1. 
Lemma 3 establishes a relationship between the region of spec ( A ) and the region of spec ( Θ A ) . An example is provided to illustrate this relationship.
Consider (1) with α = 1.5 and
A = 1 1 3 1 3 1 .
The eigenvalues of A are 1 ± 1 3 j . If λ = 1 + 1 3 j , then a x + b y = 2 3 2 < 0 and a x b y = 2 3 < 0 . If λ = 1 1 3 j , then a x + b y = 2 3 < 0 and a x b y = 2 3 2 < 0 . It is seen that spec ( A ) Ω . In addition, the eigenvalues of Θ A are 2 3 ± 2 3 2 j and 2 3 2 ± 2 3 j , indicating that all the real parts of Θ A are negative.
Figure 1 shows the relationship between the locations of the eigenvalues of A and the locations of the eigenvalues of Θ A .
Figure 1. (a) The region of spec ( A ) . (b) The region of spec ( Θ A ) .
The following lemma gives a method to change a complex LMI into an equivalent real one.
Lemma 4. 
For a complex matrix P , P is a positive (or negative) definite matrix if
( P ) ( P ) ( P ) ( P ) ,
is a positive (or negative) definite matrix, where ( P ) and ( P ) denote the real and imaginary parts of P, respectively.

3. Main Results

In this section, new LMI formulations for the stability criteria are derived.
Theorem 1. 
System (1) is stable if the following LMI
Her ( Θ A ) P < 0 ,
admits a positive definite matrix P C 2 n × 2 n .
Proof. 
Let Ω be given by (5) and Ω 0 be given by (6). Note that system (1) is stable if spec ( A ) Ω . According to Lemma 3, it is further seen that system (1) is stable if spec ( Θ A ) Ω 0 . Since Ω 0 can be constructed by (2) with L = 0 and M = 1 , from Lemma 1, spec ( Θ A ) Ω 0 if there exists P C 2 n × 2 n such that P > 0 and
0 P + 1 ( Θ A ) P + 1 * P ( Θ A ) T < 0 .
With some computations, (9) is equivalent to (8). This ends the proof. □
Remark 2. 
In [], Chilali et al. derived the LMI formulation of (8) with the solved variable P being real. In Theorem 1, we generalized the solved variable P to be complex. It is noted that (8) can be changed into
Her ( Θ A ) P ¯ < 0 .
Summing (8) and (10) yields
Her ( Θ A ) ( P + P ¯ ) < 0 .
Let P + P ¯ = P 0 , and there exists P 0 R 2 n × 2 n such that P 0 > 0 and (11) hold. This indicates that the result in [] can also be obtained from Theorem 1.
Remark 3. 
If we define P of (8) by P = X + j Y , then (8) can be changed into
X Y Y X > 0 ,
Her ( Θ A ) X ( Θ A ) Y ( Θ A ) Y ( Θ A ) X < 0 .
Theorem 2. 
System (1) is stable if the LMI
Her ( A Θ ) P < 0 ,
admits a positive definite matrix P C 2 n × 2 n .
Proof. 
Let Ω 0 be given by (6). From (4), there holds spec ( A Θ ) = spec ( Θ A ) , indicating that system (1) is stable if spec ( A Θ ) Ω 0 . Note that Ω 0 can be constructed by (2) with L = 0 and M = 1 . From Lemma 1, spec ( A Θ ) Ω 0 if there exists a matrix P C 2 n × 2 n such that P > 0 and
0 P + 1 ( A Θ ) P + 1 * P ( A Θ ) T < 0 .
With some computations, (15) is equivalent to (14). This ends the proof. □
Remark 4. 
As an extension to Theorem 1, Theorem 2 gives an additional LMI formulation for the stability of LTIFOSs. The solved variable P in (14) is also complex. Note that (14) can be changed into
Her ( A Θ ) P ¯ < 0 .
By summing (16) and (14), and letting P 0 = P + P ¯ , one obtains a real matrix P 0 > 0 such that
Her ( A Θ ) P 0 < 0 .
This indicates that the previous results can also be derived from Theorem 2.
Remark 5. 
From Lemma 4, system (1) is stable if there exist X R 2 n × 2 n and Y R 2 n × 2 n such that (12) and
Her ( A Θ ) X ( A Θ ) Y ( A Θ ) Y ( A Θ ) X < 0 .
Theorem 3. 
System (1) is stable if the LMI
Her Θ ( A P ) < 0 ,
admits a positive definite matrix P C n × n .
Proof. 
Construct the stability region for FOSs by (2) with L = 0 2 × 2 and
M = a b b a .
From Lemma 1, system (2) is stable if there exists P C n × n , such that P > 0 and
0 2 × 2 P + a b b a ( A P ) + a b b a T ( P A T ) < 0 .
With some computations, (20) is equivalently changed into (19). □
Remark 6. 
Farges et al. [] and Marir et al. [] derived the stability criterion with the LMI formulation of (19). However, it is worth noting that P in the above two papers is restricted to be real. Different from [] and [], the solved variable P of (19) is generalized to be complex. Furthermore, it is seen that (19) can be changed into
Her Θ ( A P ¯ ) < 0 .
Summing (21) and (19) yields
Her Θ ( A ( P + P ¯ ) ) < 0 .
Let P 0 = P + P ¯ . Then, (22) becomes
Her Θ ( A P 0 ) < 0 ,
where P 0 R n × n . Hence, a connection between Theorem 3 is established (see the results in [,]). For more details, (23) is further changed into
Her e j θ ( A P 0 ) < 0 ,
where θ = π 2 ( 1 α ) . This indicates that we can derive the result in [] from Theorem 3.
Remark 7. 
Define P of (19) by X + j Y . Then, (19) can be further changed into
Her a A X b A X a A Y b A Y b A X a A X b A Y a A Y a A Y b A Y a A X b A X b A Y a A Y b A X a A X < 0 .
In the following theorem, an additional LMI formulation for the stability of LTIFOSs is presented, which is different from those in the existing literature.
Theorem 4. 
System (1) is stable if the LMI
Her ( A P ) Θ < 0 ,
admits a positive definite matrix P C n × n .
Proof. 
Let A P = [ l i j ] n × n . Then,
Her A P Θ = L 11 L 12 L 1 n * L 22 L 2 n * * L n n ,
where
L i j = a ( l i j + l ¯ j i ) b ( l i j l ¯ j i ) b ( l i j l ¯ j i ) a ( l i j + l ¯ j i ) .
Let e i be a row vector with the i-th element being one and the other elements being zero.
Define
S 0 = e 1 T e 2 T e 3 T e 4 T e 5 T e 6 T e 2 n T , S 1 = e 1 T e 3 T e 2 T e 4 T e 5 T e 6 T e 2 n T , S k = e 1 T e K T e 2 k + 1 T e k + 2 T e 2 k T e k + 1 T e 2 k + 2 T e 2 n T ,
and let
S = S n 1 S n 2 S 1 .
With some trivial computations, there holds
S Her ( A P ) Θ S * = Her Θ ( A P ) .
Therefore,
Her ( A P ) Θ < 0 Her Θ ( A P ) < 0 .
This ends the proof. □
Remark 8. 
It is noted that Theorems 1–4 are all equivalent to the stability of LTIFOSs and, therefore, they are equivalent to each other. Moreover, in each theorem, we provide a new different LMI formulation for the stability of LTIFOSs.

4. Numerical Experiments

In the following discussions, numerical examples are shown to validate the effectiveness of our theoretical results. In Example 1, a relationship between the convergence speed of an LTIFOS and the eigenvalues of its system matrix is presented. In Examples 2–4, the solved variable P of (8) is verified as being complex. In Examples 5–7, the solved variable P of (25) is validated as being complex.
Example 1. 
Consider the following two systems:
D 1.5 x ( t ) = 1 0.3 0.3 1 x ( t ) ,
D 1.5 x ( t ) = 1 0.9 0.9 1 x ( t ) .
Through some computations, the matrix eigenvalues of (26) are 1 ± 0.3 j , and the matrix eigenvalues of (27) are 1 ± 0.9 j . It is intuitively seen from Figure 2 that the locations of the matrix eigenvalues of (27) are much closer to the boundary of the stability region. From Figure 3 and Figure 4, it is seen that system (26) reaches stability at about 14 s, but system (27) does not reach stability until 20 s. The stability time of system (27) is longer than that of system (26).
Figure 2. Locations of the matrix eigenvalues of system (26) and (27).
Figure 3. The state curves of system (26) with α = 1.5 .
Figure 4. The state curves for system (27) with α = 1.5 .
Example 2. 
Consider system (1) with α = 1.5 and
A = 1 0.5 0.5 1 .
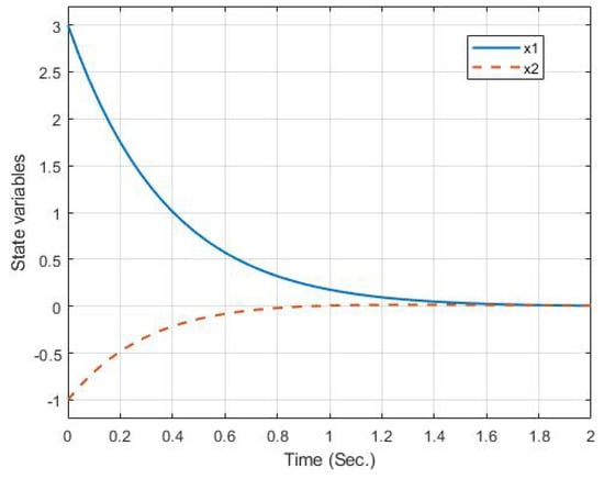
In Example 2, the eigenvalues of A are 1 ± 0.5 j , indicating that system (1) is stable. Figure 5 is presented to show the stability of system (1).
Figure 5. The state curves of system (1) in Example 2 with α = 1.5 .
By solving LMIs (12) and (13), one obtains a positive definite solution P, where
P = 0.7367 0.0389 0.0581 j 0.0280 0.4181 j 0.0782 + 0.0215 j 0.0389 + 0.0581 j 0.3302 0.0581 + 0.0782 j 0.0215 0.0069 j 0.0280 + 0.4181 j 0.0581 0.0782 j 0.4181 0.0069 0.2056 j 0.0782 0.0215 j 0.0215 + 0.0069 j 0.0069 + 0.2056 j 0.2056 .
Example 3. 
Investigate system (1) using the following parameters: α = 1.5 and
A = 3 1 0.5 2 .
The eigenvalues of A are 2.5 ± 0.5 j , indicating that system (1) in this example is stable. Figure 6 shows the stability of system (1) in this example.
Figure 6. The state curves of system (1) in Example 3 with α = 1.5 .
By solving LMIs (12) and (13), one obtains a feasible positive definite solution P, where
P = 0.7240 0.0755 0.0789 j 0.0159 0.4109 j 0.0962 0.0223 j 0.0755 + 0.0789 j 0.1476 0.0789 + 0.0962 j 0.0223 0.0196 i 0.0159 + 0.4109 j 0.0789 0.0962 j 0.4109 0.0196 0.1791 j 0.0962 + 0.0223 j 0.0223 + 0.0196 j 0.0196 + 0.1791 j 0.1791 .
Example 4. 
Consider system (1) with α = 1.5 and
A = 3 1.5 1.5 4 .
The eigenvalues of A are 3.5 ± 1.4142 j , indicating that system (1) in Example 4 is stable. In Figure 7, it is intuitively seen that system (1) in this example is stable.
Figure 7. The state curves of system (1) in Example 4 with α = 1.5 .
By solving LMIs (12) and (13), one obtains a positive definite matrix P , with
P = 0.6977 0.6977 0.0563 j 0.0275 0.3908 j 0.0792 + 0.0151 j 0.0677 + 0.0563 j 0.3270 0.0536 + 0.0792 j 0.0151 + 0.0052 j 0.0275 + 0.3908 j 0.0563 0.0792 j 0.3908 0.0052 0.1730 j 0.0792 0.0151 j 0.0151 0.0052 j 0.0052 + 0.1730 j 0.1730 .
Example 5.
Consider system (1) with α = 1.5 and
A = 0.5 1.8 0.7 2.6 .
The eigenvalues of A are 1.55 ± 0.3969 j , indicating that system (1) is stable. The stability of (1) in this example is shown in Figure 8.
Figure 8. The state curves of system (1) in Example 5 with α = 1.5 .
By solving LMIs (12) and (24), one obtains a positive definite solution P, where
P = 0.8566 0.1816 0.1579 j 0.1816 + 0.1579 j 0.1579 .
Example 6. 
Consider system (1) with α = 1.5 and
A = 2.1 5.9 1.4 6.5 .
In Example 6, the eigenvalues of A are 4.3 ± 1.8493 j , indicating that system (1) in this example is stable. Figure 9 shows the stability of system (1) in Example 6 with α = 1.5 .
Figure 9. The state curves of system (1) in Example 6 with α = 1.5 .
By solving LMIs (12) and (24), a positive definite solution P is derived by
P = 0.2465 0.0280 0.0319 j 0.0280 + 0.0319 j 0.0319 .
Example 7. 
Consider system (1) with α = 1.5 and
A = 1 7 0.6 5 .
The eigenvalues of A are 3 ± 0.4472 j , indicating that system (1) in Example 7 is stable.
In Figure 10, the state curves of system (1) in Example 7 are presented directly, further illustrating that system (1) is stable.
Figure 10. The state curves of system (1) in Example 7 with α = 1.5 .
By solving LMIs (12) and (24), a positive definite matrix P is derived, where
P = 0.4576 0.0366 0.252 j 0.0366 + 0.0252 j 0.0252 .

5. Conclusions

In this paper, we derive some new stability criteria for LTIFOSs, which enrich the theoretical results on the stability of LTIFOSs. We generalize the solved variable of the existing LMI formulations to a complex one, and derive a new LMI formulation for the stability of LTIFOSs that is different from those in the existing literature. These results add new analytical tools to the stability theory of LTIFOSs, and fill a gap in this field. In future, we will focus on the stability region of time-delayed LTIFOSs and the LMI formulations for the stability of time-delayed LITFOSs.

Author Contributions

Conceptualization, methodology, validation, Y.L., J.-X.Z. and X.Z.; writing—original draft preparation, Y.L.; writing—review and editing, J.-X.Z. and X.Z. All authors have read and agreed to the published version of the manuscript.

Funding

This work was supported in part by the National Natural Science Foundation of China under Grant 62103093, the National Key Research and Development Program of China under Grant 2022YFB3305905, the Xingliao Talent Program of Liaoning Province of China under Grant XLYC2203130, the Natural Science Foundation of Liaoning Province of China under Grant 2023-MS-087, and the Fundamental Research Funds for the Central Universities of China under Grants N2108003 and N2324003-05.

Data Availability Statement

Data are contained within the article.

Conflicts of Interest

The authors declare no conflicts of interest.

References

  1. Zhang, J.-X.; Yang, T.; Chai, T.Y. Neural network control of underactuated surface vehicles with prescribed trajectory tracking performance. IEEE Trans. Neural Netw. Learn. Syst. 2022. [Google Scholar]
  2. Zhang, J.-X.; Xu, K.D.; Wang, Q.G. Prescribed performance tracking control of time-delay nonlinear systems with output constraints. IEEE/CAA J. Autom. Sinica 2022, 67, 6904–6911. [Google Scholar]
  3. Tavazoei, M.S.; Haeri, M. Rational approximations in the simulation and implementation of fractional-order dynamics: A discriptor system apporach. Automatica 2010, 46, 94–100. [Google Scholar]
  4. Magin, R.L. Fractional Calculus in Bioengineering; Begell House Redding: Danbury, CT, USA, 2006. [Google Scholar]
  5. Freed, A.; Diethelm, K. Fractional calculus in biomechanics: A 3D viscoelastic model using regularized fractional derivative kernels with application to the human calcaneal fat pad. Biomech. Model. Mechanobiol. 2006, 5, 203–215. [Google Scholar]
  6. Meerschaert, M.M.; Scalas, E. Coupled continuous time random walks in finance. Phys. A Statist. Mech. Appl. 2006, 370, 114–118. [Google Scholar] [CrossRef]
  7. Gorenflo, R.; Mainardi, F.; Scalas, E.; Raberto, M. Fractional Calculus and Continuous-Time Finance III: The Diffusion Limit, in matheMatical Finance; Springer: New York, NY, USA, 2001; pp. 171–180. [Google Scholar]
  8. Wei, Y.H.; Chen, Y.Q.; Cheng, S.S.; Wang, Y. Completeness on the stability criterion of fractional order LTI systems. Fract. Calc. Appl. Anal. 2017, 20, 159–172. [Google Scholar] [CrossRef]
  9. Huang, L.L.; Wu, G.C.; Baleanu, D.; Wang, H.Y. Discrete fractional calculus for interval-valued systems. Fuzzy Set. Syst. 2021, 404, 141–158. [Google Scholar] [CrossRef]
  10. Aghayan, Z.S.; Alfi, A.; Mousavi, Y.; Kucukdemiral, I.B.; Fekih, A. Guaranteed cost robust output feedback control design for fractional-order uncertain neutral delay systems. Chaos Solit. Fractals 2022, 163, 112–523. [Google Scholar] [CrossRef]
  11. Ghorbani, M.; Tavakoli-Kakhki, M.; Tepljakov, A.; Petlenkov, E. Robust stability analysis of smith predictor based interval fractional-order control systems: A case study in level control process. IEEE/CAA J. Autom. Sinica 2023, 10, 762–780. [Google Scholar] [CrossRef]
  12. Khargonekar, P.P.; Petersen, I.R.; Zhou, K. Robust stabilization of uncertain linear systems: Quadratic stability and H control theory. IEEE Trans. Autom. Contr. 1990, 35, 356–361. [Google Scholar] [CrossRef]
  13. Kebria, P.; Khosravi, A.; Nahavandi, S.; Shi, P.; Alizadehsani, R. Robust adaptive control scheme for teleoperation systems with delay and uncertainties. IEEE Trans. Cybern. 2020, 50, 3243–3253. [Google Scholar] [CrossRef] [PubMed]
  14. Doye, I.N.; Zasadzinski, M.; Darouach, M.; Radhy, N.E. Regularization and robust stabilization of uncertain singular fractional-order systems. IEEE Proc. Vol. 2011, 44, 15031–15036. [Google Scholar]
  15. Matignon, D. Stability results on fractional differential equations with applications to control processing. Comput. Eng. Syst. Appl. 1996, 2, 963–968. [Google Scholar]
  16. Moze, M.; Sabatier, J. LMI tools for stability analysis of fractional systems. In Proceedings of the ASME International Design Engineering Technical Conferences and Computers and Information in Engineering Conference, Long Beach, CA, USA, 24–28 September 2005. [Google Scholar]
  17. Farges, C.; Moze, M.; Sabatier, J. Pseudo-state feedback stabilization of commensurate fractional order systems. Automatica 2010, 46, 1730–1734. [Google Scholar] [CrossRef]
  18. Sabatier, J.; Moze, M.; Farges, C. LMI stability conditions for fractional order systems. Comput. Math. Appl. 2010, 59, 1594–1609. [Google Scholar] [CrossRef]
  19. Zhang, X.F.; Chen, Y.Q. Admissibility and robust stabilization of continuous linear singular fractional order systems with the fractional order α: The 0 < α < 1 case. ISA Trans. 2018, 82, 42–50. [Google Scholar] [PubMed]
  20. Sabatier, J.; Moze, M.; Farges, C. On stability of fractional order systems. In Proceedings of the Third IFAC Workshop on Fractional Differentiation and its Applications, Ankara, Turkey, 5–7 November 2008. [Google Scholar]
  21. Chilali, M.; Gahinet, P. H design with pole placement constraints: An LMI approach. IEEE Trans. Autom. Contr. 1996, 41, 358–367. [Google Scholar] [CrossRef]
  22. Zhang, X.F.; Chen, Y.Q. D-stability based LMI criteria of stability and stabilization for fractional order systems. In Proceedings of the ASME 2015 International Design Engineering Technical Conferences & Computers and Information in Engineering Conference, Boston, MA, USA, 2–5 August 2015. [Google Scholar]
  23. Zhang, X.F.; Lin, C.; Chen, Y.Q.; Boutat, D. A unified framework of stability theorems for LTI fractional order systems with 0 < α < 2. IEEE Trans. Circuits Syst. II Express Briefs 2020, 67, 3237–3241. [Google Scholar]
  24. Anderson, B.D.O.; Bose, N.K.; Jury, E.I. A simple test for zeros of a complex polynomial in a sector. IEEE Trans. Autom. Contr. 1974, 19, 437–438. [Google Scholar] [CrossRef]
  25. Marir, S.; Chadli, M.; Bouagada, D. New admissibility conditions for singular linear continuous-time fractional order systems. J. Franklin Inst. 2017, 354, 752–766. [Google Scholar] [CrossRef]
Disclaimer/Publisher’s Note: The statements, opinions and data contained in all publications are solely those of the individual author(s) and contributor(s) and not of MDPI and/or the editor(s). MDPI and/or the editor(s) disclaim responsibility for any injury to people or property resulting from any ideas, methods, instructions or products referred to in the content.

Article Metrics

Citations

Article Access Statistics

Multiple requests from the same IP address are counted as one view.