The Influence of the Fractal Dimension on the Mechanical Behaviors of the Soil–Rock Mixture: A Case Study from Southwest China
Abstract
1. Introduction
2. Fractal Theory and Characteristics of the Soil–Rock Mixture
2.1. Fractal Theory and Model
2.2. Fractal Characteristics of Soil–Rock Mixture
3. Material and Method
3.1. Study Area
3.2. Material Sampling and Analysis
3.3. Experimental Scheme
3.4. Analysis Method
4. Results and Discussion
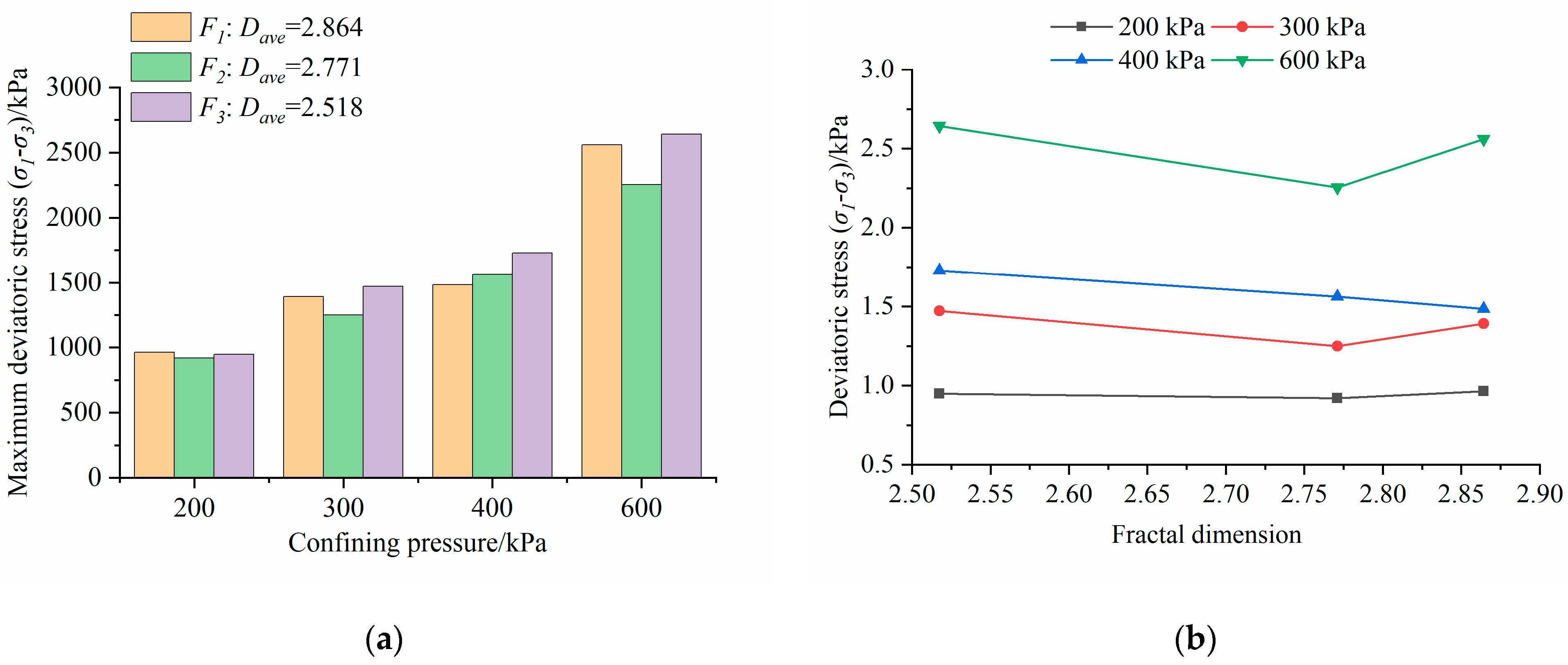
4.1. Analysis of Deviatoric Stress–Axial Strain Curve Characteristics
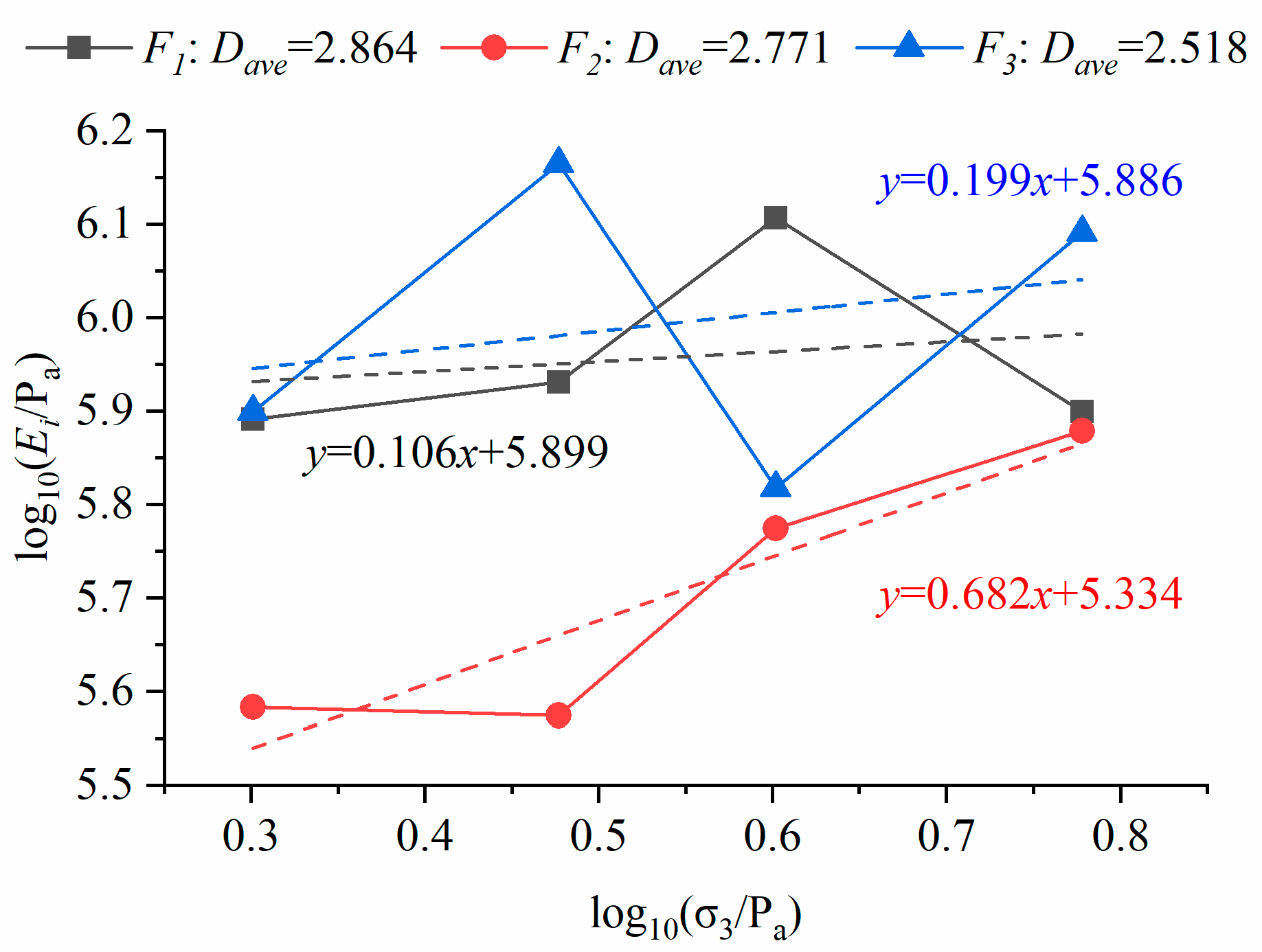
4.2. Analysis of Linear Strength Index Characteristics
4.3. Analysis of Nonlinear Strength Index Characteristics
5. Conclusions
- The majority of the particle size distributions of the natural S–RM in southwest China and Three Gorges Reservoir satisfy the fractal distribution. The average fractal dimension of the material ranges from 2.328 to 2.864. The double fractal characteristic of the material can be observed due to the difference in the particle size of the coarse and fine grain, and the particle size corresponding to the segments of the fractal curve can be thought of as the threshold diameter of the coarse and fine grain.
- The large–scale triaxial test of S–RM with various fractal dimensions shows that the linear and nonlinear strength indexes are both affected by fractal characteristics. The cohesion presents an increasing and then decreasing pattern as the average fractal dimension increases, while the friction angle is mainly within the range of 38.68°~42.48°. The peak friction angle decreases from 46.34° to 46.02° as the average fractal dimension decreases from 2.864 to 2.518.
- The results show that the difference in the fractal dimension of the coarse and fine grain becomes more pronounced as the coarse grain content increases, and the use of the average fractal dimension to study the mechanical properties would result in certain inaccuracies. The degree of the particle size inhomogeneity and the voids between the coarse grains both increase as the coarse grain content increases, and the contact friction effect between the coarse grain starts to play a role in the strength of the material. In this case, the duality of the S–RM due to the multi–phase component has a more evident influence and results in more complicated mechanical properties.
Author Contributions
Funding
Institutional Review Board Statement
Informed Consent Statement
Data Availability Statement
Conflicts of Interest
References
- You, X.H. Stochastic structural model of the earth-rock aggregate and its applicaiton. Chin. J. Rock Mech. Eng. 2002, 21, 1748. [Google Scholar]
- Xu, W.J.; Hu, R.L. Conception, classification and significations of soil-rock mixture. Hydrogeol. Eng. Geol. 2009, 36, 50–56, 70. [Google Scholar]
- Wei, H.Z.; Wang, R.; Hu, M.J.; Zhao, H.; Xu, X.Y. Strength behaviour of gravelly soil with different coarse-grained contents in Jiangjiagou Ravine. Rock Soil Mech. 2008, 29, 48–51, 57. [Google Scholar]
- Kalender, A.; Sonmez, H.; Medley, E.; Tunusluoglu, C.; Kasapoglu, K.E. An approach to predicting the overall strengths of unwelded bimrocksand bimsoils. Eng. Geol. 2014, 183, 65–79. [Google Scholar] [CrossRef]
- Zhang, Z.P.; Sheng, Q.; Fu, X.D.; Zhou, Y.Q.; Huang, J.H.; Du, Y.X. An approach to predicting the shear strength of soil-rock mixture based on rock block proportion. Bull. Eng. Geol. Environ. 2020, 79, 2423–2437. [Google Scholar] [CrossRef]
- Schmudderich, C.; Prada-Sarmiento, L.F.; Wichtmann, T. Numerical analyses of the 2D bearing capacity of block-in-matrix soils (bimsoils) under shallow foundations. Comput. Geotech. 2021, 136, 104232. [Google Scholar] [CrossRef]
- Mandelbrot, B.B. The Fractal Geometry of Nature; WH Freeman: New York, NY, USA, 1982; Volume 1. [Google Scholar]
- Dai, L.; Wang, G.; He, Y. Assessing soil fractal and sorting characteristics based on geostatistics and modeling approaches in a typical basin of North China plain. Earth Sci. Inform. 2021, 14, 819–829. [Google Scholar] [CrossRef]
- Bayat, H.; Davatgar, N.; Jalali, M. Prediction of CEC using fractal parameters by artificial neural networks. Int. Agrophysics 2014, 28, 143–152. [Google Scholar] [CrossRef]
- Amanbaev, T.R. Calculating the parameters of the fractal aggregates formed in a bidisperse suspension. Theor. Found. Chem. Eng. 2018, 52, 846–852. [Google Scholar] [CrossRef]
- Chen, X.Y.; Zhou, J. Volume-based soil particle fractal relation with soil erodibility in a small watershed of purple soil. Environ. Earth Sci. 2013, 70, 1735–1746. [Google Scholar] [CrossRef]
- Tasdemir, A. Fractal evaluation of particle size distributions of chromites in different comminution environments. Miner. Eng. 2009, 22, 156–167. [Google Scholar] [CrossRef]
- Ghanbarian, B.; Daigle, H. Fractal dimension of soil fragment mass-size distribution: A critical analysis. Geoderma 2015, 245, 98–103. [Google Scholar] [CrossRef]
- Fu, X.D.; Ding, H.F.; Sheng, Q.; Zhang, Z.P.; Yin, D.W.; Chen, F. Fractal analysis of particle distribution and scale effect in soil-rock mixture. Fractal Fract. 2022, 6, 120. [Google Scholar] [CrossRef]
- Li, Z.S.; Yi, H.Y.; Zhu, C.; Zhuo, Z.; Liu, G.S. Randomly generating the 3D mesostructure of soil rock mixtures based on the full in situ digital image processed information. Fractal Fract. 2022, 6, 570. [Google Scholar] [CrossRef]
- Mahdevari, S.; Maarefvand, P. An investigation into the effects of block size distribution function on the strength of bimrocks based on large-scale laboratory tests. Arab. J. Geosci. 2016, 9, 509. [Google Scholar] [CrossRef]
- Fu, X.D.; Zhang, Z.P.; Sheng, Q.; Zhou, Y.Q.; Huang, J.H.; Wu, Z.; Liu, M. Applications of an innovative strength parameter estimation method of the soilrock mixture in evaluating the deposit slope stability under rainfall. Front. Earth Sci. 2021, 9, 768757. [Google Scholar] [CrossRef]
- Antonaki, N.; Abdoun, T.; Sasanakul, I. Centrifuge tests on comixing of mine tailings and waste rock. J. Geotech. Geoenvironmental Eng. 2017, 144, 04017099. [Google Scholar] [CrossRef]
- Vallejo, L.E.; Pappas, D. Effect of nondurable material on settlement of embankments. Transp. Res. Rec. 2010, 2170, 84–89. [Google Scholar] [CrossRef]
- Hoek, E.; Brown, E.T. The Hoek-Brown failure criterion and GSI—2018 edition. J. Rock Mech. Geotech. Eng. 2019, 11, 445–463. [Google Scholar] [CrossRef]
- Sopaci, E.; Akgun, H.; Daemen, J.J.K. An empirical strength criterion for the Antalya tufa rock, southern Turkey. Environ. Earth Sci. 2019, 78, 567. [Google Scholar] [CrossRef]
- Lee, Y.-K.; Bobet, A. Instantaneous friction angle and cohesion of 2-D and 3-D Hoek-Brown rock failure criteria in terms of stress invariants. Rock Mech. Rock Eng. 2014, 47, 371–385. [Google Scholar] [CrossRef]
- Zhou, Y.Q.; Sheng, Q.; Li, N.N.; Fu, X.D. Numerical investigation of the deformation properties of rock materials subjected to cyclic compression by the finite element method. Soil Dyn. Earthq. Eng. 2019, 126, 14. [Google Scholar] [CrossRef]
- Wang, Y.; Feng, W.K.; Li, C.H.; Hou, Z.Q. An investigation into the effects of block size on the mechanical behaviors of bimsoils using variable-angle shear experiments. Environ. Earth Sci. 2020, 79, 69. [Google Scholar] [CrossRef]
- Liu, M.; Meng, F.; Wang, Y. Evolution of particle crushing of coarse-grained materials in large-scale triaxial tests. Chin. J. Geot. Eng. 2020, 42, 561–567. [Google Scholar]
- Ma, C.; Zhan, H.B.; Zhang, T.; Yao, W.M. Investigation on shear behavior of soft interlayers by ring shear tests. Eng. Geol. 2019, 254, 34–42. [Google Scholar] [CrossRef]
- Zhang, Z.L.; Xu, W.J.; Xia, W.; Zhang, H.Y. Large-scale in-situ test for mechanical characterization of soil-rock mixture used in an embankment dam. Int. J. Rock Mech. Min. Sci. 2016, 86, 317–322. [Google Scholar] [CrossRef]
- Xu, W.J.; Hu, R.L.; Tan, R.J. Some geomechanical properties of soil-rock mixtures in the Hutiao Gorge area, China. Geotechnique 2007, 57, 255–264. [Google Scholar] [CrossRef]
- Xue, Y.D.; Liu, Z.Q.; Wu, J. Direct shear tests and PFC2D numerical simulation of colluvial mixture. Rock Soil Mech. 2014, 35, 587–592. [Google Scholar]
- Zhang, M.; Liu, X.; Wang, P.; Du, L. Shear properties and failure meso-mechanism of soil-rock mixture composed of mudstone under different rock block proportions. J. Civ. Environ. Eng. 2019, 41, 17–26. [Google Scholar]
- Wang, J.; Yan, Y.U.; Ou Guo-Qiang Pan, H.L.; Qiao, C. Study on the geotechnical mechanical characteristics of loose materials in the Wenchuan earthquake-hit Areas. Sci. Technol. Eng. 2016, 16, 1671–1815. [Google Scholar]
- Tu, G.X.; Huang, D.; Huang, R.Q.; Deng, H. Effect of locally accumulated crushed stone soil on the infiltration of intense rainfall: A case study on the reactivation of an old deep landslide deposit. Bull. Eng. Geol. Environ. 2019, 78, 4833–4849. [Google Scholar] [CrossRef]
- Cui, P.; Guo, C.X.; Zhou, J.W.; Hao, M.H.; Xu, F.G. The mechanisms behind shallow failures in slopes comprised of landslide deposits. Eng. Geol. 2014, 180, 34–44. [Google Scholar] [CrossRef]
- Fang, H. Study on strength behaviour of debris flow source region soil in Wenjiagou Ravine. J. Eng. Geol. 2011, 19, 146–151. [Google Scholar]
- Zhang, J. Study on Seepage Characteristic and Stability of Mengdigou Deposit. Master’s Thesis, Chengdu University of Technology, Chengdu, China, 2014. [Google Scholar]
- Li, L. Study on Stability Slope of Water and Electricity Reservoir on the Monkey Cliff Dadu River. Master’s Thesis, Southwest Jiaotong University, Chengdu, China, 2007. [Google Scholar]
- Zhao, L.S. The Characteristics of Fissures Development in Deposits and Its Effects on Rainfall Infiltration Process—Taking the Meilishi 3# Landslide as an Example. Master’s Thesis, Chengdu University of Technology, Chengdu, China, 2019. [Google Scholar]
- Ou, W. Study on the Structural Characteristics of the Ice Water Accumulation Body and Its Control on Deformation in Huanxi Village. Master’s Thesis, Chengdu University of Technology, Chengdu, China, 2020. [Google Scholar]
- Zhang, G. The Research on Formation Mechanism of Colluvial Landslide in Muchuang Country. Master’s Thesis, Chengdu University of Technology, Chengdu, China, 2017. [Google Scholar]
- Bai, Y. Research on Mesostructure and Evolution of Rock-Soil Aggregate Landslides in Deeply Incised Valleys: A Case Study of Rock-Soil Aggregate Landslides in the Danba Reach of the Dadu River. Ph.D. Thesis, Chengdu University of Technology, Chengdu, China, 2020. [Google Scholar]
- Tu, G.X. Study on the Engineering Properties and Stability of Typical Ancient Outwash Congeries in Southwestern Valley, China. Ph.D. Thesis, Chengdu University of Technology, Chengdu, China, 2010. [Google Scholar]
- Zhang, W. Research on the Formation Mechanism of Zhaojiagou Town High-Speed Remote Accumulation Landslide in Zhenxiong, Yunnan. Master’s Thesis, Chengdu University of Technology, Chengdu, China, 2014. [Google Scholar]
- Hu, W. Experimental Study on Shear Strength of Soil-Rock Mixture in Xiluodu Reservoir. Ph.D. Thesis, Chinese Academy of Sciences, Wuhan, China, 2014. [Google Scholar]
- Gao, W.; Hu, R.; Oyediran, I.A.; Li, Z.Q.; Zhang, X.Y. Geomechanical characterization of Zhangmu soil-rock mixture deposit. Geotech Geol Eng 2014, 32, 1329–1338. [Google Scholar] [CrossRef]
- Duncan, J.M.; Chang, C.-Y. Nonlinear analysis of stress and strain in soils. J. Soil Mech. Found. Div. 1970, 96, 1629–1653. [Google Scholar] [CrossRef]
- Janbu, N. Soil Compressibility as Determined by Oedometer and Triaxial Tests; European Conference on Soil Mechanics and Foundations Engineering: Wiesbaden, Germany, 1963. [Google Scholar]
- Zhu, X.; Zheng, B.; Peng, L.; Wu, F.; Yin, X.; Liu, Y.; Yang, X. Study on the solution of sand slabbing in the tailing sand bin of Huanggang iron ore mine. Adv. Civ. Eng. 2022, 2022, 5421827. [Google Scholar] [CrossRef]
- Chung, C.K.; Kim, J.H.; Kim, J.; Kim, T. Hydraulic conductivity variation of coarse-fine soil mixture upon mixing Ratio. Adv. Civ. Eng. 2018, 2018, 6846584. [Google Scholar] [CrossRef]
- Tian, D.; Xie, Q.; Fu, X.; Zhang, J. Experimental study on the effect of fine contents on internal erosion in natural soil deposits. Bull. Eng. Geol. Environ. 2020, 79, 4135–4150. [Google Scholar] [CrossRef]
- Zhu, Y.; Gong, J.; Nie, Z. Shear behaviours of cohesionless mixed soils using the DEM: The influence of coarse particle shape. Particuology 2021, 55, 151–165. [Google Scholar] [CrossRef]


















| Fraction Dimension | Material Composition | Location | Resource |
|---|---|---|---|
| 2.549 | Slate and sandstone fragments with soil | Right bank of Jiangjiagou Gully in Yunnan | Wei et al., (2008) [3] |
| 2.328 | Backfill material | Highfill subway in the mountain area in southwestern | Liu et al., (2020) [25] |
| 2.661 | Carbonaceous silty mudstone and lime mudstone | an open-pit limestone mine in Esheng, Sichuan Province | Ma et al., (2019) [26] |
| 2.853 | Granite rock blocks with residual soil | The core wall of the Nuozhadu dam | Zhang et al., (2016) [27] |
| 2.517 | Sandstone and slate fragments with clay soil mxiture | Longpan landslide in Longpan County, Lijiang City, Yunnan Province, southwest China | Xu et al., (2007) [28] |
| 2.622 | |||
| 2.596 | |||
| 2.572 | Mudstone or shale rock blocks with clayey soil mixture | Typical deposit slope along Shuima highway in Yunnan | Xue et al., (2014) [29] |
| 2.506 | Mudstone or argillaceous sandstone rock blocks with silty clay soil mixture | Earth rock backfill area under Chongqing Rail Transit Line 10 | Zhang et al., (2019) [30] |
| 2.666 | Sandstone, mudstone, carbonaceous shale fragments with clayey soil | Guoquanyan Gully in Dujiangyan City | Wang et al., (2016) [31] |
| 2.682 | |||
| 2.746 | Clayey gravel soil and crushed stone soil | Right bank of the Lancang River Foshan Town, Deqin County | Tu et al., (2019) [32] |
| 2.750 | |||
| 2.743 | |||
| 2.751 | |||
| 2.453 | |||
| 2.332 | Gray calcium phosphate rock and limestone rock blocks with clay and silty clay soil | Landslide deposits at the Wenjiagou Gully | Cui et al., (2014) [33] |
| 2.465 | |||
| 2.420 | |||
| 2.536 | |||
| 2.594 | Limestone fragments with clayey soil mixture | Source of Wenjiagou Ravine debris flow in Qingping country in Mianzhu City | Fang 2011 [34] |
| 2.598 | |||
| 2.599 | |||
| 2.628 | Strongly weathered granite | Near the lower dam site of Mengdi Hydropower Station in Ganzi Prefecture, Sichuan Province | Zhang 2014 [35] |
| 2.434 | |||
| 2.620 | |||
| 2.781 | |||
| 2.748 | |||
| 2.746 | |||
| 2.864 | Schist and phyllite fragments with silty and sandy soil | Bank of Dadu River in Danba County | Li 2014 [36] |
| 2.794 | |||
| 2.799 | |||
| 2.630 | Slate sandstone debris mixed with sandy silt | Meilishi No. 3 Landslide, Deqin County, Yunnan, Western Yunnan | Zhao 2019 [37] |
| 2.654 | |||
| 2.562 | |||
| 2.770 | Phyllite and slate fragements with silty soil | Ice water accumulation body in Huanxi Village, Li County, Aba Prefecture, Sichuan Province | Ou 2020 [38] |
| 2.607 | |||
| 2.691 | |||
| 2.713 | |||
| 2.715 | |||
| 2.620 | |||
| 2.762 | |||
| 2.648 | |||
| 2.672 | |||
| 2.426 | Siltstone, sandy clay rock fragments mixed with clayey sand | Muchuan County in the southwest of Sichuan Basin | Zhang 2017 [39] |
| 2.659 | |||
| 2.635 | |||
| 2.446 | Slate fragments with sand clay soil | Right bank of Dajinchuan River in Danba River | Bai 2020 [40] |
| 2.525 | |||
| 2.547 | |||
| 2.647 | Schist, marble rubble with sand | Left bank of Xiaojin River | |
| 2.523 | |||
| 2.599 | |||
| 2.437 | Rhyolit and rhyolite porphyry fragments with sand silt soil | Ice accumulation deposit in Qingjiangzu, Dadu River | Tu (2010) [41] |
| 2.685 | Basalt, sandstone and mudstone fragments with sandy silt | Ice accumulation deposit in Zhenggang Hydropower Station on Lancang River | |
| 2.735 | |||
| 2.711 | |||
| 2.599 | Strongly weathered basalt, slate, and metasandstone fragments | Ice accumulation deposit in front of the dam of the hydropower station on Lancang River | |
| 2.440 | |||
| 2.491 | |||
| 2.527 | Sandstone detritus with clay material | Zhaojiapo Zhenxiong County, Northeast Yunnan Province | Zhang 2014 [42] |
| 2.563 | |||
| 2.623 | Siltstone and limestone fragments with clay soil | Fujiapingzi, Xiluodu Reservior | Hu Wei (2014) [43] |
| 2.638 | Shale and limestone fragments with clay soil | Ganhaizi, Xiluodu Reservior | |
| 2.585 | Siltstone and limestone fragments with clay soil | NiuGudang, Xiluodu Reservior | |
| 2.64 | Siltstone and dolomite rock blocks | Shuanglongba, Xiluodu Reservior | |
| 2.662 | Mud shale stone rock blocks | Shaniwan, Xiluodu Reservior | |
| 2.678 | Plagioclase gneiss and schis and clayed soil mixture | Left bank of Bhote Kosi River, southern Tibetan Plateau, and southwestern China | Gao et al., (2014) [44] |
| 2.648 | |||
| 2.664 | |||
| 2.588 | |||
| 2.692 | |||
| 2.645 | |||
| 2.636 |
| Sample | Rock Content/(%) | Average Fraction Dimension, Dave | Fraction Dimension of the Soil Matrix, Dsoil | Fraction Dimension of the Rock Block, Drock |
|---|---|---|---|---|
| F1 | 30 | 2.518 | 2.652 | 2.533 |
| F2 | 50 | 2.771 | 2.652 | 2.792 |
| F3 | 80 | 2.864 | 2.652 | 2.892 |
| Sample Number | Average Fraction Dimension, Dave | Confining Pressure | |||
|---|---|---|---|---|---|
| 200 kPa | 300 kPa | 400 kPa | 600 kPa | ||
| F1 | 2.518 | 962.49 | 1390.38 | 1483.37 | 2560.51 |
| F2 | 2.771 | 920.03 | 1249.75 | 1561.22 | 2254.78 |
| F3 | 2.864 | 946.92 | 1470.63 | 1726.82 | 2642.60 |
Disclaimer/Publisher’s Note: The statements, opinions and data contained in all publications are solely those of the individual author(s) and contributor(s) and not of MDPI and/or the editor(s). MDPI and/or the editor(s) disclaim responsibility for any injury to people or property resulting from any ideas, methods, instructions or products referred to in the content. |
© 2023 by the authors. Licensee MDPI, Basel, Switzerland. This article is an open access article distributed under the terms and conditions of the Creative Commons Attribution (CC BY) license (https://creativecommons.org/licenses/by/4.0/).
Share and Cite
Zhang, Z.; Fu, X.; Yuan, W.; Sheng, Q.; Chai, S.; Du, Y. The Influence of the Fractal Dimension on the Mechanical Behaviors of the Soil–Rock Mixture: A Case Study from Southwest China. Fractal Fract. 2023, 7, 106. https://doi.org/10.3390/fractalfract7020106
Zhang Z, Fu X, Yuan W, Sheng Q, Chai S, Du Y. The Influence of the Fractal Dimension on the Mechanical Behaviors of the Soil–Rock Mixture: A Case Study from Southwest China. Fractal and Fractional. 2023; 7(2):106. https://doi.org/10.3390/fractalfract7020106
Chicago/Turabian StyleZhang, Zhenping, Xiaodong Fu, Wei Yuan, Qian Sheng, Shaobo Chai, and Yuxiang Du. 2023. "The Influence of the Fractal Dimension on the Mechanical Behaviors of the Soil–Rock Mixture: A Case Study from Southwest China" Fractal and Fractional 7, no. 2: 106. https://doi.org/10.3390/fractalfract7020106
APA StyleZhang, Z., Fu, X., Yuan, W., Sheng, Q., Chai, S., & Du, Y. (2023). The Influence of the Fractal Dimension on the Mechanical Behaviors of the Soil–Rock Mixture: A Case Study from Southwest China. Fractal and Fractional, 7(2), 106. https://doi.org/10.3390/fractalfract7020106
