Effect of Thermal Cracking on the Tensile Strength of Granite: Novel Insights into Numerical Simulation and Fractal Dimension
Abstract
1. Introduction
2. Experimental Materials and Methods
3. Numerical Modeling Methodology
3.1. Grain-Based Model
3.2. Model Calibration
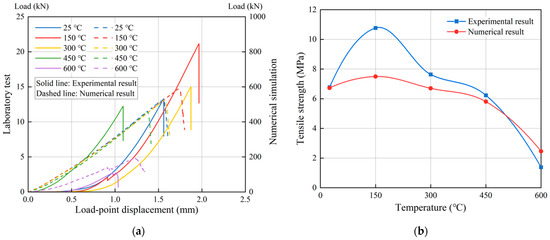
3.3. Model Validation
4. Results and Discussions
4.1. Thermal Cracking Behavior
4.2. Mechanically Induced Cracking Behavior
4.3. Fractal Dimension Characteristics of Cracks
4.3.1. Calculation Method for Fractal Dimension of Cracks
4.3.2. Relationship Between Fractal Dimension of Cracks and Tensile Strength
5. Conclusions
Author Contributions
Funding
Data Availability Statement
Conflicts of Interest
References
- Kumari, W.G.P.; Ranjith, P.G.; Perera, M.S.A.; Chen, B.K. Experimental investigation of quenching effect on mechanical, microstructural and flow characteristics of reservoir rocks: Thermal stimulation method for geothermal energy extraction. J. Pet. Sci. Eng. 2018, 162, 419–433. [Google Scholar] [CrossRef]
- Zhang, Y.; Zhao, G.F. A global review of deep geothermal energy exploration: From a view of rock mechanics and engineering. Geomech. Geophys. Geo-Energy Geo-Resour. 2020, 6, 4. [Google Scholar] [CrossRef]
- Gautam, P.K.; Verma, A.K.; Singh, T.N.; Hu, W.; Singh, K.H. Experimental investigations on the thermal properties of Jalore granitic rocks for nuclear waste repository. Thermochim. Acta 2019, 681, 178381. [Google Scholar] [CrossRef]
- Wasantha, P.L.P.; Guerrieri, M.; Xu, T. Effects of tunnel fires on the mechanical behaviour of rocks in the vicinity—A review. Tunn. Undergr. Space Technol. 2021, 108, 103667. [Google Scholar] [CrossRef]
- Huang, Z.; Zeng, W.; Gu, Q.; Wu, Y.; Zhong, W.; Zhao, K. Investigations of variations in physical and mechanical properties of granite, sandstone, and marble after temperature and acid solution treatments. Constr. Build. Mater. 2021, 307, 124943. [Google Scholar] [CrossRef]
- Yang, S.Q.; Ranjith, P.G.; Jing, H.W.; Tian, W.L.; Ju, Y. An experimental investigation on thermal damage and failure mechanical behavior of granite after exposure to different high temperature treatments. Geothermics 2017, 65, 180–197. [Google Scholar] [CrossRef]
- Gao, J.; Xi, Y.; Fan, L.; Du, X. Real-time visual analysis of the microcracking behavior of thermally damaged granite under uniaxial loading. Rock Mech. Rock Eng. 2021, 54, 6549–6564. [Google Scholar] [CrossRef]
- Zhang, X.; Li, Z.; Wang, X.; Wang, H.; Li, B.; Niu, Y. Thermal effect on the fracture behavior of granite using acoustic emission and digital image correlation: An experimental investigation. Theor. Appl. Fract. Mech. 2022, 121, 103540. [Google Scholar] [CrossRef]
- Wang, F.; Konietzky, H. Thermal cracking in granite during a heating–cooling cycle up to 1000 °C: Laboratory testing and real-time simulation. Rock Mech. Rock Eng. 2022, 55, 1411–1428. [Google Scholar] [CrossRef]
- Shen, Y.J.; Hou, X.; Yuan, J.Q.; Zhao, C.H. Experimental study on temperature change and crack expansion of high temperature granite under different cooling shock treatments. Energies 2019, 12, 2097. [Google Scholar] [CrossRef]
- Pan, J.; Zhang, Y.; Li, P.; Wu, X.; Xi, X. Mechanical properties and thermo-chemical damage constitutive model of granite subjected to thermal and chemical treatments under uniaxial compression. Constr. Build. Mater. 2023, 390, 131755. [Google Scholar] [CrossRef]
- Zhao, Z.; Liu, Z.; Pu, H.; Li, X. Effect of thermal treatment on Brazilian tensile strength of granites with different grain size distributions. Rock Mech. Rock Eng. 2018, 51, 1293–1303. [Google Scholar] [CrossRef]
- David, C.; Menéndez, B.; Darot, M. Influence of stress-induced and thermal cracking on physical properties and microstructure of La Peyratte granite. Int. J. Rock Mech. Min. Sci. 1999, 36, 433–448. [Google Scholar] [CrossRef]
- Chaki, S.; Takarli, M.; Agbodjan, W.P. Influence of thermal damage on physical properties of a granite rock: Porosity, permeability and ultrasonic wave evolutions. Constr. Build. Mater. 2008, 22, 1456–1461. [Google Scholar] [CrossRef]
- Pan, J.; Feng, Z.; Zhang, Y.; Xi, X.; Miao, S.; Cai, M. Experimental study on evaluation of porosity, thermal conductivity, UCS, and elastic modulus of granite after thermal and chemical treatments by using P-wave velocity. Geoenergy Sci. Eng. 2023, 230, 212184. [Google Scholar] [CrossRef]
- Zhao, Z. Thermal influence on mechanical properties of granite: A microcracking perspective. Rock Mech. Rock Eng. 2016, 49, 747–762. [Google Scholar] [CrossRef]
- Hu, X.; Hu, H.; Xie, N.; Huang, Y.; Guo, P.; Gong, X. The effect of grain size heterogeneity on mechanical and microcracking behavior of pre-heated Lac du Bonnet granite using a grain-based model. Rock Mech. Rock Eng. 2023, 56, 5923–5954. [Google Scholar] [CrossRef]
- Guo, P.; Zhang, P.; Bu, M.; Wang, J.; Zheng, X.; He, M. Microcracking behavior and damage mechanism of granite subjected to high temperature based on CT-GBM numerical simulation. Comput. Geotech. 2023, 159, 105385. [Google Scholar] [CrossRef]
- Pan, J.; Ma, Y.; Zhang, L.; Xi, X.; Zhang, Y.; Cai, M. Effect of heat treatment on microcracking behaviors and Mode-I fracture characteristics of granite: An experimental and numerical investigation. Theor. Appl. Fract. Mech. 2024, 132, 104489. [Google Scholar] [CrossRef]
- Pan, J.; Ma, Y.; Zhang, L.; Feng, X.; Ren, F.; Cai, M.; Xi, X. Effects of temperature on pure mode-I and mode-II fracture behaviors and acoustic emission characteristics of granite using a grain-based model. Theor. Appl. Fract. Mech. 2024, 133, 104637. [Google Scholar] [CrossRef]
- Tian, W.L.; Yang, S.Q.; Huang, Y.H.; Hu, B. Mechanical behavior of granite with different grain sizes after high-temperature treatment by particle flow simulation. Rock Mech. Rock Eng. 2020, 53, 1791–1807. [Google Scholar] [CrossRef]
- Yin, T.B.; Zhuang, D.D.; Li, M.J.; Li, X.B. Numerical simulation study on the thermal stress evolution and thermal cracking law of granite under heat conduction. Comput. Geotech. 2022, 148, 104813. [Google Scholar] [CrossRef]
- Wu, X.; Cai, M.; Zhu, Y.; Guo, Q.; Wang, P.; Dong, J. An experimental study on the fractal characteristics of the effective pore structure in granite by thermal treatment. Case Stud. Therm. Eng. 2023, 45, 102921. [Google Scholar] [CrossRef]
- Itasca Consulting Group, Inc. PFC 6.0 Documentation; Itasca Consulting Group, Inc.: Minneapolis, MN, USA, 2018. [Google Scholar]
- Hofmann, H.; Babadagli, T.; Yoon, J.S.; Zang, A.; Zimmermann, G. A grain based modeling study of mineralogical factors affecting strength, elastic behavior and micro fracture development during compression tests in granites. Eng. Fract. Mech. 2015, 147, 261–275. [Google Scholar] [CrossRef]
- Dang, Y.; Yang, Z.; Liu, X.; Lu, C. Numerical study on failure mechanism and acoustic emission characteristics of granite after thermal treatment. Comput. Part. Mech. 2023, 10, 1245–1266. [Google Scholar] [CrossRef]
- Ma, G.; Li, J.; Zhao, Y.; Zhou, X.; Qiu, P.; Lu, J. Effect of heat treatment on the shear fracture and acoustic emission properties of granite with thermal storage potential: A laboratory-scale test. Theor. Appl. Fract. Mech. 2024, 133, 104621. [Google Scholar] [CrossRef]
- Zhu, Y.; Dou, L.; Zhang, S.; Cui, X.; Xing, Q.; Li, J. Numerical study of the influence of grain size and heterogeneity on thermal cracking and damage of granite. Geoenergy Sci. Eng. 2024, 233, 212507. [Google Scholar] [CrossRef]
- Zhang, Y.; Wong, L.N.Y.; Chan, K.K. An extended grain-based model accounting for microstructures in rock deformation. J. Geophys. Res. Solid Earth 2019, 124, 125–148. [Google Scholar] [CrossRef]
- Chen, Y.L.; Wang, S.R.; Ni, J.; Azzam, R.; Fernandez-Steeger, T.M. An experimental study of the mechanical properties of granite after high temperature exposure based on mineral characteristics. Eng. Geol. 2017, 220, 234–242. [Google Scholar] [CrossRef]
- Kumari, W.G.P.; Beaumont, D.M.; Ranjith, P.G.; Perera, M.S.A.; Avanthi Isaka, B.L.; Khandelwal, M. An experimental study on tensile characteristics of granite rocks exposed to different high-temperature treatments. Geomech. Geophys. Geo-Energy Geo-Resour. 2019, 5, 47–64. [Google Scholar] [CrossRef]
- Qin, Y.; Tian, H.; Xu, N.X.; Chen, Y. Physical and mechanical properties of granite after high-temperature treatment. Rock Mech. Rock Eng. 2020, 53, 305–322. [Google Scholar] [CrossRef]
- Keller, J.M.; Chen, S.; Crownover, R.M. Texture description and segmentation through fractal geometry. Comput. Vis. Graph. Image Process. 1989, 45, 150–166. [Google Scholar] [CrossRef]
- Ai, T.; Zhang, R.; Zhou, H.W.; Pei, J.L. Box-counting methods to directly estimate the fractal dimension of a rock surface. Appl. Surf. Sci. 2014, 314, 610–621. [Google Scholar] [CrossRef]
- Ma, G.; Li, J.; Zhou, X.; Zhang, L.; Qiu, P.; Yu, Y. Application of asymmetric notched semi-circular bending specimen to evaluate mixed-mode I-II fracture behaviors of sandstone. Fractal Fract. 2022, 6, 336. [Google Scholar] [CrossRef]
- Liu, Y.; Sun, T.; Wu, K.; Zhang, H.; Zhang, J.; Jiang, X.; Lin, Q.; Feng, M. Fractal-based pattern quantification of mineral grains: A case study of Yichun rare-metal granite. Fractal Fract. 2024, 8, 49. [Google Scholar] [CrossRef]










| Item | Micro-Parameter (Unit) | Value | |||
|---|---|---|---|---|---|
| Plagioclase | Quartz | K-Feldspar | Biotite | ||
| Basic parameters | Mineral content (%) | 70.7 | 17.0 | 10.0 | 2.3 |
| Minimum radius of particle (mm) | 0.15 | 0.15 | 0.15 | 0.15 | |
| Particle radius ratio | 1.66 | 1.66 | 1.66 | 1.66 | |
| Particle density (kg·m−3) | 2600 | 2650 | 2600 | 2850 | |
| Particle friction coefficient | 1.2 | 1.2 | 1.2 | 1.2 | |
| Mineral grains (PBC model) | Contact normal to shear stiffness ratio | 1.7 | 1.0 | 1.6 | 1.1 |
| Particle–particle contact modulus (GPa) | 1.0 | 2.0 | 0.7 | 0.5 | |
| PBC normal to shear stiffness ratio | 1.7 | 1.0 | 1.6 | 1.1 | |
| PBC modulus (GPa) | 1.0 | 2.0 | 0.7 | 0.5 | |
| PBC radius multiplier λp | 0.60 | 0.60 | 0.60 | 0.60 | |
| PBC tensile strength (MPa) | 33.6 | 36.4 | 59.5 | 28.0 | |
| PBC cohesion (MPa) | 48 | 52 | 45 | 40 | |
| PBC friction angle (°) | 30 | 30 | 30 | 30 | |
| Grain boundaries (SJC model) | SJC radius multiplier λs | 0.60 | |||
| SJC normal stiffness factor | 0.60 | ||||
| SJC shear stiffness factor | 0.80 | ||||
| SJC tensile strength (MPa) | 10 | ||||
| SJC cohesion (MPa) | 30 | ||||
| SJC friction angle (°) | 30 | ||||
| SJC friction coefficient | 1.2 | ||||
| Thermal parameters | Specific heat (J·Kg−1·K−1) | 1015 | |||
| Thermal conductivity (W·m−1·K−1) | 3.5 | ||||
| Thermal expansion coefficients (10−6·K−1) | 14.1 | 24.3 | 8.7 | 3.0 | |
| T (°C) | Heating-Induced Cracks | Cooling-Induced Cracks |
|---|---|---|
| 150 | ![]() | ![]() |
| 300 | ![]() | ![]() |
| 450 | ![]() | ![]() |
| 600 | ![]() | ![]() |
| T (°C) | Test Image | Numerical Image | Binary Image |
|---|---|---|---|
| 25 | ![]() | ![]() | ![]() |
| 150 | ![]() | ![]() | ![]() |
| 300 | ![]() | ![]() | ![]() |
| 450 | ![]() | ![]() | ![]() |
| 600 | ![]() | ![]() | ![]() |
| T (°C) | Accumulated Number of Cracks | Fractal Dimension | Tensile Strength (MPa) | ||||
|---|---|---|---|---|---|---|---|
| Heating | Cooling | Loading | Heating | Cooling | Loading | ||
| 25 | 0 | 0 | 806 | 0 | 0 | 1.32 | 6.73 |
| 150 | 0 | 0 | 890 | 0 | 0 | 1.33 | 7.50 |
| 300 | 80 | 453 | 1297 | 0.42 | 0.84 | 1.42 | 6.70 |
| 450 | 382 | 2260 | 2977 | 0.80 | 1.26 | 1.54 | 5.80 |
| 600 | 3288 | 5291 | 5697 | 1.33 | 1.49 | 1.65 | 2.46 |
Disclaimer/Publisher’s Note: The statements, opinions and data contained in all publications are solely those of the individual author(s) and contributor(s) and not of MDPI and/or the editor(s). MDPI and/or the editor(s) disclaim responsibility for any injury to people or property resulting from any ideas, methods, instructions or products referred to in the content. |
© 2024 by the authors. Licensee MDPI, Basel, Switzerland. This article is an open access article distributed under the terms and conditions of the Creative Commons Attribution (CC BY) license (https://creativecommons.org/licenses/by/4.0/).
Share and Cite
Pan, J.; Zhang, L.; Ma, Y.; Zhang, Y.; Xi, X. Effect of Thermal Cracking on the Tensile Strength of Granite: Novel Insights into Numerical Simulation and Fractal Dimension. Fractal Fract. 2024, 8, 669. https://doi.org/10.3390/fractalfract8110669
Pan J, Zhang L, Ma Y, Zhang Y, Xi X. Effect of Thermal Cracking on the Tensile Strength of Granite: Novel Insights into Numerical Simulation and Fractal Dimension. Fractal and Fractional. 2024; 8(11):669. https://doi.org/10.3390/fractalfract8110669
Chicago/Turabian StylePan, Jiliang, Leiming Zhang, Yichen Ma, Ying Zhang, and Xun Xi. 2024. "Effect of Thermal Cracking on the Tensile Strength of Granite: Novel Insights into Numerical Simulation and Fractal Dimension" Fractal and Fractional 8, no. 11: 669. https://doi.org/10.3390/fractalfract8110669
APA StylePan, J., Zhang, L., Ma, Y., Zhang, Y., & Xi, X. (2024). Effect of Thermal Cracking on the Tensile Strength of Granite: Novel Insights into Numerical Simulation and Fractal Dimension. Fractal and Fractional, 8(11), 669. https://doi.org/10.3390/fractalfract8110669
























