Space–Time Variations in the Long-Range Dependence of Sea Surface Chlorophyll in the East China Sea and the South China Sea
Abstract
1. Introduction
2. Materials and Methods
2.1. Data Collection
2.2. Methodology
2.2.1. The Cauchy Distribution
2.2.2. Multi-Fractional Generalized Cauchy Model
2.2.3. Statistical Analysis
3. Results
3.1. Descriptive Statistics of Sea Surface Chlorophyll Concentration Series
3.2. Variability of the Long-Range Dependence of Sea Surface Chlorophyll Series
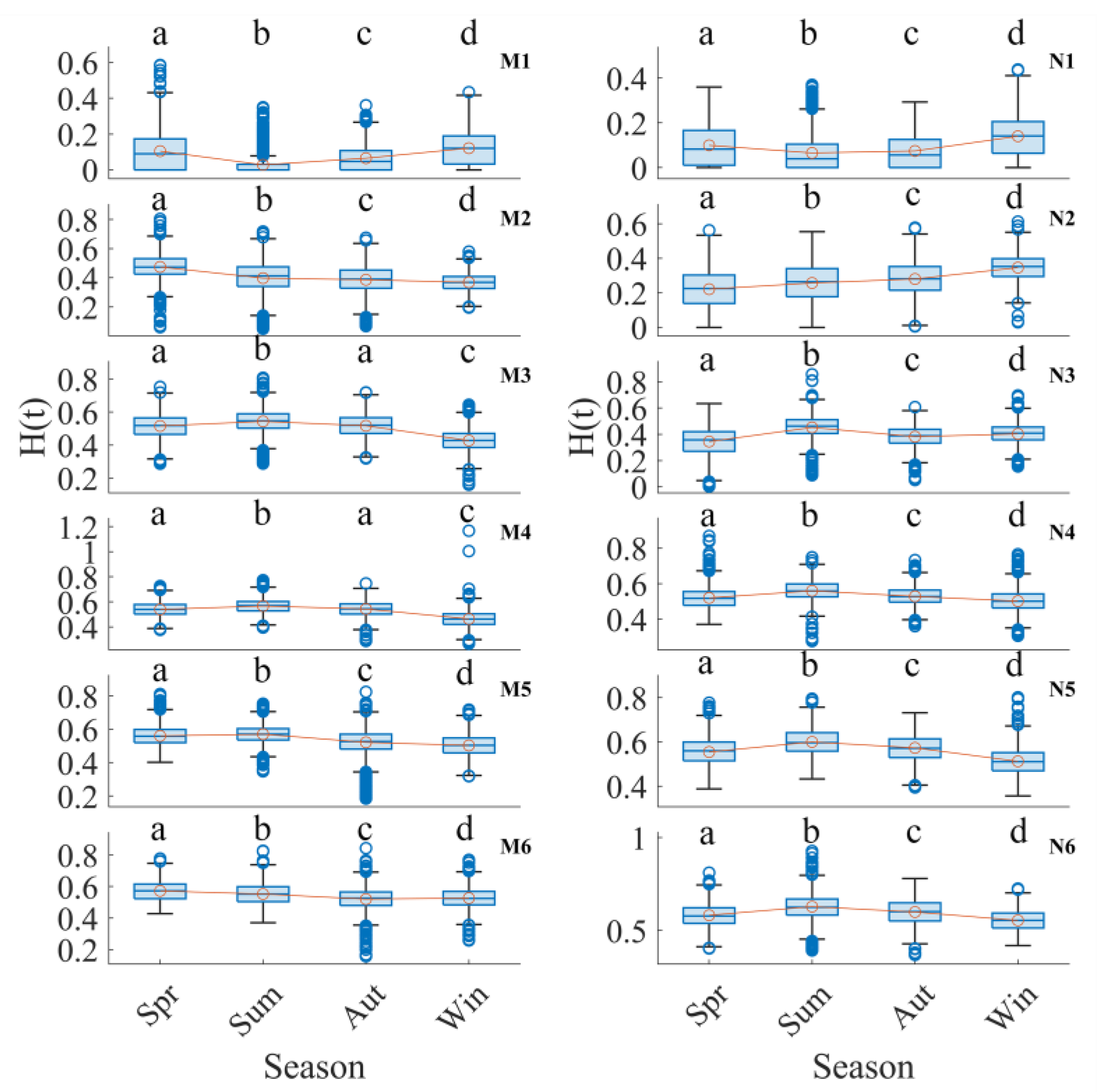
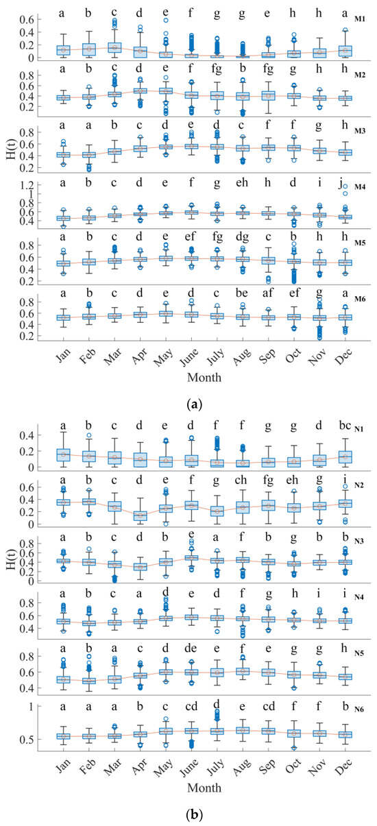
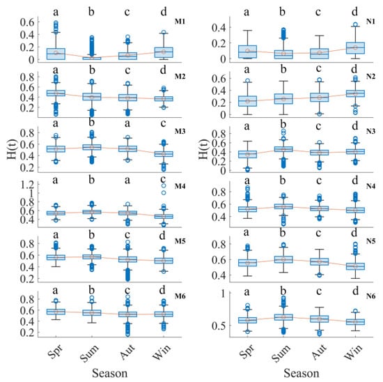
3.3. Monthly and Seasonal Variations in Hurst Exponents for Sea Surface Chlorophyll
4. Discussion
4.1. The Impact of Anthropogenic Activity on the Long-Range Dependence of Sea Surface Chlorophyll Concentration
4.2. Seasonal Variation in the Long-Range Dependence of Sea Surface Chlorophyll Concentration
4.3. Limitations and Future Work
5. Conclusions
Author Contributions
Funding
Data Availability Statement
Conflicts of Interest
References
- Na, L.; Shaoyang, C.; Zhenyan, C.; Xing, W.; Yun, X.; Li, X.; Yanwei, G.; Tingting, W.; Xuefeng, Z.; Siqi, L. Long-Term Prediction of Sea Surface Chlorophyll-a Concentration Based on the Combination of Spatio-Temporal Features. Water Res. 2022, 211, 118040. [Google Scholar] [CrossRef]
- Katlane, R.; El Kilani, B.; Dhaoui, O.; Kateb, F.; Chehata, N. Monitoring of Sea Surface Temperature, Chlorophyll, and Turbidity in Tunisian Waters from 2005 to 2020 Using MODIS Imagery and the Google Earth Engine. Reg. Stud. Mar. Sci. 2023, 66, 103143. [Google Scholar] [CrossRef]
- Nichol, J.E.; Bilal, M.; Nazeer, M.; Wong, M.S. Urban Pollution. In Urban Informatics; Shi, W., Goodchild, M.F., Batty, M., Kwan, M.-P., Zhang, A., Eds.; The Urban Book Series; Springer: Singapore, 2021; pp. 243–258. ISBN 9789811589836. [Google Scholar]
- Xiao, X.; Huang, S.; He, J. The Impact of COVID-19 Lockdown on the Variation of Sea Surface Chlorophyll-a in Bohai Sea, China. Reg. Stud. Mar. Sci. 2023, 66, 103163. [Google Scholar] [CrossRef]
- Chen, C.; Jiang, H.; Zhang, Y. Anthropogenic Impact on Spring Bloom Dynamics in the Yangtze River Estuary Based on SeaWiFS Mission (1998–2010) and MODIS (2003–2010) Observations. Int. J. Remote Sens. 2013, 34, 5296–5316. [Google Scholar] [CrossRef]
- Niu, L.; Luo, X.; Hu, S.; Liu, F.; Cai, H.; Ren, L.; Ou, S.; Zeng, D.; Yang, Q. Impact of Anthropogenic Forcing on the Environmental Controls of Phytoplankton Dynamics between 1974 and 2017 in the Pearl River Estuary, China. Ecol. Indic. 2020, 116, 106484. [Google Scholar] [CrossRef]
- Feng, J.; Durant, J.M.; Stige, L.C.; Hessen, D.O.; Hjermann, D.Ø.; Zhu, L.; Llope, M.; Stenseth, N.C. Contrasting Correlation Patterns between Environmental Factors and Chlorophyll Levels in the Global Ocean. Glob. Biogeochem. Cycles 2015, 29, 2095–2107. [Google Scholar] [CrossRef]
- Hakspiel-Segura, C.; Martínez-López, A.; Antonio Delgado-Contreras, J.; Robinson, C.J.; Gómez-Gutiérrez, J. Temporal Variability of Satellite Chlorophyll-a as an Ecological Resilience Indicator in the Central Region of the Gulf of California. Prog. Oceanogr. 2022, 205, 102825. [Google Scholar] [CrossRef]
- Zhang, K.; Zhao, X.; Xue, J.; Mo, D.; Zhang, D.; Xiao, Z.; Yang, W.; Wu, Y.; Chen, Y. The Temporal and Spatial Variation of Chlorophyll a Concentration in the China Seas and Its Impact on Marine Fisheries. Front. Mar. Sci. 2023, 10, 1212992. [Google Scholar] [CrossRef]
- Zhan, H.; Shi, P.; Mao, Q.; Zhang, T. Long-Range Correlations in Remotely Sensed Chlorophyll in the South China Sea. Chin. Sci. Bull. 2006, 51, 45–49. [Google Scholar] [CrossRef]
- He, X.; Shi, S.; Geng, X.; Xu, L.; Zhang, X. Spatial-Temporal Attention Network for Multistep-Ahead Forecasting of Chlorophyll. Appl. Intell. 2021, 51, 4381–4393. [Google Scholar] [CrossRef]
- Ye, M.; Li, B.; Nie, J.; Qian, Y.; Yang, L.-L. Ca-STANet: Spatiotemporal Attention Network for Chlorophyll-a Prediction With Gap-Filled Remote Sensing Data. IEEE Trans. Geosci. Remote Sens. 2023, 61, 4203314. [Google Scholar] [CrossRef]
- He, J. Application of Generalized Cauchy Process on Modeling the Long-Range Dependence and Self-Similarity of Sea Surface Chlorophyll Using 23 Years of Remote Sensing Data. Front. Phys. 2021, 9, 551. [Google Scholar] [CrossRef]
- He, J.; Gao, Z.; Jiang, Y.; Li, M. Spatially Heterogeneity of Long-Range Dependence and Self-Similarity of Global Sea Surface Chlorophyll Concentration with Their Environmental Factors Analysis. Front. Mar. Sci. 2024. submitted. [Google Scholar]
- He, J.; Christakos, G.; Wu, J.; Li, M.; Leng, J. Spatiotemporal BME Characterization and Mapping of Sea Surface Chlorophyll in Chesapeake Bay (USA) Using Auxiliary Sea Surface Temperature Data. Sci. Total Environ. 2021, 794, 148670. [Google Scholar] [CrossRef]
- Fu, Y.; Xu, S.; Liu, J. Temporal-Spatial Variations and Developing Trends of Chlorophyll-a in the Bohai Sea, China. Estuar. Coast. Shelf Sci. 2016, 173, 49–56. [Google Scholar] [CrossRef]
- de Montera, L.; Jouini, M.; Verrier, S.; Thiria, S.; Crepon, M. Multifractal Analysis of Oceanic Chlorophyll Maps Remotely Sensed from Space. Ocean Sci. 2011, 7, 219–229. [Google Scholar] [CrossRef]
- Nieves, V.; Llebot, C.; Turiel, A.; Solé, J.; García-Ladona, E.; Estrada, M.; Blasco, D. Common Turbulent Signature in Sea Surface Temperature and Chlorophyll Maps. Geophys. Res. Lett. 2007, 34, GL030823. [Google Scholar] [CrossRef]
- Skákala, J.; Smyth, T.J. Complex Coastal Oceanographic Fields Can Be Described by Universal Multifractals. J. Geophys. Res. Ocean. 2015, 120, 6253–6265. [Google Scholar] [CrossRef]
- Peltier, R.-F.; Véhel, J.L. Multifractional Brownian Motion: Definition and Preliminary Results; Research Report; INRIA: Rocquencourt, France, 1995. [Google Scholar]
- Li, M. Modified Multifractional Gaussian Noise and Its Application. Phys. Scr. 2021, 96, 125002. [Google Scholar] [CrossRef]
- Li, M. Multi-Fractional Generalized Cauchy Process and Its Application to Teletraffic. Phys. A 2020, 550, 123982. [Google Scholar] [CrossRef]
- Li, M.; Zhao, W. Quantitatively Investigating the Locally Weak Stationarity of Modified Multifractional Gaussian Noise. Phys. A Stat. Mech. Its Appl. 2012, 391, 6268–6278. [Google Scholar] [CrossRef]
- Hu, S.; Liao, Z.; Hou, R.; Chen, P. Characteristic Sequence Analysis of Giant Panda Voiceprint. Front. Phys. 2022, 10, 839699. [Google Scholar] [CrossRef]
- Tong, Y.; Bu, X.; Chen, J.; Zhou, F.; Chen, L.; Liu, M.; Tan, X.; Yu, T.; Zhang, W.; Mi, Z.; et al. Estimation of Nutrient Discharge from the Yangtze River to the East China Sea and the Identification of Nutrient Sources. J. Hazard. Mater. 2017, 321, 728–736. [Google Scholar] [CrossRef] [PubMed]
- Li, M. Fractal Time Series-A Tutorial Review. Math. Probl. Eng. 2010, 2010, 157264. [Google Scholar] [CrossRef]
- Adler, R.; Feldman, R.; Taqqu, M. A Practical Guide to Heavy Tails: Statistical Techniques and Applications; Birkhäuser: Boston, MA, USA, 1998. [Google Scholar]
- Doukhan, P.; Oppenheim, G.; Taqqu, M.S. (Eds.) Theory and Applications of Long-Range Dependence; SBirkhäuser: Boston, MA, USA, 2002. [Google Scholar]
- Li, M.; Zhao, W. On 1/f Noise. Math. Probl. Eng. 2012, 2012, 673648. [Google Scholar] [CrossRef]
- Li, M.; Li, J.-Y. Generalized Cauchy Model of Sea Level Fluctuations with Long-Range Dependence. Phys. A Stat. Mech. Its Appl. 2017, 484, 309–335. [Google Scholar] [CrossRef]
- Dodge, Y. Least Significant Difference Test. In The Concise Encyclopedia of Statistics; Springer: New York, NY, USA, 2008; pp. 302–304. ISBN 978-0-387-32833-1. [Google Scholar]
- Williams, L.; Abdi, H. Fisher’s Least Signiflcant Difierence (LSD) Test. In Encyclopedia of Research Design; SAGE Publications, Inc.: Thousand Oaks, CA, USA, 2010. [Google Scholar]
- Liu, Y.; Deng, B.; Du, J.; Zhang, G.; Hou, L. Nutrient Burial and Environmental Changes in the Yangtze Delta in Response to Recent River Basin Human Activities. Environ. Pollut. 2019, 249, 225–235. [Google Scholar] [CrossRef]
- Ge, J.; Shi, S.; Liu, J.; Xu, Y.; Chen, C.; Bellerby, R.; Ding, P. Interannual Variabilities of Nutrients and Phytoplankton off the Changjiang Estuary in Response to Changing River Inputs. J. Geophys. Res. Ocean. 2020, 125, e2019JC015595. [Google Scholar] [CrossRef]
- Huang, Q.; Shen, H.; Wang, Z.; Liu, X.; Fu, R. Influences of Natural and Anthropogenic Processes on the Nitrogen and Phosphorus Fluxes of the Yangtze Estuary, China. Reg Env. Change 2006, 6, 125–131. [Google Scholar] [CrossRef]
- Hua, W.; Huaiyu, Y.; Fengnian, Z.; Bao, L.; Wei, Z.; Yeye, Y. Dynamics of Nutrient Export from the Yangtze River to the East China Sea. Estuar. Coast. Shelf Sci. 2019, 229, 106415. [Google Scholar] [CrossRef]
- China’s State Oceanic Administration. Chinese Marine Environment Bulletin in 2022; State Oceanic Administration: Beijing, China, 2023.
- Li, R.; Liang, Z.; Hou, L.; Zhang, D.; Wu, Q.; Chen, J.; Gao, L. Revealing the Impacts of Human Activity on the Aquatic Environment of the Pearl River Estuary, South China, Based on Sedimentary Nutrient Records. J. Clean. Prod. 2023, 385, 135749. [Google Scholar] [CrossRef]
- Chen, Y.; Liu, R.; Sun, C.; Zhang, P.; Feng, C.; Shen, Z. Spatial and Temporal Variations in Nitrogen and Phosphorous Nutrients in the Yangtze River Estuary. Mar. Pollut. Bull. 2012, 64, 2083–2089. [Google Scholar] [CrossRef]
- Jiang, Q.; He, J.; Wu, J.; He, M.; Bartley, E.; Ye, G.; Christakos, G. Space-Time Characterization and Risk Assessment of Nutrient Pollutant Concentrations in China’s Near Seas. J. Geophys. Res.: Ocean. 2019, 124, 4449–4463. [Google Scholar] [CrossRef]
- Liu, S.M.; Qi, X.H.; Li, X.; Ye, H.R.; Wu, Y.; Ren, J.L.; Zhang, J.; Xu, W.Y. Nutrient Dynamics from the Changjiang (Yangtze River) Estuary to the East China Sea. J. Mar. Syst. 2016, 154, 15–27. [Google Scholar] [CrossRef]
- Zhang, L.; Ni, Z.; Li, J.; Shang, B.; Wu, Y.; Lin, J.; Huang, X. Characteristics of Nutrients and Heavy Metals and Potential Influence of Their Benthic Fluxes in the Pearl River Estuary, South China. Mar. Pollut. Bull. 2022, 179, 113685. [Google Scholar] [CrossRef]
- Wang, M.; Gao, L. New Insights Into the Non-Conservative Behaviors of Nutrients Triggering Phytoplankton Blooms in the Changjiang (Yangtze) River Estuary. J. Geophys. Res. Ocean. 2022, 127, e2021JC017688. [Google Scholar] [CrossRef]
- Hu, J.; Wang, X.H. Progress on Upwelling Studies in the China Seas. Rev. Geophys. 2016, 54, 653–673. [Google Scholar] [CrossRef]
- He, J.; Chen, Y.; Wu, J.; Stow, D.A.; George, C. Space-Time Chlorophyll-a Retrieval in Optically Complex Waters That Accounts for Remote Sensing and Modeling Uncertainties and Improves Remote Estimation Accuracy. Water Res. 2020, 171, 115403. [Google Scholar] [CrossRef]





| ID | Chl_Minimum | Chl_Maximum | Chl_Mean ± Standard Deviation | Chl_Coefficient of Variation | H_Mean ± Standard Deviation |
|---|---|---|---|---|---|
| M1 | 0.1356 | 50.8658 | 4.5975 ± 3.7523 a* | 0.8161 | 0.0797 ± 0.0899 a |
| M2 | 0.0607 | 3.6647 | 0.2889 ± 0.2192 b | 0.7588 | 0.4072 ± 0.0999 b |
| M3 | 0.0463 | 1.6592 | 0.1607 ± 0.0914 c | 0.5683 | 0.5016 ± 0.0831 c |
| M4 | 0.0437 | 0.5228 | 0.1239 ± 0.0541 cd | 0.4362 | 0.5286 ± 0.0729 d |
| M5 | 0.0467 | 1.1772 | 0.1181 ± 0.0589 cd | 0.4986 | 0.5391 ± 0.0703 e |
| M6 | 0.0437 | 1.4624 | 0.1123 ± 0.0490 d | 0.4362 | 0.5431 ± 0.0690 f |
| N1 | 0.0932 | 33.0401 | 3.5173 ± 2.2694 a | 0.6452 | 0.0948 ± 0.0889 a |
| N2 | 0.0976 | 21.5406 | 0.8885 ± 0.9993 b | 1.1247 | 0.2749 ± 0.1179 b |
| N3 | 0.0730 | 5.1777 | 0.3253 ± 0.2959 c | 0.9096 | 0.3957 ± 0.1010 c |
| N4 | 0.0324 | 0.4974 | 0.1178 ± 0.0482 d | 0.4097 | 0.5276 ± 0.0615 d |
| N5 | 0.0206 | 0.3076 | 0.0795 ± 0.0342 e | 0.4302 | 0.5601 ± 0.0682 e |
| N6 | 0.0244 | 0.2237 | 0.0604 ± 0.0206 e | 0.3411 | 0.5909 ± 0.0674 f |
Disclaimer/Publisher’s Note: The statements, opinions and data contained in all publications are solely those of the individual author(s) and contributor(s) and not of MDPI and/or the editor(s). MDPI and/or the editor(s) disclaim responsibility for any injury to people or property resulting from any ideas, methods, instructions or products referred to in the content. |
© 2024 by the authors. Licensee MDPI, Basel, Switzerland. This article is an open access article distributed under the terms and conditions of the Creative Commons Attribution (CC BY) license (https://creativecommons.org/licenses/by/4.0/).
Share and Cite
He, J.; Li, M. Space–Time Variations in the Long-Range Dependence of Sea Surface Chlorophyll in the East China Sea and the South China Sea. Fractal Fract. 2024, 8, 102. https://doi.org/10.3390/fractalfract8020102
He J, Li M. Space–Time Variations in the Long-Range Dependence of Sea Surface Chlorophyll in the East China Sea and the South China Sea. Fractal and Fractional. 2024; 8(2):102. https://doi.org/10.3390/fractalfract8020102
Chicago/Turabian StyleHe, Junyu, and Ming Li. 2024. "Space–Time Variations in the Long-Range Dependence of Sea Surface Chlorophyll in the East China Sea and the South China Sea" Fractal and Fractional 8, no. 2: 102. https://doi.org/10.3390/fractalfract8020102
APA StyleHe, J., & Li, M. (2024). Space–Time Variations in the Long-Range Dependence of Sea Surface Chlorophyll in the East China Sea and the South China Sea. Fractal and Fractional, 8(2), 102. https://doi.org/10.3390/fractalfract8020102
