A Mechanical Picture of Fractal Darcy’s Law
Abstract
1. Introduction
2. Mathematical Background
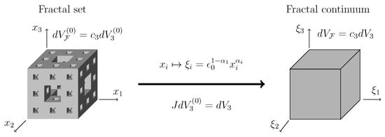
2.1. Spatial Coordinates Embedded in Euclidean Space of a Fractal
- i
- The fractal distance is defined by , where is the fractal dimension of the fractal coordinates .
- ii
- The fractal area of the cross section of the fractal domain (see Figure 1) with respect to its linear size L is given by , with being the fractal dimension of the cross-sectional area given by the intersection between the fractal and a two-dimensional Cartesian plane in .
- iii
2.2. Spatial Coordinates in the Fractal Continuum
2.3. Conservation Laws for Fractal Continuum Flow
3. Differential Equations of Darcy’s Law for Fractal Continuum
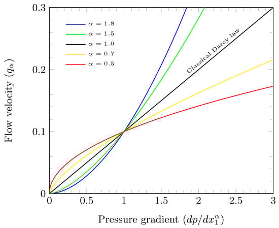
4. Theoretical Implementations and Discussions of Suggested Formulation
5. Conclusions
Author Contributions
Funding
Institutional Review Board Statement
Informed Consent Statement
Data Availability Statement
Acknowledgments
Conflicts of Interest
References
- Falconer, K. Fractal Geometry: Mathematical Foundations and Applications; John Wiley and Sons, Ltd.: Chichester, UK, 2014. [Google Scholar]
- Wang, F.; Sohail, A.; Tang, Q.; Li, Z. Impact of fractals emeergin from the fitness activities on the retail of smart wearable devices. Fractals 2022, 30, 2240112. [Google Scholar] [CrossRef]
- Florindo, J.; Bruno, O. Closed contour fractal dimension estimation by the Fourier transform. Chaos Solitons Fractals 2011, 44, 851–861. [Google Scholar] [CrossRef]
- Golmankhaneh, A. Fractal Calculus and Its Applications: Fα-Calculus; World Scientific: Singapore, 2022. [Google Scholar]
- Delsanto, P.; Gliozzi, S.; Bruno, L.; Pugno, N.; Carpinteri, A. Scaling laws and fractality in the framework of a phenomenological approach. Chaos Solitons Fractals 2009, 41, 2782–2786. [Google Scholar] [CrossRef]
- Othman, M.; Numbere, D. Characterization of macro-scale heterogeneity and homogeneity of porous media employing fractal geometry. Chaos Solitons Fractals 2002, 13, 845–852. [Google Scholar] [CrossRef]
- Sui, L.; Yu, J.; Cang, D.; Miao, W.; Wang, H.; Zhang, J.; Yin, Z.; Chang, K. The fractal description model of rock fracture networks characterization. Chaos Solitons Fractals 2019, 129, 71–76. [Google Scholar] [CrossRef]
- Wang, F.; Saeed, A.M.; Puneeth, V.; Shah, N.A.; Anwar, M.S.; Geudri, K.; Eldin, S.M. Heat and mass transfer of Ag–H2O nano-thin film flowing over a porous medium: A modified Buongiorno’s model. Chin. J. Phys. 2023, 84, 330–342. [Google Scholar] [CrossRef]
- Brown, G. Henry Darcy and the making of a law. Water Resour. Res. 2002, 38, 1106. [Google Scholar] [CrossRef]
- Agnaou, M.; Lasseux, D.; Ahmadi, A. Origin of the inertial deviation from Darcy’s law: An investigation from a microscopic flow analysis on two-dimensional model structures. Phys. Rev. E 2017, 96, 043105. [Google Scholar] [CrossRef]
- O’Sullivean, C.; Arson, C.; Coasne, B. A Perspective on Darcy’s Law across the Scales: From Physical Foundations to Particulate Mechanics. J. Eng. Mech. 2022, 148, 330–342. [Google Scholar] [CrossRef]
- Ziarani, A.; Aguilera, R. Knudsen’s Permeability Correction for Tight Porous Media. Transp. Porous Med. 2012, 91, 239–260. [Google Scholar] [CrossRef]
- Bear, J. Modeling Phenomena of Flow and Transport in Porous Media; Springer: Cham, Switzerland, 2018. [Google Scholar]
- Zhou, H.; Yang, S. Fractional derivative approach to non-Darcian flow in porous media. J. Hydrol. 2018, 566, 910–918. [Google Scholar] [CrossRef]
- Hansbo, S. Consolidation equation valid for both Darcian and non-Darcian flow. Geotechnique 2001, 51, 51–54. [Google Scholar] [CrossRef]
- Miskimins, J.; Henry, L.; Barree, R. Non-Darcy flow in hydraulic fractures: Does it really matter. In Proceedings of the SPE Annual Technical Conference and Exhibition, Dallas, TX, USA, 9–12 October 2005; pp. 1–8. [Google Scholar] [CrossRef]
- Swartzendruber, D. Modification of Darcy’s law for the flow of water in soils. Soil Sci. 1962, 93, 22–29. [Google Scholar] [CrossRef]
- Liu, H.; Birkholzer, J. On the relationship between water flux and hydraulic gradient for unsaturated and saturated clay. J. Hydrol. 2012, 475, 242–247. [Google Scholar] [CrossRef]
- Zhang, Y.; Sun, H.; Stowell, H.; Zayernouri, M.; Hansen, S. A review of applications of fractional calculus in Earth system dynamics. Chaos Solitons Fractals 2017, 102, 29–46. [Google Scholar] [CrossRef]
- Machado, J.; Galhano, M.; Trujillo, J. On development of fractional calculus during the last fifty years. Scientometrics 2014, 98, 577–582. [Google Scholar] [CrossRef]
- Su, N. Fractional Calculus for Hydrology, Soil Science and Geomechanics: An Introduction to Applications; Taylor and Francis Group, LLC: Boca Raton, FL, USA; London, UK; New York, NY, USA, 2022. [Google Scholar]
- El-Amin, M.F. Derivation of fractional-derivative models of multiphase fluid flows in porous media. J. King Saud Univ. Sci. 2021, 33, 101346. [Google Scholar] [CrossRef]
- Ochoa-Tapia, J.; Valdes-Parada, F.; Alvarez-Ramirez, J. A fractional-order Darcy’s law. Phys. A Stat. Mech. Appl. 2007, 374, 1–14. [Google Scholar] [CrossRef]
- Cloot, A.; Botha, J. A generalised groundwater flow equation using the concept of non-integer order derivatives. Water SA 2007, 32, 1–7. [Google Scholar] [CrossRef][Green Version]
- He, J. Approximate analytical solution for seepage flow with fractional derivatives in porous media. Comput. Methods Appl. Mech. Eng. 1998, 167, 57–68. [Google Scholar] [CrossRef]
- Yang, S.; Wang, L.; Zhang, S. Conformable derivative: Application to non-Darcian flow in low-permeability porous media. Appl. Math. Lett. 2018, 79, 105–110. [Google Scholar] [CrossRef]
- Chang, A.; Sun, H.; Zhang, Y.; Zheng, C.; Min, F. Spatial fractional Darcy’s law to quantify fluid flow in natural reservoirs. Physica A 2019, 519, 119–126. [Google Scholar] [CrossRef]
- Alcántara-López, F.; Fuentes, C.; Camacho-Velázquez, R.; Brambila-Paz, F.; Chávez, C. Spatial fractional Darcy’s law on the diffusion equation with a fractional time derivative in single-porosity naturally fractured reservoirs. Energies 2022, 15, 4837. [Google Scholar] [CrossRef]
- Golmankhaneh, A.; Nia, S. Laplace equations on the fractal cubes and Casimir effect. Eur. Phys. J. Spec. Top. 2021, 230, 3895–3900. [Google Scholar] [CrossRef]
- Carpinteri, A.; Mainardi, F. Fractals and Fractional Calculus in Continuum Mechanics; Springer: Wien, Austria; New York, NY, USA, 1997. [Google Scholar]
- Xu, F.; Dong, P. Fractal approach to hydraulic properties in unsaturated porous media. Chaos Solitons Fractals 2004, 19, 327–337. [Google Scholar] [CrossRef]
- Parvate, A.; Satin, S.; Gangal, A.D. Calculus on fractal curves in Rn. Fractals 2011, 19, 15–27. [Google Scholar] [CrossRef]
- Carpinteri, A.; Chiai, B.; Cornetti, P. A fractal theory for the mechanics of elastic materials. Chaos Solitons Fractals 2004, 365, 235–240. [Google Scholar] [CrossRef]
- Lacan, F.; Tresser, C. Fractals as objects with nontrivial structures at all scales. Chaos Solitons Fractals 2015, 75, 218–242. [Google Scholar] [CrossRef]
- Tarasov, V.E. General Fractional Vector Calculus. Phys. Lett. A 2005, 336, 167–178. [Google Scholar] [CrossRef]
- Li, J.; Ostoja-Starzewski, M. Fractal solids, product measures and fractional wave equations. Proc. R. Soc. A Math. Phys. 2009, 465, 2521–2536. [Google Scholar] [CrossRef]
- Balankin, A.S.; Elizarraraz, B.E. Hydrodynamics of fractal continuum flow. Phys. Rev. E 2012, 85, 025302. [Google Scholar] [CrossRef] [PubMed]
- Balankin, A.S.; Elizarraraz, B.E. Map of fluid flow in fractal porous medium into fractal continuum flow. Phys. Rev. E 2012, 85, 056314. [Google Scholar] [CrossRef] [PubMed]
- Balankin, A.S. A continuum framework for mechanics of fractal materials I: From fractional space to continuum with fractal metric. Eur. Phys. J. B 2015, 88, 90. [Google Scholar] [CrossRef]
- Balankin, A.S.; Mena, B.; Patino, J.; Morales, D. Electromagnetic fields in fractal continua. Phys. Lett. A 2013, 377, 783–788. [Google Scholar] [CrossRef]
- Balankin, A.S. Effective degrees of freedom of a random walk on a fractal. Phys. Rev. E 2015, 92, 062146. [Google Scholar] [CrossRef] [PubMed]
- Samayoa, D.; Damián, L.; Kriyvko, A. Map of bending problem for self-similar beams into fractal continuum using Euler-Bernoulli principle. Fractal Fract. 2022, 6, 230. [Google Scholar] [CrossRef]
- Samayoa, D.; Kriyvko, A.; Velázquez, G.; Mollinedo, H. Fractal Continuum Calculus of Functions on Euler-Bernoulli Beam. Fractal Fract. 2022, 6, 552. [Google Scholar] [CrossRef]
- Balankin, A.S. Fractional space approach to studies of physical phenomena on fractals and in confined low-dimensional systems. Chaos Solitons Fractals 2020, 132, 109572. [Google Scholar] [CrossRef]
- Tunc, C.; Golmankhaneh, A.K. On stability of a class of second alpha-order fractal differential equations. AIMS Math. 2020, 5, 2126–2142. [Google Scholar] [CrossRef]
- Samayoa, D.; Ochoa, O.L.; Damian, A.L.; Reyes, D.E.; Alvarez, L.; Romero-Paredes, G. Fractal model equation for spontaneous imbibition. Rev. Mex. Fis. 2020, 66, 283–290. [Google Scholar] [CrossRef]
- Balankin, A.; Ramirez-Joachim, J.; Gonzalez-Lopez, G.; Gutierrez-Hernandez, S. Formation factors for a class of deterministic models of pre-fractal pore-fracture networks. Chaos Solitons Fractals 2022, 162, 112452. [Google Scholar] [CrossRef]
- Chen, W. Time-space fabric underlying anomalous diffusion. Chaos Solitons Fractals 2006, 28, 923–929. [Google Scholar] [CrossRef]
- Xiao, B.; Li, Y.; Long, G.; Yu, A.B. Fractal permeability model for power-law fluids in fractured porous media with rough surfaces. Fractals 2022, 30, 2250115. [Google Scholar] [CrossRef]
- Cai, J.; Yu, B.; Zou, M.; Luo, L. Fractal characterization of spontaneous co-current imbibition in porous media. Energy Fuels 2014, 24, 1860–1867. [Google Scholar] [CrossRef]
- Balankin, A.S.; Valdivia, J.C.; Marquez, J.; Susarrey, O.; Solorio-Avila, M.A. Anomalous diffusion of fluid momentum and Darcy-like law for laminar flow in media with fractal porosity. Phys. Lett. A 2016, 380, 2767–2773. [Google Scholar] [CrossRef]
- Yu, B.; Li, J. Some fractal characters of porous media. Fractals 2001, 9, 365–372. [Google Scholar] [CrossRef]
- Sedghi-Asl, M.; Rahimi, H.; Salehi, R. Non-Darcy Flow of Water through a Packed Column Test. Transp. Porous Med. 2014, 101, 215–227. [Google Scholar] [CrossRef]
- Chang, A.; Sun, H. Time-space fractional derivative models for CO2 transport in heterogeneous media. Fract. Calc. Appl. Anal. 2018, 21, 151–173. [Google Scholar] [CrossRef]
- Miao, T.; Long, Z.; Chen, A.; Yu, B. Analysis of permeabilities for slug flow in fractal porous media. Int. Commun. Heat Mass Transf. 2017, 88, 194–202. [Google Scholar] [CrossRef]
- Shi, D.; Li, L.; Guo, Y.; Liu, J.; Tang, J.; Chang, X.; Song, R.; Wu, M. Estimation of rough fracture network permeability using fractal and topology theories. Gas Sci. Eng. 2023, 116, 205043. [Google Scholar] [CrossRef]






Disclaimer/Publisher’s Note: The statements, opinions and data contained in all publications are solely those of the individual author(s) and contributor(s) and not of MDPI and/or the editor(s). MDPI and/or the editor(s) disclaim responsibility for any injury to people or property resulting from any ideas, methods, instructions or products referred to in the content. |
© 2023 by the authors. Licensee MDPI, Basel, Switzerland. This article is an open access article distributed under the terms and conditions of the Creative Commons Attribution (CC BY) license (https://creativecommons.org/licenses/by/4.0/).
Share and Cite
Damián Adame, L.; Gutiérrez-Torres, C.d.C.; Figueroa-Espinoza, B.; Barbosa-Saldaña, J.G.; Jiménez-Bernal, J.A. A Mechanical Picture of Fractal Darcy’s Law. Fractal Fract. 2023, 7, 639. https://doi.org/10.3390/fractalfract7090639
Damián Adame L, Gutiérrez-Torres CdC, Figueroa-Espinoza B, Barbosa-Saldaña JG, Jiménez-Bernal JA. A Mechanical Picture of Fractal Darcy’s Law. Fractal and Fractional. 2023; 7(9):639. https://doi.org/10.3390/fractalfract7090639
Chicago/Turabian StyleDamián Adame, Lucero, Claudia del Carmen Gutiérrez-Torres, Bernardo Figueroa-Espinoza, Juan Gabriel Barbosa-Saldaña, and José Alfredo Jiménez-Bernal. 2023. "A Mechanical Picture of Fractal Darcy’s Law" Fractal and Fractional 7, no. 9: 639. https://doi.org/10.3390/fractalfract7090639
APA StyleDamián Adame, L., Gutiérrez-Torres, C. d. C., Figueroa-Espinoza, B., Barbosa-Saldaña, J. G., & Jiménez-Bernal, J. A. (2023). A Mechanical Picture of Fractal Darcy’s Law. Fractal and Fractional, 7(9), 639. https://doi.org/10.3390/fractalfract7090639

