Fractal Features in Terrain Restoration of Jiuzhai Valley, a World Natural Heritage Site in China
Abstract
:1. Introduction
2. Research Methods
2.1. Study Area
2.2. The Study Process
2.3. Data Source and Processing
2.4. Calculation of the Fractal Dimension
2.5. Design of Terrain Restoration for the Broken Sparkling Lake Dam
2.5.1. Selection of Fractal Elements
2.5.2. Combination of Fractal Elements
3. Results
3.1. Fractal Analysis of Shuzheng Valley Terrain
3.2. Fractal Analysis of Newly Restored Dam
4. Discussion
4.1. Self-Similarity of Terrains with Different Scales
4.2. Differences in the Composition of Terrain Fractal Elements at the Same Scale
4.2.1. The Primary Scale
4.2.2. The Secondary Scale
4.2.3. The Tertiary Scale
4.3. Verification of Newly Restored Terrain Fractal Dimension
5. Conclusions
- (1)
- The travertine terrain at different scale levels exhibited an apparent linear relationship and self-similarity. The fractal dimension increased as the scale level decreased, reflecting terrain complexity. The terrain was more complex, and the fractal dimension value was higher than the simple terrain.
- (2)
- Differences were observed in the combinations of elements within the same scale. According to the complexity of the terrain, the number and size of terrain fractal elements in different combinations varied. Comparing the differences in fractal elements in spatial combinations using the fractal dimension value is possible.
- (3)
- The topography of the restored Sparkling Lake dam break shows fractal characteristics, and the fractal dimension value is close to that of Sparkling Lake at the secondary scale and that of Shuzheng Valley at the primary scale. The Sparkling Lake dam break had similar fractal characteristics, but its fractal element combination complexity was less than that of the residual dams on the east and west sides.
Author Contributions
Funding
Data Availability Statement
Acknowledgments
Conflicts of Interest
References
- Fan, X.M.; Scaringi, G.; Xu, Q.; Zhan, W.W.; Dai, L.X.; Li, Y.S.; Pei, X.J.; Yang, Q.; Huang, R.Q. Coseismic landslides triggered by the 8th August 2017 M-s 7.0 Jiuzhaigou earthquake (Sichuan, China): Factors controlling their spatial distribution and implications for the seismogenic blind fault identification. Landslides 2018, 15, 967–983. [Google Scholar] [CrossRef]
- Wang, D.P.; Zhou, Y.; Pei, X.J.; Ouyang, C.J.; Du, J.; Scaringi, G. Dam-break dynamics at Huohua Lake following the 2017 M-w 6.5 Jiuzhaigou earthquake in Sichuan, China. Eng. Geol. 2021, 289, 106145. [Google Scholar] [CrossRef]
- Hu, X.; Hu, K.; Zhang, X.; Wei, L.; Tang, J. Quantitative assessment of the impact of earthquake-induced geohazards on natural landscapes in Jiuzhaigou Valley. J. Mt. Sci. 2019, 16, 441–452. [Google Scholar] [CrossRef]
- Durrant, L.J.; Vadher, A.N.; Teller, J. Disaster risk management and cultural heritage: The perceptions of European world heritage site managers on disaster risk management. Int. J. Disaster Risk Reduct. 2023, 89, 103625. [Google Scholar] [CrossRef]
- UNESCO. Convention Concerning the Protection of the World’s Cultural and Natural Heritage. Available online: https://whc.unesco.org/en/conventiontext/ (accessed on 1 October 2023).
- UNESCO. Operational Guidelines for the Implementation of the World Heritage Convention (Revised 2021). Available online: https://whc.unesco.org/en/guidelines/ (accessed on 1 October 2023).
- Bahtiyar, T.B.; Disli, G. Risk management and preventive conservation of historic buildings: The case of Karatay Madrasah (Museum). Int. J. Disaster Risk Reduct. 2022, 77, 103079. [Google Scholar] [CrossRef]
- Yu, K. Large scale ecological restoration: Empowering the nature-based solutions inspired by ancient wisdom of farming. Acta Ecol. Sin. 2019, 39, 8733–8745. [Google Scholar] [CrossRef]
- Quintero-Uribe, L.C.; Navarro, L.M.; Pereira, H.M.; Fernandez, N. Participatory scenarios for restoring European landscapes show a plurality of nature values. Ecography 2022, 2022, e06292. [Google Scholar] [CrossRef]
- Austin, M.J.; Walker-Springett, G.R. Comment on: “Is ‘re-mobilisation’ nature restoration or nature destruction? A commentary”, by Delgado-Fernandez et al. J. Coast. Conserv. 2021, 25, 10. [Google Scholar] [CrossRef]
- Sugio, K. Large-scale Disasters on World Heritage and Cultural Heritage in Japan: Significant Impacts and Sustainable Management Cases. Landsc. Res. 2015, 40, 748–758. [Google Scholar] [CrossRef]
- Floor, J.R.; van Koppen, C.S.A.; van Tatenhove, J.P.M. Science, uncertainty and changing storylines in nature restoration: The case of seagrass restoration in the Dutch Wadden Sea. Ocean. Coast. Manag. 2018, 157, 227–236. [Google Scholar] [CrossRef]
- Swart, J.A.A.; van der Windt, H.J.; Keulartz, J. Valuation of nature in conservation and restoration. Restor. Ecol. 2001, 9, 230–238. [Google Scholar] [CrossRef]
- Matini, M.R.; Andaroodi, E.; Ono, K. A 3D approach to reconstitution of the adobe citadel of Bam after earthquake: A complementary interpretation of architectural heritage knowledge, aerial photogrammetry, and heterogeneous data. Int. J. Archit. Herit. 2019, 13, 600–618. [Google Scholar] [CrossRef]
- Mandelbrot Benoit, B. The Fractal Geometry of Nature; Freeman: New York, NY, USA, 1977; Volume 51, p. 468. [Google Scholar]
- Thomas, I.; Frankhauser, P.; Biernacki, C. The morphology of built-up landscapes in Wallonia (Belgium): A classification using fractal indices. Landsc. Urban Plan. 2008, 84, 99–115. [Google Scholar] [CrossRef]
- Falconer, K.J. The Hausdorff dimension of some fractals and attractors of overlapping construction. J. Stat. Phys. 1987, 47, 123–132. [Google Scholar] [CrossRef]
- Falconer, K.J.; Howroyd, J.D. Packing dimensions of projections and dimension profiles. Math. Proc. Camb. Philos. Soc. 1997, 121, 269–286. [Google Scholar] [CrossRef]
- Dickau, J.J. Fractal cosmology. Chaos Solitons Fractals 2009, 41, 2103–2105. [Google Scholar] [CrossRef]
- Sajid, M.; Husain, A.; Reddy, J.; Alresheedi, M.T.; Al Yahya, S.A.; Al-Rajy, A. Box dimension of the border of Kingdom of Saudi Arabia. Heliyon 2023, 9, E14846. [Google Scholar] [CrossRef]
- Husain, A.; Reddy, J.; Bisht, D.; Sajid, M. Fractal dimension of coastline of Australia. Sci. Rep. 2021, 11, 6304. [Google Scholar] [CrossRef]
- Kallimanis, A.S.; Sgardelis, S.P.; Halley, J.M. Accuracy of fractal dimension estimates for small samples of ecological distributions. Landsc. Ecol. 2002, 17, 281–297. [Google Scholar] [CrossRef]
- Li, B.L. Fractal geometry applications in description and analysis of patch patterns and patch dynamics. Ecol. Model. 2000, 132, 33–50. [Google Scholar] [CrossRef]
- Wang, J.Z.; Guo, Y. Fractal Dimension and Characteristic of Tree Branch Growth. Appl. Mech. Mater. 2014, 610, 246–250. [Google Scholar] [CrossRef]
- Zhu, X.; Wang, J. On Fractal Mechanism of Coastline—A Case Study of China. Chin. Geogr. Sci. 2002, 12, 47–50. [Google Scholar] [CrossRef]
- Ferrarini, A.; Rossi, P.; Rossi, O. Ascribing Ecological Meaning to Habitat Shape by Means of a Piecewise Regression Approach to Fractal Domains. Landsc. Ecol. 2005, 20, 799–809. [Google Scholar] [CrossRef]
- Liu, A.J.; Cameron, G.N. Analysis of landscape patterns in coastal wetlands of Galveston Bay, Texas (USA). Landsc. Ecol. 2001, 16, 581–595. [Google Scholar] [CrossRef]
- Boeye, J.; Kubisch, A.; Bonte, D. Habitat structure mediates spatial segregation and therefore coexistence. Landsc. Ecol. 2014, 29, 593–604. [Google Scholar] [CrossRef]
- Yuanmei, J.; Liping, Y. Multi-scale Research on the Fractal Beauty of Hani Terrace Based on Remote Sensing and Geographic Information System. J. Mt. Sci. 2008, 26, 339–346. [Google Scholar] [CrossRef]
- Zhang, Z.; Song, W. Canal System Structure Characteristics of Typical Irrigation Areas in Yuanyang Terraces Based on UAV Remote Sensing. Res. Soil Water Conserv. 2020, 27, 220–224. [Google Scholar] [CrossRef]
- Yue, W.; Xu, J.; Ai, N. Quantity Character Analysis and Fractal Model Study on the Mosaic Structure of the Landscape in a Mountaionous Area. J. Mt. Sci. 2002, 20, 150–156. [Google Scholar] [CrossRef]
- Katona, V. The Hidden Dimension of Façades: Fractal Analysis Reveals Composition Rules in Classical and Renaissance Architecture. Fractal Fract. 2023, 7, 257. [Google Scholar] [CrossRef]
- Lorenz, W.E.; Kulcke, M. Multilayered Complexity Analysis in Architectural Design: Two Measurement Methods Evaluating Self-Similarity and Complexity. Fractal Fract. 2021, 5, 244. [Google Scholar] [CrossRef]
- Kulcke, M.; Lorenz, W.E. Spherical Box-Counting: Combining 360° Panoramas with Fractal Analysis. Fractal Fract. 2023, 7, 327. [Google Scholar] [CrossRef]
- Chen, Y. Fractal analytical approach of urban form based on spatial correlation function. Chaos Solitons Fractals Interdiscip. J. Nonlinear Sci. Nonequilibrium Complex Phenom. 2013, 49, 47–60. [Google Scholar] [CrossRef]
- Rodin, V.; Rodina, E. The fractal dimension of Tokyo’s streets. Fractals-Complex Geom. Patterns Scaling Nat. Soc. 2000, 8, 413–418. [Google Scholar] [CrossRef]
- Rosario-Amado, I.n.d.; Pozo-Antonio, J.S.; Lorenzo-Salgueiro, G.; Feijoo-Conde, J.; Taboada-Castroe, J. Photorealistic simulated modelling from fractals applied to mined-out pit restoration. DYNA 2014, 81, 57–64. [Google Scholar] [CrossRef]
- Miao, K.J.; Tu, S.H.; Tu, H.S.; Liu, X.; Li, W.L.; Zhao, H.B.; Tang, L.; Ma, J.Y.; Li, Y. Research on Fractal Evolution Characteristics and Safe Mining Technology of Overburden Fissures under Gully Water Body. Fractal Fract. 2022, 6, 486. [Google Scholar] [CrossRef]
- Tang, H.; Hong, Q. Practice and Enlightenment of Shoreline Restoration in US-The Case of Hudson River Sustainable Shorelines Projects. Chin. Landsc. Archit. 2021, 37, 86–91. [Google Scholar] [CrossRef]
- Stamps, A.E. Fractals, skylines, nature and beauty. Landsc. Urban Plan. 2002, 60, 163–184. [Google Scholar] [CrossRef]
- Yan, J.; Qiu, B.; Mao, J. Evaluation and optimization of waterfront skyline of Yushan Lake in Maanshan city based on fractal theory. J. Anhui Agric. Univ. 2019, 46, 541–548. [Google Scholar] [CrossRef]
- Thomas, I.; Tannier, C.; Frankhauser, P. Is there a link between fractal dimension and residential environment at a regional level? Cybergeo 2008, 413, 24. [Google Scholar] [CrossRef]
- Chen, Y. The solutions to uncertainty problem of urban fractal dimension calculation. Entropy 2019, 21, 453. [Google Scholar] [CrossRef]
- Chen, Y. Fractal Modeling and Fractal Dimension Description of Urban Morphology. Entropy 2020, 22, 961. [Google Scholar] [CrossRef] [PubMed]
- Tara, A.; Patuano, A.; Lawson, G. Between 2D and 3D: Studying Structural Complexity of Urban Fabric Using Voxels and LiDAR-Derived DSMs. Fractal Fract. 2021, 5, 227. [Google Scholar] [CrossRef]
- Martinez, F.; Sepulveda, B.; Manriquez, H. Fractal Organization of Chilean Cities: Observations from a Developing Country. Land 2023, 12, 296. [Google Scholar] [CrossRef]
- Yilmaz, M.; Terzi, F. Measuring the patterns of urban spatial growth of coastal cities in developing countries by geospatial metrics. Land Use Policy 2021, 107, 105487. [Google Scholar] [CrossRef]
- Brielmann, A.A.; Buras, N.H.; Salingaros, N.A.; Taylor, R.P. What Happens in Your Brain When You Walk Down the Street? Implications of Architectural Proportions, Biophilia, and Fractal Geometry for Urban Science. Urban Sci. 2022, 6, 3. [Google Scholar] [CrossRef]
- Mehaffy, M.W. The Impacts of Symmetry in Architecture and Urbanism: Toward a New Research Agenda. Buildings 2020, 10, 249. [Google Scholar] [CrossRef]
- Salingaros, N.A. Spontaneous Cities: Lessons to Improve Planning for Housing. Land 2021, 10, 535. [Google Scholar] [CrossRef]
- Spehar, B.; Clifford, C.W.G.; Newell, B.R.; Taylor, R.P. Universal aesthetic of fractals. Comput. Graph.-Uk 2003, 27, 813–820. [Google Scholar] [CrossRef]
- JVNP. Jiuzhai Valley National Park: Shuzheng Lake Information. Available online: https://www.jiuzhai.com/about/scenic-spot/eature-spot/6105-2017-11-28-14 (accessed on 1 October 2023).
- Hu, X.; Hu, K.; Tang, J.; You, Y.; Wu, C. Assessment of debris-flow potential dangers in the Jiuzhaigou Valley following the August 8, 2017, Jiuzhaigou earthquake, western China. Eng. Geol. 2019, 256, 57–66. [Google Scholar] [CrossRef]
- Crawford, T.W.; Commito, J.A.; Borowik, A.M. Fractal characterization of Mytilus edulis L. spatial structure in intertidal landscapes using GIS methods. Landsc. Ecol. 2006, 21, 1033–1044. [Google Scholar] [CrossRef]
- Thomas, I.; Frankhauser, P.; Badariotti, D. Comparing the fractality of European urban neighbourhoods: Do national contexts matter? J. Geogr. Syst. 2012, 14, 189–208. [Google Scholar] [CrossRef]
- Fleischmann, M.; Romice, O.; Porta, S. Measuring urban form: Overcoming terminological inconsistencies for a quantitative and comprehensive morphologic analysis of cities. Environ. Plan. B-Urban Anal. City Sci. 2021, 48, 2133–2150. [Google Scholar] [CrossRef]
- Ostwald, M.J.; Vaughan, J. Analysing the Twentieth-Century House. In The Fractal Dimension of Architecture; Ostwald, M.J., Vaughan, J., Eds.; Springer International Publishing: Cham, Switzerland, 2016; pp. 135–157. [Google Scholar]
- Mandelbrot, B.B. How Long Is the Coast of Britain? Statistical Self-Similarity and Fractional Dimension. Science 1967, 156, 636–638. [Google Scholar] [CrossRef] [PubMed]
- Hausdorff, F. Dimension und äußeres Maß. Math. Ann. 1918, 79, 157–179. [Google Scholar] [CrossRef]
- Falconer, K. Fractal Geometry; Wiley: NewYork, NY, USA, 2003; pp. 76–89. [Google Scholar]
- Vicsek, T. Fractal Growth Phenomena; World Scientific: Singapore, 1989; p. 368. [Google Scholar]
- Rian, I.M.; Park, J.H.; Ahn, H.U.; Chang, D. Fractal geometry as the synthesis of Hindu cosmology in Kandariya Mahadev temple, Khajuraho. Build. Environ. 2007, 42, 4093–4107. [Google Scholar] [CrossRef]
- Sugihara, G.; May, R.M. Applications of fractals in ecology. Trends Ecol. Evol. 1990, 5, 79–86. [Google Scholar] [CrossRef]
- Cooper, J.; Su, M.L.; Oskrochi, R. The influence of fractal dimension and vegetation on the perceptions of streetscape quality in Taipei: With comparative comments made in relation to two British case studies. Environ. Plan. B-Plan. Des. 2013, 40, 43–62. [Google Scholar] [CrossRef]
- Xiong, Y.J.; Du, J.; Qiu, G.Y. Conserving the unique aquatic ecosystem of the Jiuzhai National Heritage Site after the 2017 earthquake: Achievements and challenges. Front. Environ. Sci. 2022, 10, 990185. [Google Scholar] [CrossRef]
- Jiang, Z.D.; Owens, P.R.; Ashworth, A.J.; Fuentes, B.A.; Thomas, A.L.; Sauer, T.J.; Wang, Q.B. Evaluating tree growth factors into species-specific functional soil maps for improved agroforestry system efficiency. Agrofor. Syst. 2022, 96, 479–490. [Google Scholar] [CrossRef]
- Mohamedou, C.; Tokola, T.; Eerikäinen, K. LiDAR-based TWI and terrain attributes in improving parametric predictor for tree growth in southeast Finland. Int. J. Appl. Earth Obs. Geoinf. 2017, 62, 183–191. [Google Scholar] [CrossRef]
- Frankhauser, P. Comparing the morphology of urban patterns in Europe: A fractal approach. Eur. Cities Insights Outskirts 2004, 2, 79–105. [Google Scholar] [CrossRef]
- Tian, D.; Zhou, Q. The development path of urban and rural space in the loess plateau from the perspective of fractal theory:A case study of Mizhi. J. Xi’an Univ. Archit. Technology. Nat. Sci. Ed. 2017, 49, 699–707. [Google Scholar] [CrossRef]
- Loehle, C.; Li, B.L. Statistical properties of ecological and geologic fractals. Ecol. Model. 1996, 85, 271–284. [Google Scholar] [CrossRef]
- Sun, W.; Xu, G.; Gong, P.; Liang, S. Fractal analysis of remotely sensed images: A review of methods and applications. Int. J. Remote Sens. 2006, 27, 4963–4990. [Google Scholar] [CrossRef]
- Jiao, Y.M.; Yang, L.P. The fractal characteristics of Hani terrace in Ailao Mountain. Acta Ecol. Sin. 2007, 27, 4583–4589. [Google Scholar]
- Fan, Q.D.; Mei, X.J.; Zhang, C.M.; Yang, X.Y. Research on Gridding of Urban Spatial Form Based on Fractal Theory. Isprs Int. J. Geo-Inf. 2022, 11, 622. [Google Scholar] [CrossRef]
- Dou, Y.; Cosentino, F.; Malek, Z.; Maiorano, L.; Thuiller, W.; Verburg, P.H. A new European land systems representation accounting for landscape characteristics. Landsc. Ecol. 2021, 36, 2215–2234. [Google Scholar] [CrossRef]
- Drake, J.B.; Weishampel, J.F. Multifractal analysis of canopy height measures in a longleaf pine savanna. For. Ecol. Manag. 2000, 128, 121–127. [Google Scholar] [CrossRef]
- Schmid, P.E. Fractal properties of habitat and patch structure in benthic ecosystems. Adv. Ecol. Res. 2000, 30, 339–401. [Google Scholar]
- Zhang, Z.; Qie, G.F.; Wang, C.; Jiang, S.S.; Li, X.; Li, M.X. Relationship between Forest Color Characteristics and Scenic Beauty: Case Study Analyzing Pictures of Mountainous Forests at Sloped Positions in Jiuzhai Valley, China. Forests 2017, 8, 63. [Google Scholar] [CrossRef]










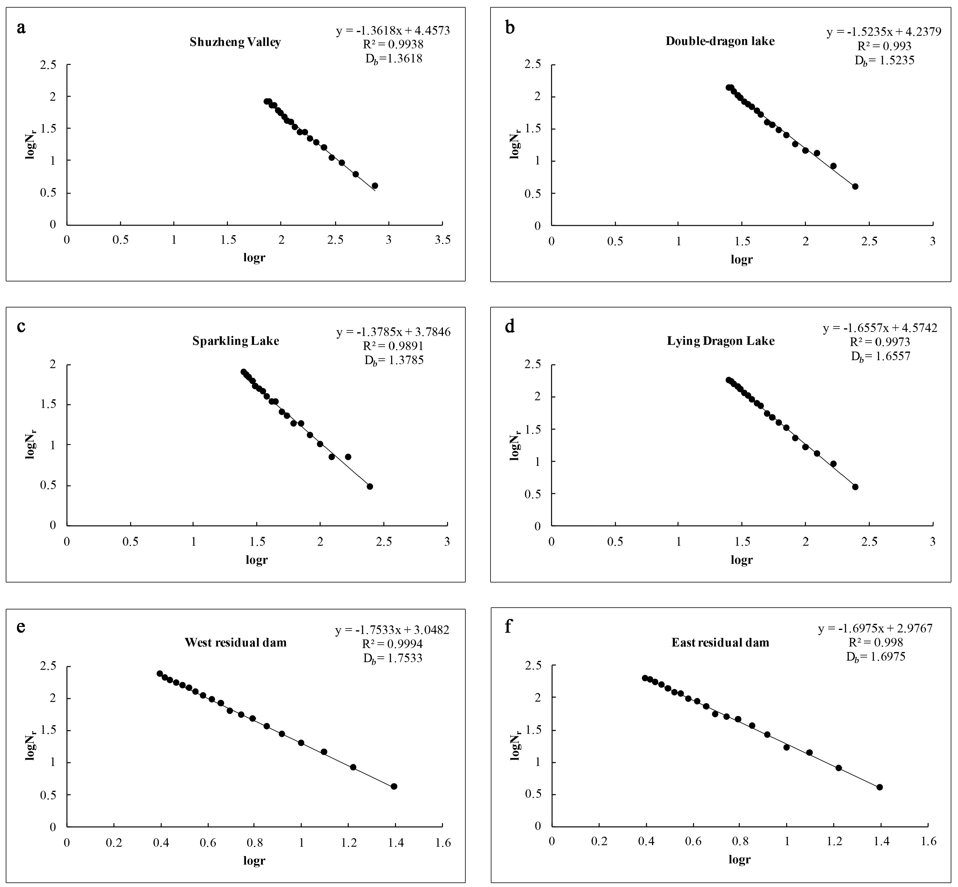
| Scale | Terrain Area | Fractal Dimension | Altitude | Size | Terrain Characteristics |
|---|---|---|---|---|---|
| Primary scale | Shuzheng Valley | 1.3618 | 2200–2280 m | 253–294 m long 2734 m wide | Contains three large lakes and some overflow dams. Terrain is generally complex, and spatial distribution is loose. |
| Secondary scale | Double-Dragon Lake | 1.5235 | 2200 m | 333 m long 334 m wide 9 m deep | Contains a large lake and a small number of small overflow dams with complex terrain. |
| Sparkling Lake | 1.3785 | 2211 m | 294 m long 232 m wide 16 m deep | Contains a large lake and a large overflow dam with a relatively simple terrain. | |
| Lying Dragon Lake | 1.6557 | 2220 m | 459 m long 293 m wide 24 m deep | Contains a large lake and a large number of overflow dams with complex terrain. | |
| Tertiary scale | West residual dam | 1.7533 | 2211 m | 70 m long 30 m wide 0.3–0.5 m deep | Located between the main road and the collapsed Sparkling Lake dam, it comprises a large amount of shallow and low-lying land with complex and irregular terrain. |
| East residual dam | 1.6975 | 2211 m | 70 m long 30 m wide 0.3–0.5 m deep | Located between the collapsed Sparkling Lake dam and the forest mountain. It comprises a large proportion of shallow and low-lying land with complex and irregular terrain. |
Disclaimer/Publisher’s Note: The statements, opinions and data contained in all publications are solely those of the individual author(s) and contributor(s) and not of MDPI and/or the editor(s). MDPI and/or the editor(s) disclaim responsibility for any injury to people or property resulting from any ideas, methods, instructions or products referred to in the content. |
© 2023 by the authors. Licensee MDPI, Basel, Switzerland. This article is an open access article distributed under the terms and conditions of the Creative Commons Attribution (CC BY) license (https://creativecommons.org/licenses/by/4.0/).
Share and Cite
Zou, Z.; Du, Y.; Song, H. Fractal Features in Terrain Restoration of Jiuzhai Valley, a World Natural Heritage Site in China. Fractal Fract. 2023, 7, 863. https://doi.org/10.3390/fractalfract7120863
Zou Z, Du Y, Song H. Fractal Features in Terrain Restoration of Jiuzhai Valley, a World Natural Heritage Site in China. Fractal and Fractional. 2023; 7(12):863. https://doi.org/10.3390/fractalfract7120863
Chicago/Turabian StyleZou, Zan, Yue Du, and Huixing Song. 2023. "Fractal Features in Terrain Restoration of Jiuzhai Valley, a World Natural Heritage Site in China" Fractal and Fractional 7, no. 12: 863. https://doi.org/10.3390/fractalfract7120863
APA StyleZou, Z., Du, Y., & Song, H. (2023). Fractal Features in Terrain Restoration of Jiuzhai Valley, a World Natural Heritage Site in China. Fractal and Fractional, 7(12), 863. https://doi.org/10.3390/fractalfract7120863

