Thermal Conductivity Model of Porous Media Embedded with a Damaged Tree-like Branching Network Considering the Influence of Roughness
Abstract
1. Introduction
2. Fractal Characteristics of Tree-like Branching Network with Rough Surface
3. The Thermal Conductivity Model of Porous Media with Rough Surfaces
3.1. Heat Conduction
3.2. Heat Convection
3.3. Joint Expression of the Thermal Conductivity of Heat Conduction and Heat Convection
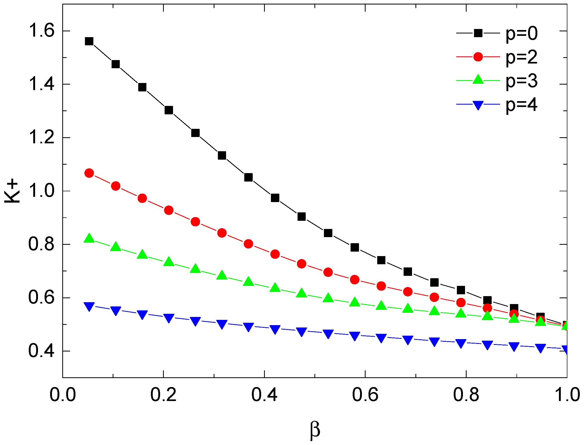
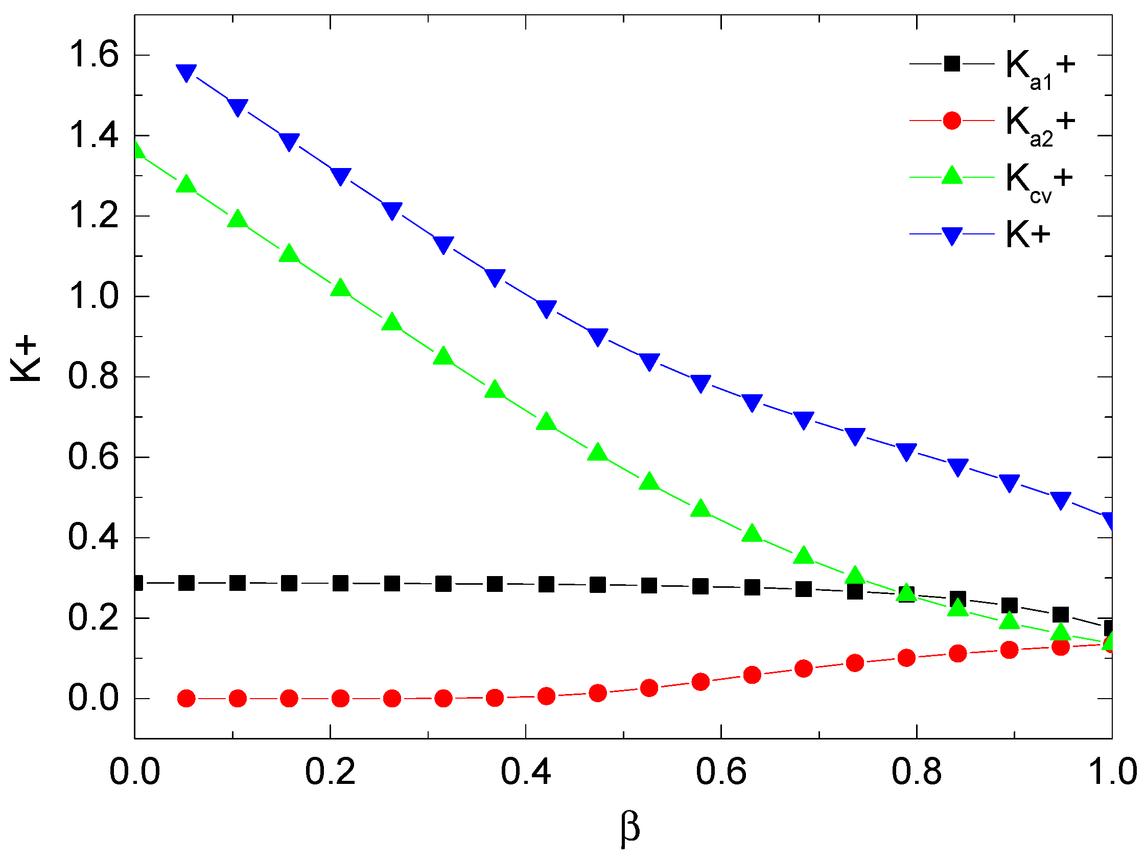
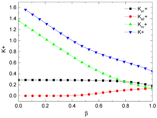
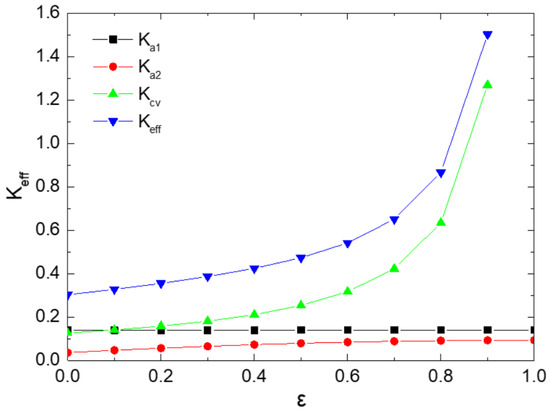
4. Results and Discussion
5. Conclusions
Author Contributions
Funding
Conflicts of Interest
Nomenclature
| Symbols | Description | ||
| m | total numbers of branching levels | the effective cross-sectional area | |
| the branching number of the tree-like branching network | the cross-sectional area of the main pipe of the damaged tree-like branching network | ||
| the length of the kth branching level | the area of the entire cross-section of the media | ||
| the diameter of the kth branching level | the equivalent porosity of porous media embedded with the damaged tree-like branching network | ||
| the length ratio | the effective thermal conductivity of porous media | ||
| the diameter ratio | the effective thermal conductivity of the media matrix part | ||
| the ratio of height to bottom diameter | the effective thermal conductivity of the damaged tree-like branching network part | ||
| the height of the cone | the thermal resistance of the media matrix | ||
| bottom circle diameter of the cone | the thermal conductivity of heat convection caused by fluid flow | ||
| the total number of rough elements | the flow of the heat convection of the whole tree-like branching network with rough surfaces | ||
| fractal dimension | the heat convection area of the whole tree-like branching network with rough surfaces | ||
| Euclidean dimension | temperature difference | ||
| the ratio of the total bottom area of all cone units to the surface area in the unit pore | the thickness of the thermal boundary layer of thermal convection caused by fluid flow is mainly related to the characteristics of the fluid | ||
| the ratio of the minimum bottom circle diameter to the maximum bottom diameter of the cones | the coefficient of heat convection | ||
| the maximum height of the cone at the 0th branching level | the heat convection area of a single main pipe with rough surfaces | ||
| the relative roughness | the heat convection area of all the rough elements in the fractal elements in a single main pipe | ||
| the thermal resistance of a single channel with smooth surfaces | the area of the smooth part without rough elements coverage in a single main pipe | ||
| the thermal resistance of a single channel in the kth level channel with rough surfaces | the total bottom area of all rough elements in a fractal set unit | ||
| the cross-sectional area of branching channels | the flow of the heat convection of a single main pipe with rough surfaces | ||
| the thermal conductivity of the fluid part | the flow of the heat convective of the same main pipe with smooth surface | ||
| the thermal conductivity of the media matrix | the Nusselt number | ||
| the thermal resistance of the undamaged part | the heat convection area of a single main pipe of the tree-like branching network with smooth surfaces | ||
| the thermal resistance of the damaged part | the flow of the heat convection of the undamaged part of the damaged tree-like branching network with smooth surfaces before the kth branching level | ||
| that the porosity of the cross-section of the media | the flow of the heat convection of the damaged part of the damaged tree-like branching network with smooth surfaces | ||
| the total thermal resistance of the damaged tree-like branching network | the flow of the heat convection of the whole damaged tree-like branching network with smooth surfaces | ||
| the equivalent length of the damaged tree-like branching network | the effective thermal conductivity of porous media embedded with a damaged tree-like branching network | ||
| V | the total volume of the damaged tree-like branching network | The dimensionless thermal conductivity |
References
- Mao, N.; Ye, J.; Quan, Z.Z.; Zhang, H.N.; Wu, D.Q.; Qin, X.H.; Wang, R.W.; Yu, J.Y. Tree-like structure driven water transfer in 1D fiber assemblies for Functional Moisture-Wicking Fabrics. Mater. Des. 2020, 186, 108305. [Google Scholar] [CrossRef]
- Liang, M.; Fu, C.; Xiao, B.; Luo, L.; Wang, Z. A fractal study for the effective electrolyte diffusion through charged porous media. Int. J. Heat Mass Transf. 2019, 137, 365–371. [Google Scholar] [CrossRef]
- Jing, D.L.; He, L.; Wang, X.M. Optimization analysis of fractal tree-like microchannel network for electroviscous flow to realize minimum hydraulic resistance. Int. J. Heat Mass Transf. 2018, 125, 749–775. [Google Scholar] [CrossRef]
- Long, G.B.; Xu, G.S. The effects of perforation erosion on practical hydraulic-fracturing applications. SPE J. 2017, 22, 645–659. [Google Scholar] [CrossRef]
- Jia, J.L.; Sang, S.X.; Cao, L.W.; Liu, S.Q. Characteristics of CO2/supercritical CO2 adsorption-induced swelling to anthracite: An experimental study. Fuel 2018, 216, 639–647. [Google Scholar]
- Murry, C.D. The physiological principle of minimum work applied to the angel of branching of arteries. J. Gen. Physiol. 1926, 9, 835–841. [Google Scholar] [CrossRef]
- Long, G.B.; Liu, Y.J.; Xu, W.R.; Zhou, P.; Zhou, J.Q.; Xu, G.S.; Xiao, B.Q. Analysis of crack problems in multilayered elastic medium by a consecutive stiffness method. Mathematics 2022, 10, 4403. [Google Scholar] [CrossRef]
- Mandelbrot, B.B. The Fractal Geometry of Nature; W H Freeman: San Francisco, CA, USA, 1982. [Google Scholar]
- Liang, M.C.; Liu, Y.M.; Xiao, B.Q.; Yang, S.S.; Wang, Z.K. An analytical model for the transverse permeability of gas diffusion layer with electrical double layer effects in proton exchange membrane fuel cells. Int. J. Hydrogen Energy 2018, 43, 17880–17888. [Google Scholar] [CrossRef]
- Wang, F.Y.; Cheng, H. A fractal permeability model for 2D complex tortuous fractured porous media. J. Pet. Sci. Eng. 2020, 188, 106938. [Google Scholar] [CrossRef]
- Pence, D. The simplicity of fractal-like flow networks for effective heat and mass transport. Exp. Therm. Fluid Sci. 2009, 34, 474–486. [Google Scholar] [CrossRef]
- Alharbi, A.Y.; Pence, D.V.; Cullion, R.N. Thermal characteristics of microscale fractal-like branching channels. J. Heat Transf. 2004, 126, 744–752. [Google Scholar] [CrossRef]
- Chen, Y.P.; Cheng, P. Heat transfer and pressure drop in fractal tree-like microchannel nets. Int. J. Mass Transf. 2002, 45, 2643–2648. [Google Scholar] [CrossRef]
- Li, Y.; Yu, B.M. Study of the starting pressure gradient in branching network. Sci. China Technol. Sci. 2010, 53, 2397–2403. [Google Scholar] [CrossRef]
- Jain, R.K. Grantham Blood flow and heat transfer in Waler 256 mammary carcinoma. J. Natl. Cancer Inst. 1979, 62, 927–933. [Google Scholar]
- Peng, Y.; Zhu, X.G.; Cao, B.; Luo, Y.Q.; Zhou, W.J. Heat transfer and permeability of the tree-like branching networks. Int. J. Heat Mass Transf. 2019, 129, 801–811. [Google Scholar] [CrossRef]
- Liang, X.G.; Ge, X.S.; Zhang, Y.P. A convenient method of measuring the thermal conductivity of biological tissue. Phys. Med. Biol. 1991, 36, 1599. [Google Scholar] [CrossRef]
- Valvano, J.W.; Allen, J.T.; Bowman, H.F. The simultaneous measurement of thermal conductivity, thermal diffusivity, and perfusion in small volumes of tissue. J. Biomech. Eng. 1984, 106, 192–197. [Google Scholar] [CrossRef]
- Xiao, B.Q.; Liu, Y.H.; Chen, H.X.; Chen, X.B.; Long, G.B. A novel fractal solution for laminar flow resistance in roughened cylindrical microchannels. Fractals 2020, 28, 2050097. [Google Scholar] [CrossRef]
- Xiao, B.Q.; Huang, Q.W.; Chen, H.X.; Chen, X.B.; Long, G.B. A fractal model for capillary flow through a single tortuous capillary with roughened surfaces in fibrous porous media. Fractals 2021, 29, 2150017. [Google Scholar] [CrossRef]
- Yang, S.S. Fractal study on the heat transfer characteristics in the rough microchannels. Fractals 2021, 29, 21501188. [Google Scholar] [CrossRef]
- Satish, G.K.; Shailesh, J.S.; Tian, S.R. Effect of surface roughness on heat transfer and fluid flow characteristics at low Reynolds numbers in small diameter tube. Heat Transf. Eng. 2003, 24, 4–16. [Google Scholar]
- Shen, S.; Xu, J.L.; Zhou, J.J. Flow and heat transfer in microchannels with rough wall surface. Energy Convers. Manag. 2006, 47, 1125–1131. [Google Scholar] [CrossRef]
- Xiao, B.Q. A fractal model for predicting the effective thermal conductivity of roughened porous media with microscale conductivity. Fractals 2021, 29, 2150114. [Google Scholar] [CrossRef]
- Zheng, Q.; Wang, H.L.; Guo, X.Y. Research on the effect of surface roughness on gas diffusion coefficient of porous media embedded with a fractal-like tree network. Fractals 2021, 29, 2150195. [Google Scholar] [CrossRef]
- Xiao, B.Q.; Wang, P.L.; Wu, J.S. A Novel fractal model for gas diffusion coefficient in dry porous media embedded with a damaged tree-like branching network. Fractals 2022, 30, 2250150. [Google Scholar] [CrossRef]
- Xiao, B.Q.; Wang, W.; Zhang, X.; Long, G.B.; Fan, J.T.; Chen, H.X.; Deng, L. A novel fractal solution for permeability and Kozeny-Carman constant of fibrous porous media made up of solid particles and porous fibers. Powder Technol. 2019, 349, 92–98. [Google Scholar] [CrossRef]
- Xia, Y.L.; Zheng, S.; Yang, S.S.; Yi, S. Analysis on effective thermal conductivity model of porous media with rough fractal-like tree network. J. Cent. China Norm. Univ. 2022, 2, 255–261. [Google Scholar]
- Qureshi, M.Z.A.; Faisal, M.; Raza, Q.; Ali, B.; Botmart, T.; Shah, N.A. Morphological nanolayer impact on hybrid nanofluids flow due to dispersion of polymer/CNT matrix nanocomposite material. AIMS Math. 2023, 8, 633–656. [Google Scholar] [CrossRef]
- Sajjan, K.; Shah, N.A.; Ahammad, N.A.; Raju, C.S.K.; Kumar, M.D.; Weera, W. Nonlinear Boussinesq and Rosseland approximations on 3D flow in an interruption of Ternary nanoparticles with various shapes of densities and conductivity properties. AIMS Math. 2022, 7, 18416–18449. [Google Scholar] [CrossRef]
- Rauf, A.; Shah, N.A.; Mushtaq, A.; Botmart, T. Heat transport and magnetohydrodynamic hybrid micropolar ferrofluid flow over a non-linearly stretching sheet. AIMS Math. 2023, 8, 164–193. [Google Scholar] [CrossRef]
- Oreyeni, T.; Shah, N.A.; Popoola, A.O.; Elzahar, E.R.; Yook, S.J. The significance of exponential space-based heat generation and variable thermophysical properties on the dynamics of Casson fluid over a stratified surface with non-uniform thickness. Waves Random Complex Media 2022, 32, 1–19. [Google Scholar] [CrossRef]
- Zheng, Q.; Wang, H.L.; Jiang, J.; Xu, C. Fractal analysis of surface roughness effects on gas diffusion in porous nanofibers. Fractals 2020, 28, 2050125. [Google Scholar] [CrossRef]
- Eswaramoorthi, S.; Loganathan, K.; Faisal, M.; Botmart, T.; Shah, N.A. Analytical and numerical investigation of Darcy-Forchheimer flow of a nonlinear-radiative non-Newtonian fluid over a Riga plate with entropy optimization. Ain. Shams Eng. J. 2022, 101887. [Google Scholar] [CrossRef]
- Miao, T.J.; Chen, A.M.; Xu, Y.; Yang, S.S.; Yu, B.M. Optimal structure of damaged tree-like branching networks for the equivalent thermal conductivity. Therm. Sci. 2016, 102, 89–99. [Google Scholar] [CrossRef]
- Bejan, A. The Constructal Law of Organization in Nature: Tree-Shaped Flows and Body Size. J. Exp. Biol. 2005, 208, 1677–1686. [Google Scholar] [CrossRef] [PubMed]
- Xu, P.; Yu, B.M.; Yun, M.J.; Zou, M.Q. Heat conduction in fractal tree-like branched networks. Int. J. Heat Mass Transf. 2006, 49, 3746–3751. [Google Scholar] [CrossRef]
- Yang, S.S.; Liang, M.C.; Yu, B.M.; Zou, M.Q. Permeability model for fractal porous media with rough surfaces. Microfluid. Nanofluid. 2014, 18, 1085–1093. [Google Scholar] [CrossRef]
- Yang, S.S.; Yu, B.M.; Zou, M.Q.; Liang, M.C. A fractal analysis of laminar flow resistance in roughened microchannels. Int. J. Heat Mass Transf. 2014, 77, 208–217. [Google Scholar] [CrossRef]
- Yang, S.S.; Fu, H.H.; Yu, B.M. Fractal analysis of flow resistance in tree-like branching net-works with roughened microchannels. Fractals 2017, 25, 1750008. [Google Scholar] [CrossRef]










Disclaimer/Publisher’s Note: The statements, opinions and data contained in all publications are solely those of the individual author(s) and contributor(s) and not of MDPI and/or the editor(s). MDPI and/or the editor(s) disclaim responsibility for any injury to people or property resulting from any ideas, methods, instructions or products referred to in the content. |
© 2022 by the authors. Licensee MDPI, Basel, Switzerland. This article is an open access article distributed under the terms and conditions of the Creative Commons Attribution (CC BY) license (https://creativecommons.org/licenses/by/4.0/).
Share and Cite
Shao, Y.; Yang, H.; Guo, X.; Wang, H.; Zhu, L.; Ma, X.; Chen, R.; Ruan, S.; Ren, L.; Zheng, Q. Thermal Conductivity Model of Porous Media Embedded with a Damaged Tree-like Branching Network Considering the Influence of Roughness. Fractal Fract. 2023, 7, 5. https://doi.org/10.3390/fractalfract7010005
Shao Y, Yang H, Guo X, Wang H, Zhu L, Ma X, Chen R, Ruan S, Ren L, Zheng Q. Thermal Conductivity Model of Porous Media Embedded with a Damaged Tree-like Branching Network Considering the Influence of Roughness. Fractal and Fractional. 2023; 7(1):5. https://doi.org/10.3390/fractalfract7010005
Chicago/Turabian StyleShao, Yihao, Huai Yang, Xiuya Guo, Huili Wang, Limei Zhu, Xuan Ma, Ruijuan Chen, Shufen Ruan, Lulu Ren, and Qian Zheng. 2023. "Thermal Conductivity Model of Porous Media Embedded with a Damaged Tree-like Branching Network Considering the Influence of Roughness" Fractal and Fractional 7, no. 1: 5. https://doi.org/10.3390/fractalfract7010005
APA StyleShao, Y., Yang, H., Guo, X., Wang, H., Zhu, L., Ma, X., Chen, R., Ruan, S., Ren, L., & Zheng, Q. (2023). Thermal Conductivity Model of Porous Media Embedded with a Damaged Tree-like Branching Network Considering the Influence of Roughness. Fractal and Fractional, 7(1), 5. https://doi.org/10.3390/fractalfract7010005
