Fuzzy Analysis of Artificial Drug Transmission Model with Optimal Control
Abstract
1. Introduction
Pre-Requisites of Fuzzy Model
2. Fuzzy Formulation of Artificial Drug Transmission
3. Analysis of the Fuzzy System
3.1. Positivity and Boundedness Fuzzy Artificial Drug Model
3.2. Existence, Basic Reproduction Number and Stability Analysis of Fuzzy Artificial Drug Transmission
3.2.1. Existence of Fuzzy Artificial Drug Transmission
3.2.2. Basic Reproduction Number
3.2.3. Stability Analysis
4. Optimal Control of Artificial Drug Addiction
4.1. Existence of Optimal Control
- I.
- System (7) has a set of solutions with control variable in is non-empty.
- II.
- The region is closed and convex.
- III.
- The integrand I is convex on and , where is continuous and , whenever , then represents the norm.
4.2. Features of the Optimal Control Function
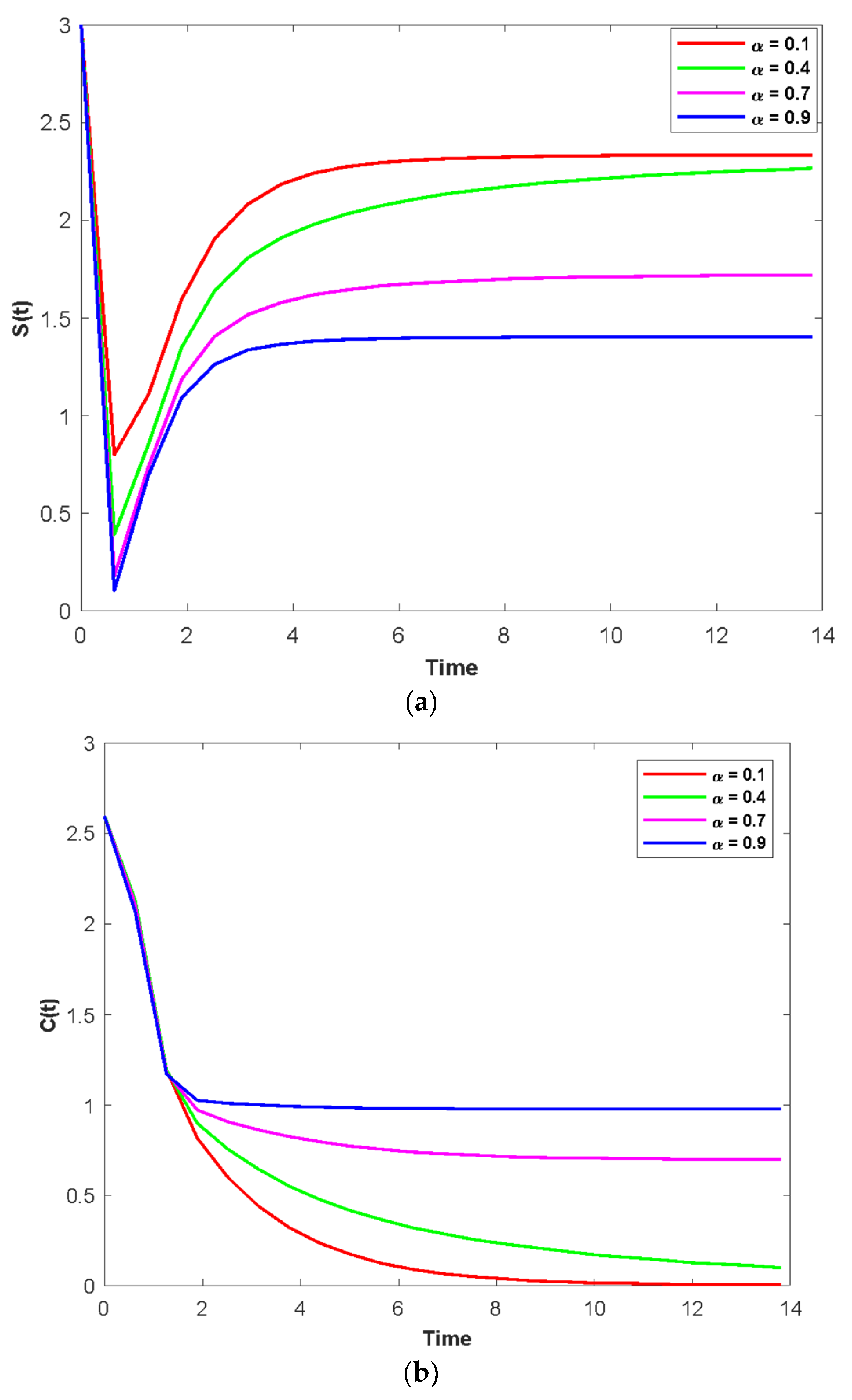
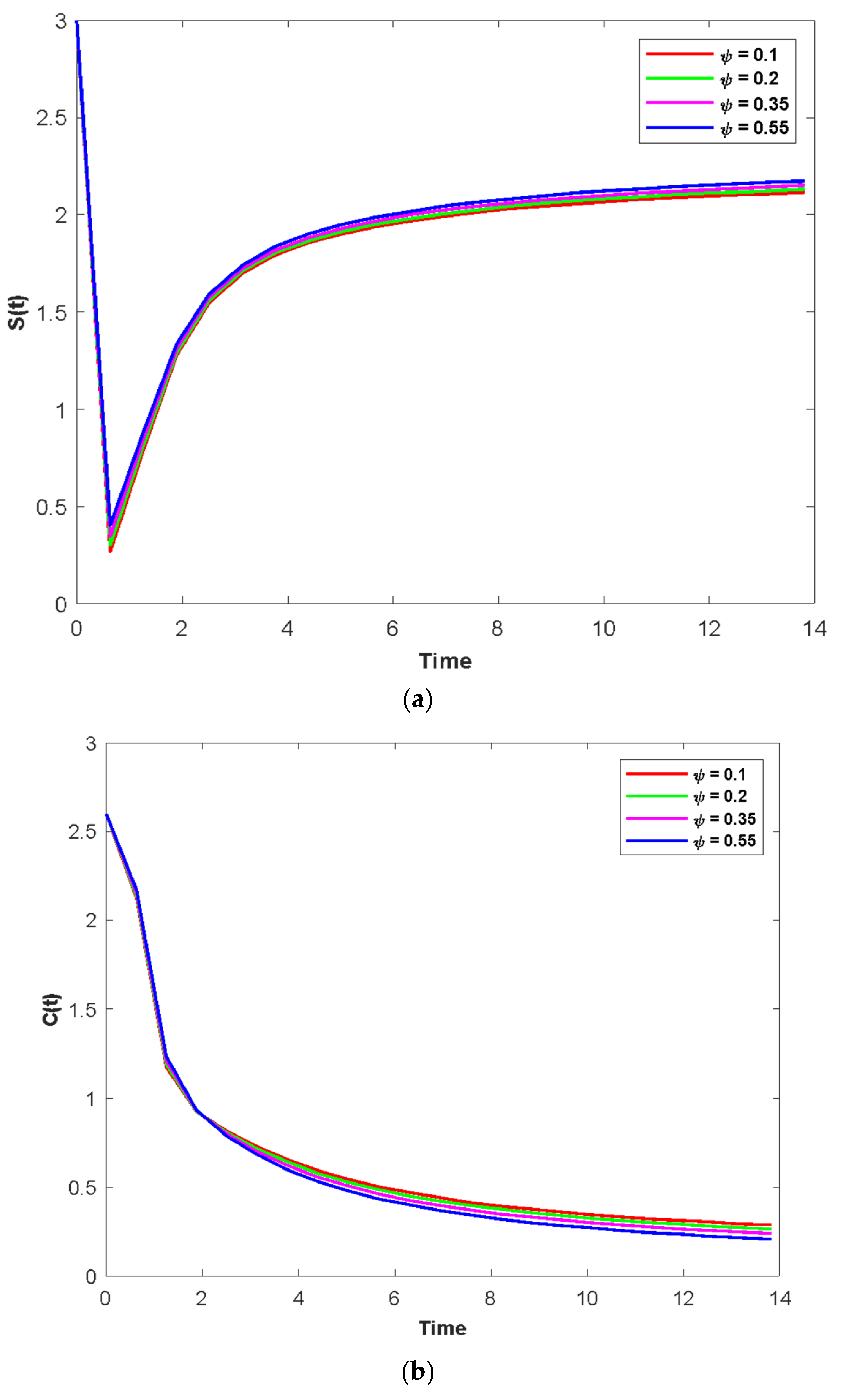
5. Numerical Simulations
6. Numerical Observations
7. Conclusions and Remarks
Author Contributions
Funding
Data Availability Statement
Conflicts of Interest
References
- Liu, P.Y.; Zhang, L.; Xing, Y.F. Modelling and stability of a synthetic drugs transmission model with relapse and treatment. J. Appl. Math. Comput. 2019, 60, 465–484. [Google Scholar] [CrossRef]
- Katerndahl, D.A.; Realini, J.P. Relationship between substance abuse and panic attacks. Addict. Behav. 1999, 24, 731–736. [Google Scholar] [CrossRef] [PubMed]
- Global Synthetic Drugs Assessment 2020 (United Nations Publication). Available online: https://www.unodc.org/unodc/en/scientists/2020-global-synthetic-drugs-assessment_Global.html (accessed on 1 March 2022).
- Mulone, G.; Straughan, B. A note on heroin epidemics. Math. Biosci. 2009, 218, 138–141. [Google Scholar] [CrossRef] [PubMed]
- Samanta, G.P. Dynamic behaviour for a nonautonomous heroin epidemic model with time delay. J. Appl. Math. Comput. 2011, 35, 161–178. [Google Scholar] [CrossRef]
- Mushanyu, J.; Nyabadza, F.; Stewart, A.G.R. Modelling the trends of inpatient and outpatient rehabilitation for methamphetamine in the Western Cape province of South Africa. BMC Res. Notes 2015, 8, 797. [Google Scholar] [CrossRef]
- Sahu, G.P.; Dhar, J. Dynamics of an SEQIHRS epidemic model with media coverage, quarantine and isolation in a community with pre-existing immunity. J. Math. Anal. Appl. 2015, 421, 1651–1672. [Google Scholar] [CrossRef]
- Sharomi, O.; Gumel, A.B. Curtailing smoking dynamics: A mathematical modelling approach. Appl. Math. Comput. 2008, 195, 475–499. [Google Scholar] [CrossRef]
- Rossi, C. Operational models for the epidemics of problematic drug use: The mover-stayer approach to heterogeneity. Socio-Econ. Plan. Sci. 2004, 38, 73–90. [Google Scholar] [CrossRef]
- Van den Driessche, P.; Watmough, J. Reproduction numbers and sub-threshold endemic equilibria for compartmental models of disease transmission. Math. Biosci. 2002, 180, 29–48. [Google Scholar] [CrossRef]
- Cen, X.; Feng, Z.; Zhao, Y. Emerging disease dynamics in a model coupling within-host and between-host systems. J. Theor. Biol. 2014, 361, 141–151. [Google Scholar] [CrossRef]
- Nyabadza, F.; Njagarah, J.B.H.; Smith, R.J. Modelling the dynamics of crystal meth (‘tik’) abuse in the presence of drug-supply chain in South Africa. Bull. Math. Biol. 2013, 75, 24–28. [Google Scholar] [CrossRef]
- Wang, X.Y.; Yang, J.Y.; Li, X.Z. Dynamics of a heroin epidemic model with very population. Appl. Math. 2011, 2, 732–738. [Google Scholar] [CrossRef]
- Bassanezi, R.C.; Barros, L.C.; Tonelli, A. Attractors and asymptotic stability for fuzzy dynamical systems. Fuzzy Sets Syst. 2011, 113, 473–483. [Google Scholar] [CrossRef]
- Mizukoshi, M.T.; Barros, L.C.; Bassanezi, R.C. Stability of fuzzy dynamic systems. Int. J. Uncertain. Fuzziness Knowl. Based Syst. 2009, 17, 69–83. [Google Scholar] [CrossRef]
- Bede, B.; Gal, S.G. Generalizations of the differentiability of fuzzy-number-valued functions with applications to fuzzy differential equations. Fuzzy Sets Syst. 2005, 151, 581–599. [Google Scholar] [CrossRef]
- Guo, M.S.; Xu, X.P.; Li, R.L. Impulsive functional differential inclusions and fuzzy population models. Fuzzy Sets Syst. 2003, 138, 601–615. [Google Scholar] [CrossRef]
- Zhang, H.; Madhusudanan, V.; Murthy, B.S.N.; Srinivas, M.N.; Adugna, B.A. Fuzzy analysis of SVIRS disease system with Holling type-II functional response with saturated incidence rate and saturated treatment. Math. Probl. Eng. 2022, 2022, 1330875. [Google Scholar]
- Gaff, H.; Schaefer, E. Optimal control applied to vaccination and treatment strategies for various epidemiological models. Math. Biosci. Eng. 2009, 6, 469–492. [Google Scholar]
- Gaff, H.; Schaefer, E.; Lenhart, S. Use of optimal control models to predict treatment time for managing tick-borne disease. J. Biol. Dyn. 2011, 5, 517–530. [Google Scholar] [CrossRef][Green Version]
- Srinivas, M.N.; Murthy, B.S.N.; Srinivas, M.A.S. Modeling simulation of SIR pc infection spreading model with fuzzy parameters. Lect. Note Netw. Syst. 2021, 461, 1119–1135. [Google Scholar]
- Oshi, H.; Lenhart, S.; Hota, S.; Agusto, F. Optimal control of an SIR model with changing behavior through an education campaign. Electron. J. Differ. Equ. 2015, 50, 1–14. [Google Scholar]
- Madhusudhan, V.; Srinivas, M.N.; Murthy, B.S.N.; Nwokoye, C.H.; Sridhar, S. Hopf bifurcation Analysis of Delayed Computer Virus Model with Holling Type-III Incidence Function and Treatment. Sci. Afr. 2022, 15, e01125. [Google Scholar]
- Guo, Y.; Li, T. Optimal control and stability analysis of an online game addiction model with two stages. Math. Methods Appl. Sci. 2020, 43, 4408. [Google Scholar] [CrossRef]
- Alemneh, H.T.; Makinde, O.D.; Theuri, D.M. Optimal control model and cost-effectiveness analysis of Maize streak virus pathogen interaction with pest invasion in Maize plant. Egypt. J. Basic Appl. Sci. 2020, 7, 180–193. [Google Scholar] [CrossRef]
- Hattaf, K.; Yousfi, N. Optimal Control of a Delayed HIV Infection Model with Immune Response Using an Efficient Numerical Method. Int. Sch. Res. Netw. 2012, 2012, 215124. [Google Scholar] [CrossRef]
- Khan, M.A.; Shah, S.W.; Ullah, S.; Gómez-Aguilar, J.F. A dynamical model of asymptomatic carrier zika virus with optimal control strategies. Nonlinear Anal. Real World Appl. 2019, 50, 144–170. [Google Scholar] [CrossRef]
- Zeb, A.; Kumar, S.; Tesfay, A.; Kumar, A. A stability analysis on a smoking model with stochastic perturbation. Int. J. Numer. Methods Heat Fluid Flow 2022, 32, 915–930. [Google Scholar] [CrossRef]
- Ghanbari, B.; Kumar, S.; Kumar, R. A study of behaviour for immune and tumor cells in immunogenetic tumour model with non-singular fractional derivative. Chaos Solitons Fractals 2020, 133, 109619. [Google Scholar] [CrossRef]
- Li, X.P.; Din, A.; Zeb, A.; Kumar, S.; Saeed, T. The impact of Lévy noise on a stochastic and fractal-fractional Atangana–Baleanu order hepatitis B model under real statistical data. Chaos Solitons Fractals 2022, 154, 111623. [Google Scholar] [CrossRef]
- Kumar, S.; Kumar, R.; Cattani, C.; Samet, B. Chaotic behaviour of fractional predator-prey dynamical system. Chaos Solitons Fractals 2020, 135, 109811. [Google Scholar] [CrossRef]













| Parameters | Physical Description of the Parameters | TFN |
|---|---|---|
| Fuzzy susceptible population | (2, 4, 6) | |
| Fuzzy contact rate between the susceptible population and psychological addicts | (0.5, 0.7, 0.9) | |
| Fuzzy contact rate between the susceptible population and physiological addicts | (0.5, 0.7, 0.9) | |
| Fuzzy escalation rate from the psychological addicts | (0.01, 0.05, 0.1) | |
| Fuzzy treatment rate of the physiological addicts | (0.1, 0.3, 0.5) | |
| Fuzzy relapse rate of the drug users in treatment | (0.1, 0.4, 0.8) | |
| Fuzzy treatment rate of the physiological addicts | (0.2, 0.4, 0.6) | |
| Fuzzy natural mortality of all populations | (2, 4, 6) |
Disclaimer/Publisher’s Note: The statements, opinions and data contained in all publications are solely those of the individual author(s) and contributor(s) and not of MDPI and/or the editor(s). MDPI and/or the editor(s) disclaim responsibility for any injury to people or property resulting from any ideas, methods, instructions or products referred to in the content. |
© 2022 by the authors. Licensee MDPI, Basel, Switzerland. This article is an open access article distributed under the terms and conditions of the Creative Commons Attribution (CC BY) license (https://creativecommons.org/licenses/by/4.0/).
Share and Cite
Murthy, B.S.N.; Díaz Palencia, J.L.; Madhusudanan, V.; Srinivas, M.N.; Gul, N.; Zeb, A. Fuzzy Analysis of Artificial Drug Transmission Model with Optimal Control. Fractal Fract. 2023, 7, 10. https://doi.org/10.3390/fractalfract7010010
Murthy BSN, Díaz Palencia JL, Madhusudanan V, Srinivas MN, Gul N, Zeb A. Fuzzy Analysis of Artificial Drug Transmission Model with Optimal Control. Fractal and Fractional. 2023; 7(1):10. https://doi.org/10.3390/fractalfract7010010
Chicago/Turabian StyleMurthy, B. S. N., José Luis Díaz Palencia, V. Madhusudanan, M. N. Srinivas, Nadia Gul, and Anwar Zeb. 2023. "Fuzzy Analysis of Artificial Drug Transmission Model with Optimal Control" Fractal and Fractional 7, no. 1: 10. https://doi.org/10.3390/fractalfract7010010
APA StyleMurthy, B. S. N., Díaz Palencia, J. L., Madhusudanan, V., Srinivas, M. N., Gul, N., & Zeb, A. (2023). Fuzzy Analysis of Artificial Drug Transmission Model with Optimal Control. Fractal and Fractional, 7(1), 10. https://doi.org/10.3390/fractalfract7010010

