Experimental Study on the Cross-Scale Relationship of Cemented Backfill under the Action of an Air-Entraining Agent
Abstract
:1. Introduction
2. Experimental Preparation
2.1. Raw Materials
2.2. Experimental Scheme
3. Testing Result Analysis
3.1. Strength
3.2. NMR Characteristics
3.3. Microstructure
4. Discussion
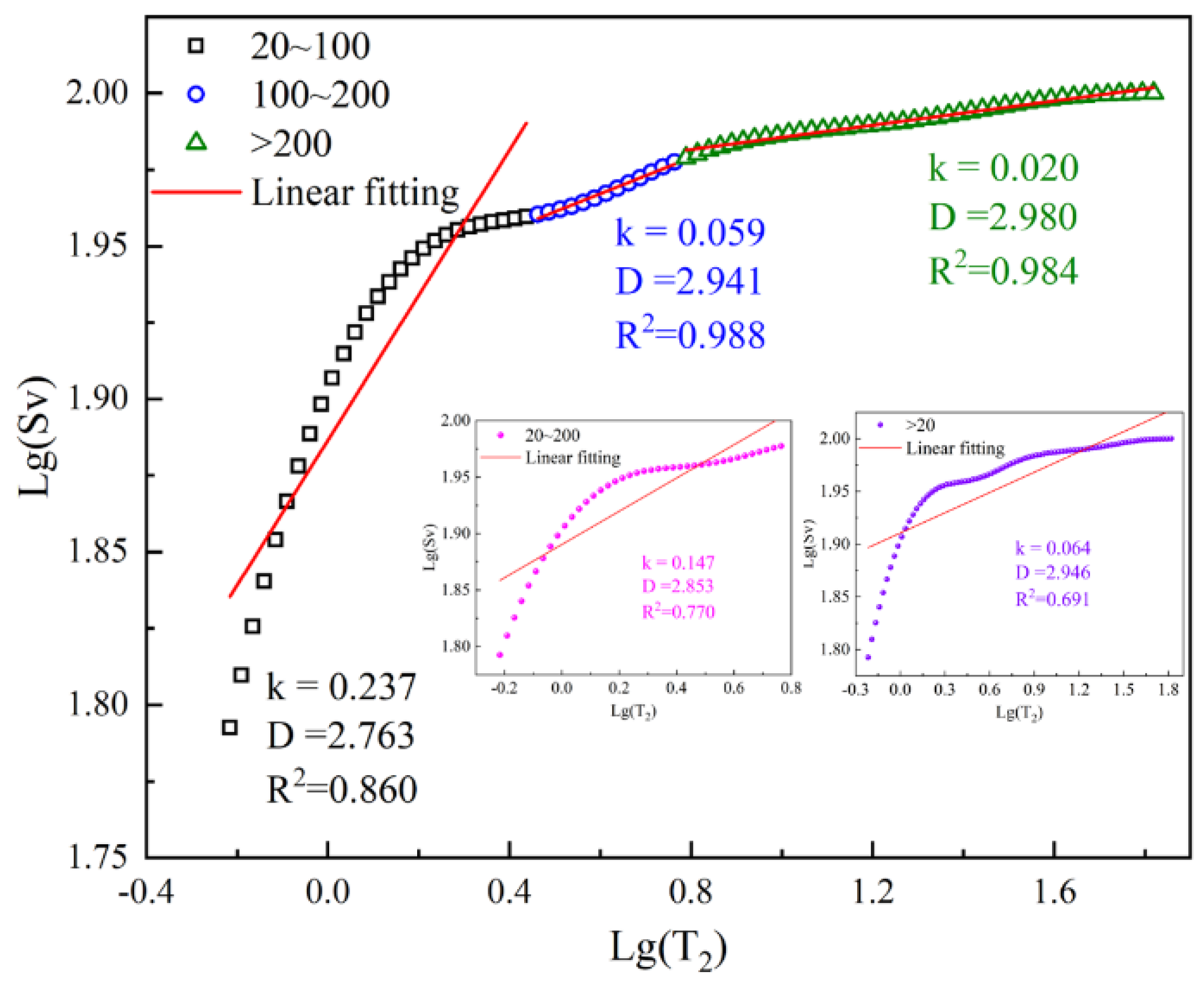
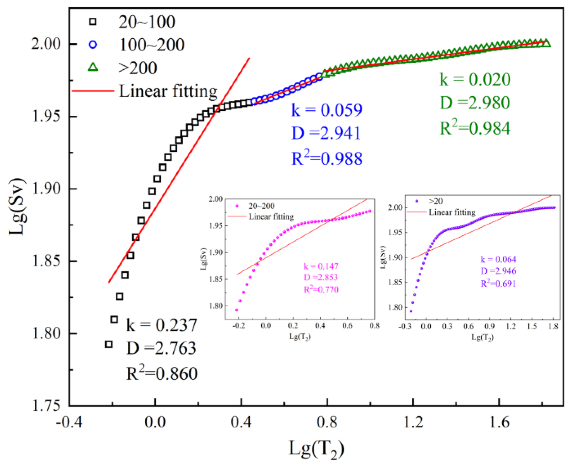
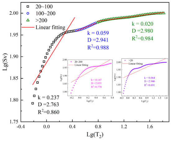
4.1. Fractal Characteristics
4.2. The Relationship between Strength and Pores
4.3. The Relationship between Strength and Fractal Dimension
5. Conclusions
- (1)
- AEA has the effect of optimizing the pore’s structure. Adding an appropriate amount of AEA can reduce pore contents and increase the strength of the backfill material, which is beneficial for the backfill material.
- (2)
- The fractal effects of pores differ with different pore size ranges. Via fractal analyses of pores within different pore size ranges, it was found that the fractal effects of pores within different pore size ranges are different. The fractal effects of pores within 100~200 nm and >200 nm ranges were best.
- (3)
- A cross-scale relationship model was established. By establishing the relationship between strength and pore characteristics, it was found that strength has an inversely proportional relationship to the pore content and fractal dimension of pores within different pore size ranges.
- (4)
- The pore’s morphology characteristics require further analysis. The meaning of the fractal dimension in relation to the morphology of the pores requires other means for further study.
Author Contributions
Funding
Data Availability Statement
Conflicts of Interest
References
- Zhou, Y.W.; Zhang, T.; Duan, L.C.; Li, J.W. Summary of research on comprehensive treatment of mine goaf in china. Saf. Environ. Eng. 2022, 29, 220–230. [Google Scholar]
- Wu, J.H. Development Status and Prospect of Filling Mining Technology in China. Shanxi Coking Coal Sci. Technol. 2022, 46, 7–11. [Google Scholar]
- Liu, L.; Fang, Z.Y.; Zhang, B.; Wang, M.; Qiu, H.; Zhang, X. Development history and basic categories of mine backfill technology. Met. Mine 2021, 3, 1–10. [Google Scholar]
- Liu, G.; Li, L.; Yao, M.; Landry, D.; Malek, F.; Yang, X.; Guo, L. An Investigation of the Uniaxial Compressive Strength of a Cemented ydraulic Backfill Made of Alluvial Sand. Minerals 2017, 7, 4. [Google Scholar] [CrossRef]
- Zhao, F.; Hu, J.; Liu, T.; Zhou, T.; Ren, Q. Study of the Macro and Micro Characteristics of and Their Relationships in Cemented Backfill Based on SEM. Materials 2023, 16, 4772. [Google Scholar] [CrossRef]
- Yang, B.; Wang, X.; Yin, P.; Gu, C.; Yin, X.; Yang, F.; Li, T. The Rheological Properties and Strength Characteristics of Cemented Paste Backfill with Air-Entraining Agent. Minerals 2022, 12, 1457. [Google Scholar] [CrossRef]
- Hu, J.H.; Kuang, Y.; Zhou, T.; Zhao, F.W. Influence of Air Entraining Agent on Strength and Microstructure Properties of Cemented Paste Backfill. IEEE Access 2019, 7, 140899–140907. [Google Scholar] [CrossRef]
- Yao, Y.B.; Liu, D.M. Comparison of low-field NMR and mercury intrusion porosimetry in characterizing pore size distributions of coals. Fuel 2012, 95, 152–158. [Google Scholar] [CrossRef]
- Zhu, Z.; Huo, W.; Sun, H.; Ma, B.; Yang, L. Correlations between unconfined compressive strength, sorptivity and pore structures for geopolymer based on SEM and MIP measurements. J. Build. Eng. 2023, 67, 106011. [Google Scholar] [CrossRef]
- Rong, H.; Zhou, M.; Hou, H.B. Pore Structure Evolution and Its Effect on Strength Development of Sulfate-Containing Cemented Paste Backfill. Minerals 2017, 7, 8. [Google Scholar] [CrossRef]
- Zhang, Y.Z.; Gan, D.Q.; Xue, Z.L.; Liu, Z.Y.; Chen, X. Correlation Mechanism Between Pore Structure and Backfill Strength Based on NMR Technology. Adv. Eng. Sci. 2022, 54, 121–128. [Google Scholar]
- Hu, J.; Zhao, F.; Ren, Q.; Kuang, Y.; Zhou, T.; Luo, Z. Microscopic characterization and strength characteristics of cemented backfill under different humidity curing conditions. R. Soc. Open Sci. 2019, 6, 191227. [Google Scholar] [CrossRef] [PubMed]
- Jin, J.X.; Qin, Z.F.; Zuo, S.H.; Feng, J.J.; Sun, Q. The Role of heological Additives on Fresh and Hardened Properties of Cemented Paste Backfill. Materials 2022, 15, 3006. [Google Scholar] [CrossRef] [PubMed]
- Qiu, H.; Zhang, F.; Liu, L.; Huan, C.; Hou, D.; Kang, W. Experimental study on acoustic emission characteristics of cemented rock-tailings backfill. Constr. Build. Mater. 2022, 315, 125278. [Google Scholar] [CrossRef]
- Liu, L.; Fang, Z.; Qi, C.; Zhang, B.; Guo, L.; Song, K.-I. Experimental investigation on the relationship between pore characteristics and unconfined compressive strength of cemented paste backfill. Constr. Build. Mater. 2018, 179, 254–264. [Google Scholar] [CrossRef]
- Zhao, K.; Ma, C.; Yang, J.; Wu, J.; Yan, Y.; Lai, Y.; Ao, W.; Tian, Y. Pore fractal characteristics of fiber-reinforced backfill based on nuclear magnetic resonance. Powder Technol. 2023, 426, 118678. [Google Scholar] [CrossRef]
- Zhao, F.; Hu, J.; Yang, Y.; Xiao, H.; Ma, F. Cross-Scale Study on Lime Modified Phosphogypsum Cemented Backfill by Fractal Theory. Minerals 2022, 12, 403. [Google Scholar] [CrossRef]
- Zhang, M.; Zhang, P.; Zhang, H.B. Pore structure of concrete materials. Sci. Technol. Inf. 2007, 36, 139–140. [Google Scholar]
- GB/T 14684-2011; Sand for Construction. Standardization Administration of the People’s Republic of China: Beijing, China, 2011.
- Li, J.L.; Kaunda, R.B.; Zhou, K.P. Experimental investigations on the effects of ambient freeze-thaw cycling on dynamic properties and rock pore structure deterioration of sandstone. Cold Reg. Sci. Technol. 2018, 154, 133–141. [Google Scholar] [CrossRef]
- Deng, H.; Tian, G.; Yu, S.; Jiang, Z.; Zhong, Z.; Zhang, Y. Research on Strength Prediction Model of Sand-like Material Based on Nuclear Magnetic Resonance and Fractal Theory. Appl. Sci. 2020, 10, 6601. [Google Scholar] [CrossRef]
- Gao, R.G.; Zhou, K.P.; Liu, W.; Ren, Q.F. Correlation between the Pore Structure and Water Retention of Cemented Paste Backfill Using Centrifugal and Nuclear Magnetic Resonance Methods. Minerals 2020, 10, 610. [Google Scholar] [CrossRef]
- Li, J.L.; Liu, H.W.; Ai, K.M.; Zhu, L.Y. An NMR-Based Experimental Study on the Pore Structure of the Hydration Process of Mine Filling Slurry. Adv. Civ. Eng. 2018, 2018, 4720356. [Google Scholar] [CrossRef]
- Hu, J.; Zhao, F.; Kuang, Y.; Yang, D.; Zheng, M.; Zhao, L. Microscopic characteristics of the action of an air entraining agent on cemented paste backfill pores. Alex. Eng. J. 2020, 59, 1583–1593. [Google Scholar] [CrossRef]
- Liu, Y.; Deng, H.W. Study on permeability performance of cemented tailings backfill based on fractal characteristics of pore structure. Constr. Build. Mater. 2023, 365, 130035. [Google Scholar] [CrossRef]







| Sample | Packing Density/(t/m3) | Maximum Porosity/% | Natural Repose Angle/° |
|---|---|---|---|
| Graded tailings | 1.57 | 49.5 | 37.5 |
| D | R2 | |||||||||
|---|---|---|---|---|---|---|---|---|---|---|
| Group | 20–100 | 100–200 | >200 | 20–200 | >20 | 20–100 | 100–200 | >200 | 20–200 | >20 |
| A0 | 2.763 | 2.941 | 2.980 | 2.853 | 2.946 | 0.860 | 0.988 | 0.984 | 0.770 | 0.691 |
| A1 | 2.733 | 2.960 | 2.982 | 2.839 | 2.935 | 0.868 | 0.993 | 0.985 | 0.752 | 0.629 |
| A2 | 2.707 | 2.971 | 2.982 | 2.828 | 2.929 | 0.876 | 0.960 | 0.888 | 0.739 | 0.620 |
| A3 | 2.747 | 2.967 | 2.981 | 2.848 | 2.941 | 0.862 | 0.977 | 0.977 | 0.733 | 0.636 |
| A4 | 2.765 | 2.962 | 2.983 | 2.861 | 2.948 | 0.849 | 0.978 | 0.980 | 0.726 | 0.633 |
Disclaimer/Publisher’s Note: The statements, opinions and data contained in all publications are solely those of the individual author(s) and contributor(s) and not of MDPI and/or the editor(s). MDPI and/or the editor(s) disclaim responsibility for any injury to people or property resulting from any ideas, methods, instructions or products referred to in the content. |
© 2023 by the authors. Licensee MDPI, Basel, Switzerland. This article is an open access article distributed under the terms and conditions of the Creative Commons Attribution (CC BY) license (https://creativecommons.org/licenses/by/4.0/).
Share and Cite
Liu, X.; Yang, D.; Wang, W. Experimental Study on the Cross-Scale Relationship of Cemented Backfill under the Action of an Air-Entraining Agent. Fractal Fract. 2023, 7, 821. https://doi.org/10.3390/fractalfract7110821
Liu X, Yang D, Wang W. Experimental Study on the Cross-Scale Relationship of Cemented Backfill under the Action of an Air-Entraining Agent. Fractal and Fractional. 2023; 7(11):821. https://doi.org/10.3390/fractalfract7110821
Chicago/Turabian StyleLiu, Xiaosheng, Dongjie Yang, and Weijun Wang. 2023. "Experimental Study on the Cross-Scale Relationship of Cemented Backfill under the Action of an Air-Entraining Agent" Fractal and Fractional 7, no. 11: 821. https://doi.org/10.3390/fractalfract7110821
APA StyleLiu, X., Yang, D., & Wang, W. (2023). Experimental Study on the Cross-Scale Relationship of Cemented Backfill under the Action of an Air-Entraining Agent. Fractal and Fractional, 7(11), 821. https://doi.org/10.3390/fractalfract7110821
