Next Article in Journal
Minkowski’s Loop Fractal Antenna Dedicated to Sixth Generation (6G) Communication
Next Article in Special Issue
Nontrivial Solutions of a Class of Fourth-Order Elliptic Problems with Potentials
Previous Article in Journal
Numerical Solution of Time Fractional Black–Scholes Model Based on Legendre Wavelet Neural Network with Extreme Learning Machine
Previous Article in Special Issue
Fractal Operators and Fractional Dynamics with 1/2 Order in Biological Systems
 
 
Font Type:
Arial Georgia Verdana
Font Size:
Aa Aa Aa
Line Spacing:
Column Width:
Background:
Article

Some Properties of Fractional Cumulative Residual Entropy and Fractional Conditional Cumulative Residual Entropy

College of Science, Civil Aviation University of China, Tianjin 300300, China
*
Author to whom correspondence should be addressed.
Fractal Fract. 2022, 6(7), 400; https://doi.org/10.3390/fractalfract6070400
Submission received: 28 May 2022 / Revised: 17 July 2022 / Accepted: 19 July 2022 / Published: 21 July 2022
(This article belongs to the Special Issue Fractional Behaviors Analysis and Modelling)

Abstract

:
Fractional cumulative residual entropy is a powerful tool for the analysis of complex systems. In this paper, we first provide some properties of fractional cumulative residual entropy (FCRE). Secondly, we generate cumulative residual entropy (CRE) to the case of conditional entropy, named fractional conditional cumulative residual entropy (FCCRE), and introduce some properties. Then, we verify the validity of these properties with randomly generated sequences that follow different distributions. Moreover, we give the definition of empirical fractional conditional accumulative residual entropy and prove that it can be used to approximate FCCRE. Finally, the empirical analysis of the aero-engine gas path data is carried out. The results show that FCRE and FCCRE can effectively capture complex information in the gas path system.

1. Introduction

In 1948, C.E. Shannon gave the concept of information entropy in a discrete distribution based on thermodynamic entropy [1,2].
H ( U ) = j = 1 n p j log p j ,
where p j are the probability density function of U .
When U is a non-negative continuous random variable with density f ( u ) , Shannon entropy for the continuous case is given below.
Shannon entropy has made great achievements in many fields, not only in
H ( u ) = 0 f ( u ) log f ( u ) d u .
information theory but also in financial analysis [3], communications [4], and statistics [5]. Therefore, a mass of innovative scientific research, based on the Shannon entropy, such as transfer entropy [6], Rényi entropy [7], etc., have been raised.
Despite its enormous success, the following cases show that this method may be inappropriate for some situations. It is only defined for distributions with densities. For example, there is no definition of entropy for a mixture of densities with different distributions. These things considered, in general, the differential entropy of continuous variables cannot be approximated by the entropy of empirical distributions.
In order to better extend Shannon entropy to random variables with continuous distribution, Murali Rao et al. put forward the concept of cumulative residual entropy (CRE) [8]:
ε ( F ¯ U ) = 0 F ¯ ( u ) log F ¯ ( u ) d u ,
through the survival function F ¯ u = 1 F ( u ) of U , where F ( u ) is the cumulative distribution function of U . When U = U 1 , U 2 , , U N is a random vector, the cumulative residual entropy is also defined as ε ( F ¯ U ) = 0 F ¯ ( u ) log F ¯ ( u ) d u [8]. Compared with the density function in Shannon’s definition, the distribution function is more regular. It has coincident definitions in continuous and discrete cases and is easily computed from sample data. Based on the superior properties of CRE, many new concepts of entropy have been proposed [9,10,11,12,13,14,15].
In practical applications, we might need to explore the uncertainty between two messages [16]. In 2004, Murali Rao et al. also defined conditional cumulative residual entropy (CCRE) [8]:
ε ( U η ) = R + N p ( U > u η ) log p ( U > u η ) d u ,
where η is an σ -field. Conditional entropy plays an important role in information measurement not only in mathematics and communication, but also in many fields such as physics, biology, and computer applications [17,18,19,20].
To describe phenomena outside the scope of Boltzmann–Gibbs formalism, M. Rao et al. proposed entropy based on the fractional calculus [21].
s q ( p ) = j p j ( log p j ) q ,   0 < q 1 .
Obviously, Shannon entropy is the case of q = 1 . Fractional entropy has many special properties, such as positive, concave, and non-additive. The study in Ref. [22] shows it satisfies Lesche and thermodynamic stability and has higher sensitivity to signal evolution, which is more beneficial for describing the dynamics of complex systems. Thus, FCRE has been extended to diverse general cases [23,24,25,26].
Recently, inspired by CRE and fractional entropy, H. Xiong et al. introduced a new expression of entropy, named fractional cumulative residual entropy (FCRE) [27].
ε q ( F ¯ U ) = 0 F ¯ ( u ) log F ¯ ( u ) q d u ,   0 < q 1 .
In particular, fractional CRE degenerates into CRE when the parameter q is equal to 1. In addition, it is evident that ε 0 F ¯ U = E U . When U = U 1 , U 2 , , U N is a random vector, its fractional cumulative residual entropy can still be obtained by Equation (6).
In this paper, we first produced some new results on fractional cumulative residual entropy. Many research works on entropy manifest that conditional entropy provides a method to describe the interaction between two kinds of information [17,18,19,20]. Hence, inspired by the research mentioned above [8,21,27], we propose the fractional-order calculation for CCRE to obtain an improved concept of entropy, named fractional-order conditional cumulative residual entropy (FCCRE), and discuss the properties of conditional fractional CRE.
The remaining part of the paper is organized as follows: Section 2 presents some properties of fractional cumulative residual entropy and gives some simulations to show the reliability of FCRE. In Section 3, we define fractional conditional CRE and introduce some properties of fractional conditional cumulative entropy. Then, the sample data are used to verify the reliability of these properties. Section 4 presents empirical FCCRE and discusses its properties. In Section 5, we discuss the application of the FCRE and FCCRE methods in the aero-engine gas path system. Finally, Section 6 draws some conclusions.

2. Some Properties of FCRE

In this section, some properties of FCRE are given. Before introducing these properties, we display the relationship among FCRE, the probabilities P , and the fractional order q , as seen in Figure 1, where P is the probability calculated by the residual distribution function. In the following examples, we use the sample data generated by one of the typical distribution functions to display the change in FCRE or FCCRE with different values q on [ 0 ,   1 ] , and other distribution functions can also achieve the experimental effect.
Proposition 1.
Let U be a random vector, then
ε q ( F U ) 0 ,
the identity holds when P U = A = 1 , which means the probability of U j = A j is 1, where A j is the j t h component of the vector A = { A 1 , A 2 , , A n } .
Proof of Proposition 1.
If the equation holds, consider
u ( log u ) q = 0 ,
for all 0 < q 1 , is established if and only if u = 0 or u = 1 .
So, ε q ( F U ) = 0 means P U > A = 0 or P U > A = 1 for all A .
When P U > A = 0 , then P U = 0 = 1 .
Consider P U > A = 1 holds for all A , and α = max A φ A , then α satisfies
P U = α = 1 ,
where φ = A | P U > A = 1 . The proposition is proved. □
Example 1.
Assuming that U is an arbitrary constant column denoted by ‘constant sequence’, and the random sequence V is formed out of uniform distribution on [ 0 ,   1 ] denoted by ‘uniform distribution’. Then, the condition of Proposition 1 is satisfied. The result is shown in Figure 2.
Proposition 2.
Let U and V be two independent non-negative random variables,
max ε q ( U ) , ε q ( V ) ε q ( U + V ) .
Proof of Proposition 2.
Since U and V are independent, then
P U + V > t = d F V c P U > t c ,
where F V represents the cumulative distribution function of V .
Since F ¯ U F ¯ U q for all u U , u > 0 and 0 < q 1 where F U means the survival function of U .
ε q U + V ε q ( U + V ) = 0 F U + V log F U + V q d u 0 F U + V log F U + V q d u ,
where F ¯ U + V is the survival function of U + V .
According to Jensen’s inequality,
P U + V > t log P U + V > t q d F V c P U > t c log P U > t c q .
Integrating both sides of the above formula from 0 to ,
ε q U + V d F V c 0 P U > t c log P U > t c q d t = d F V c c P U > t c log P U > t c q d t = d F V ( c ) ε q ( F U ) = ε q ( U ) .
When t c , P U > t c = 1 . The proposition is proved. □
Example 2.
Suppose U follows a uniform distribution on [ 0 ,   1 ] ,  V follows an exponential distribution with λ = 0.5 . Then, the distribution function of W = U + V is F W = e λ e b e a λ ( a b ) e λ W 1 . The simulated result is shown in Figure 3. It is evident that the FCRE of the sum of two random variables is greater than that of either random variable, which is in accordance with Proposition 2.
Weak convergence is a significant property in statistics [28]. Combining the theorem 1 in Ref. [25], there is the following proposition.
Proposition 3.
Given random vector U n that converges to the random vector U in distribution, then for any bounded continuous functions ϕ on R N ,
lim n E ϕ ( U n ) = E ϕ ( U ) .
For some p > N , if all the U n are bounded in L P , we have
ε q ( U n ) a . s . ε q ( U ) , n .
Proof of Proposition 3.
Let U n converge to the random vector U in distribution [29]; it is known that
lim n P U n > u = P U > u ,
for all u on R N + .
Then,
lim n P U n > u log P U n > u = P U > u log P U > u .
From Theorem 1 in Ref. [8], we know
P U n > u log P U n > u q e 1 1 α q j = 1 N P U n j > u j α N q ,
for each n and j .
Therefore,
0 P U n i > u i q α N d u = 0 1 P U n j > u j q α N d u + 1 P U n j > u j q α N d u 1 + 1 1 u j p E U n j p q α N d u ,
where p q α N > 1 . The proposition is proved. □
Proposition 4.
For a non-negative random variable U and 0 < q 1 , it holds that ε q U ε U λ q , where U λ is the exponentially distributed random variable with mean λ = E U 2 / 2 E U .
Proof of Proposition 4.
Since F ¯ ( u ) F ¯ ( u ) q for u > 0 and 0 < q 1 ,
ε q ( U ) = 0 F ¯ ( U ) log F ¯ ( U ) q d u 0 F ¯ ( U ) log F ¯ ( U ) q d u 0 F ¯ ( U ) log F ¯ ( U ) d u q = ε ( U ) q ,
where the last inequality is attained from Jensen’s inequality. The equality holds at q = 1 .
Then, by log-sum inequality
0 p U > t log e t / λ p U > t d t E U log E U / λ .
Expanding the LHS of Equation (12), we obtain
0 P U > t log P U > t d t + 0 P U > t t λ d t E U log E U / λ .
Since 0 P U > t t d t = E U 2 / 2 , we obtain from above that
0 P U > t log P U > t d t E U 2 / 2 λ + E U log E U / λ .
Equation (14) holds for all positive λ . The maximum of the RHS of Equation (14) is obtained when λ = E U 2 / 2 E U .
Substituting this value of λ into Equation (14), we obtain
0 P U > t log P U > t d t E U + E U log 2 E U 2 / E U 2 E U + E U 1 E U 2 / 2 E U 2 = E U 2 / 2 E U ,
and log u 1 1 / u is used to prove the second inequation.
Thus, ε U ε U λ is proved. By using Equation (11), the proposition is proved. □
Example 3.
We assume the two typical cases of the random variable U , the uniform distribution on [ 0 ,   1 ] in Figure 4 and the exponential distribution with λ = 0.5 in Figure 5, where V follows the exponential distribution with λ = E U 2 / 2 E U .
Let U 1 , U 2 , , U n be positive and independent and identically distributed (i.i.d.) with distribution F . The empirical FCRE is defined as
ε q F ¯ n = 0 F ¯ n u log F ¯ n u q d u ,
where F n is the empirical distribution of the sample U 1 , U 2 , , U n , and F ¯ n = 1 F n .
The following property demonstrates that the empirical FCRE asymptotically converges to theoretical FCRE.
Proposition 5.
For any random variable U in L p for some p > 1 , the empirical FCRE converges to the FCRE of U , i.e., ε q F ¯ n ε q F ¯ almost surely.
Proof of Proposition 5.
The proof of this proposition is based on the dominated convergence proposition; the integral of G n U log G n U on any finite interval converges to that of G U log G U . By the dominated convergence proposition, we need only to prove that as n
1 G n ( u ) log G n ( u ) q d u 1 G ( u ) log G ( u ) q d u 0 .
Recalling G n u = P n U > u , where P n is a probability distribution on R + put 1 n at each of the sample points U 1 , U 2 , , U n .
It follows that
u p G n u E n U p = 1 n 1 n U j p ,
where E n is the expectation relative to P n . By the strong law [28], we obtain
1 n 1 n U j p E U 1 p .
In particular,
sup n 1 n 1 n U j n <   almost   surely .
Combining Equations (17) and (18) gives us G n u u p sup n 1 n 1 n U j n , u 1 , + . □
Example 4.
Suppose U follows the uniform distribution on [ 0 ,   1 ] , then the theoretical value can be obtained that ε q F U = b Γ q + 1 2 q + 1 , and Equation (20) in Ref. [27] can be used to calculate the sample value of FCRE. The result is shown in Figure 6. The result confirms the sample value of FCRE asymptotically converges to the theoretical FCRE.

3. Fractional Conditional Cumulative Residual Entropy (FCCRE) and Some Properties

Inspired by the properties of conditional CRE in Ref. [8], we define fractional conditional cumulative residual entropy (FCCRE) below.
Let V be a random variable that is measurable with respect to an σ field η , and U is a random variable with finite expectation. We denote the conditional expectation of U given η by E U / η .
Definition 1.
Given a random vector U on R N and an σ -field η , we define fractional conditional cumulative residual entropy (FCCRE): ε q ( U | η ) by
ε q ( U η ) = R + N p ( U > u η ) log p ( U > u η ) q ) d u ,
where ε q ( U | η ) is measurable with respect to the σ -field η ; if η is the σ -field generated by the random variable V , one sets δ q ( U V ) = ε q ( U | η ) , where
δ q ( U V ) = p ( U > u V = v ) log p ( U > u V = v ) q d u .
When η is the trivial field, ε q ( U | η ) = ε q ( U ) . Suppose U and V are two discrete random vectors; the specific calculation process is as follows:
ε q ( U | V ) = v V P ( v ) ε q ( U | V = v ) = v V p ( v ) u U p ( u | v ) ( log p ( u | v ) ) q = u U v V p ( u , v ) ( log p ( u | v ) ) q = u U , v V p ( u , v ) ( log p ( u | v ) ) q = u U , v V p ( u , v ) log p ( u , v ) p ( v ) q .
Some properties are presented here to reflect the uncertainty between two random variables.
Proposition 6.
For random non-negative and independent variables U , V , and an σ - field η ,
max ε q F ¯ U | η , ε q F ¯ V | η ε q F ¯ U + V | η ,
where F ¯ U | η and F ¯ V | η are the survival functions of U and V , respectively.
Proof of Proposition 6.
The proof content is similar to Proposition 1, so we will not repeat it here. □
Then, a simple example is used to demonstrate Proposition 6.
Example 5.
In Figure 7, we compare three FCCRE, ε q U | Z , ε q V | Z , and ε q U + V | Z . U follows the uniform distribution on [ 0 ,   1 ] , V is normally distributed with the mean of 0 and the variance of 1, and Z follows exponential distribution with λ = 0.5 . From Figure 7, we can see the entropy of ε q U | Z and ε q V | Z is smaller than ε q U + V | Z .
Proposition 7.
ε q U | η < when E U p < for some p > n , and an σ -field η , n is the dimension of the vector U .
Proof of Proposition 7.
First, we comment that according to the proof of the existence of CRE in Ref. [8], which can prove the result sufficiently when U is a scalar random variable, that is n = 1 , and for p > 1 . Then, letting p 1 < α q < 1 , we use the following inequality [8]:
P U j > u j , 1 j N | η log P U j > u j , 1 j N | η e 1 1 α P U j > u j , 1 j N | η α e 1 1 α j = 1 N P U j > u j | η α / N .
Since F ¯ U F ¯ U q for u > 0 and 0 < q 1 ,
ε q U | η = 0 F ¯ U | η log F ¯ U | η q d u 0 F ¯ U | η log F ¯ U | η q d u
So that
P U j > u j , 1 j N | η log P U j > u j , 1 j N | η q e 1 1 α q j = 1 N P U j > u j | η α / N q .
Integrating both sides of Equation (20) on R N + , we obtain
ε q U | η e 1 1 α q R N + j = 1 N P U j > u j | η q α / N d u = e 1 1 α q j = 1 N 0 P U j > u j | η q α / N d u .
For any positive random variable V ,
0 P V > v | η q α / N d v = 0 1 P V > v | η q α / N d v + 1 P V > v | η q α / N d v 1 + 1 1 v p E V p | η q α / N d v < .
Example 6.
U is a random sample from a uniform distribution over [ 0 ,   1 ] , and V follows an exponential distribution with λ = 0.5 . We calculate the different values of ε q U | V when q [ 0 ,   1 ] , which are shown in Figure 8.
Figure 8 shows that FCCRE values are finite regardless of the different values of q between [ 0 ,   1 ] .
Proposition 8.
For ε q U | η 0 , if and only if P U > A | η = 1 , the equation holds, which means the probability of U j = A j is 1, where A j is the j t h component of the vector A = A 1 , A 2 , , A n .
Proof of Proposition 8.
If the equation holds, consider
u log u q = 0 ,
for all 0 < q 1 is established if and only if u = 0 or u = 1 .
So, ε q U | η = 0 means P U > A | η = 0 or P U > A | η = 1 for all A .
When P U > A | η = 0 , then P U > 0 | η = 0 .
Consider P U > A | η = 1 hold on A , then for α = max A φ A , which satisfies
P U = α | η = 1 ,
where φ = A P U > A | η = 1 . □
Example 7.
Assuming U is a random variable that obeys a uniform distribution, V follows the exponential distribution. Let Z be a constant sequence, equal to a fully probable event. The simulated result is shown in Figure 9, which is in accordance with Proposition8.
Proposition 9.
Let U L p for some p > N τ , and an σ -field η ; N is the dimension of vector U , then
E ε q U | η = 0     iff U is   η measurable .
More generally, if
A = ε q U | η = 0 ,
then 1 A U is η measurable, where 1 A is the indicator function of the set A , and 1 A U = U on the set A and zero elsewhere. In particular, for random vectors U and V ,
ε q U | V = 0 if U is a function of V .
Note that E ε q U | η is a scalar but ε q U | V is a function of V . Additionally, if V is a generator of η , then ε q U | η = ε q U | V .
Proof of Proposition 9.
Let ϕ u = u log u q ; note that for any positive random variable Z and any set A , 1 A ϕ Z = ϕ 1 A Z . In particular, if A η ,
1 A ϕ E Z | η = ϕ 1 A E Z | η .
Therefore, the proof of Equation (21) indirectly proves the more general statement Equation (22). Then, we use the following easily verified fact to prove Equation (21). For any set A , A is η -measurable iff E 1 A | η is 0–1 valued.
Now, suppose U is η -measurable. Then, P U > u | η = 1 A , where A = U > u . Moreover, ϕ 1 A = 0 , since ϕ 1 B = 0 for all sets B . Conversely, if ε q U | η = 0 , then for almost all u
ϕ P U > u | η = 0 ,
i.e., P U > u | η is 0–1 valued. Using Equation (18) in Ref. [8], we find that for almost all u R + N , the set A = U > u belongs to η . Otherwise stated, U is η measurable. The proposition is proved. □
By using Jensen’s inequality, Proposition 10 discusses the relation of fractional conditional CRE with conditional CRE. It gives an upper bound for the fractional conditional CRE depending on the CRE.
Proposition 10.
For a non-negative random variable U and an σ -field η , it holds that
ε q U | η ε U | η q .
Proof of Proposition 10.
Since F ¯ U | η F ¯ U | η q for u > 0 and 0 < q 1 ,
ε q ( U η ) = 0 F ¯ ( U η ) log F ¯ ( U η ) q d u 0 F ¯ ( U η ) log F ¯ ( U η ) q d u 0 F ¯ ( U η ) log F ¯ ( U η ) d u q = ε ( U η ) q ,
where the last inequality is attained from Jensen’s inequality.
The proposition is proved.□
Example 8.
Suppose U follows the uniform distribution on [ 0 ,   1 ] , V follows exponential distribution with λ = 0.5 . Figure 10shows the value of ε q U | η is far less than the value of ε U | η q . The larger numerical deviation of FCCRE and q-order CCRE can also be seen from Table 1.
The following proposition shows that the fractional conditional CRE dominates the differential entropy, which gives a lower bound for the fractional conditional CRE relative to the differential entropy.
Proposition 11.
Let U 0 have density f , then
ε q U | η C q e H U | η , 0 < q 1 ,
where H U | η is the conditional differential entropy defined in Equation (2) [8], and C q = e 0 1 log u log u q d u is a finite function of q .
Proof of Proposition 11.
Let G U | η = P U > u | η = u f u | η , using the log-sum inequality,
u f ( u η ) log f ( u η ) G ( u η ) log G ( u η ) q d u log 1 0 G ( u η ) log G ( u η ) q d u = log 1 ε q ( u η ) .
The LHS in Equation (24) equals
H ( U η ) 0 f ( u η ) log G ( u η ) log G ( u η ) q d u .
Then
H ( U η ) + 0 f ( u η ) log G ( u η ) log G ( u η ) q d u log ε q ( U η ) .
Finally, a change in variable gives
0 f ( u η ) log G ( u η ) log G ( u η ) q d u = 0 1 log u ( log u ) q d u .
Hence, we obtain the following equation from Equation (25):
H U | η + 0 1 log u log u q log ε q U | η .
Exponentiating both sides of Equation (26), we have Equation (23). □
Definition 2.
Cross CRE [8] is defined as
ε U , V = ε U + E ε V | U .
Similarly, we define fractional cross CRE by
ε q U , V = ε q U + E ε q V | U .
Now, using Proposition 11, we have the following proposition.
Proposition 12.
ε q U , V 2 C q exp H U , V 2 ,
where H U , V is the joint entropy [1].
Proof of Proposition 12.
The combination of Proposition 11, the convexity of e x , and Jensen’s inequality lead to
ε q U , V = ε q U + E ε q V | U C q exp H U + C q exp H U | V 2 C q exp H U + E H U | V 2 = 2 C q exp H U | V 2 .
In the second inequality, we use 2 exp u + v 2 e u + e v . □

4. Empirical Fractional Conditional Cumulative Residual Entropy

Analogous to CRE, conditional FCRE can be computed using the fractional CRE of empirical data [30,31,32,33].
Let U 1 , U 2 , , U n be nonnegative absolutely continuous, independently and identically distributed random variables that form a random sample from a population having distribution function F ( U | v ) for an σ -field η , which is generated by a random variable V . Writing F n U | v as the empirical conditional distribution of n-sample U 1 , U 2 , , U n , assigning mass 1 n to every sample point, then F n U | v is the conditional cumulative distribution function.
According to Equation (4), the CRE of empirical distribution F n U | v is
ε q F ¯ n U | v = 0 F ¯ n U | v log F ¯ n U | v q d u ,
where F ¯ n U | v = 1 F n U | v .
The following propositions uncover the asymptotic of empirical fractional conditional CRE, namely the FCCRE of sample data asymptotically converges to the true value.
Proposition 13.
For any random variable U in L p for some p > 1 , empirical conditional FCRE converges to the conditional FCRE of U , i.e., ε q F n U | v ε q F U | v a.s.
Proof of Proposition 13.
By using the dominated convergence proposition, it holds that the integral of G n U | v log G n U | v on any finite interval converges to that of G U | v log G U | v . Therefore, we just need to show that as n
0 1 G n ( U v ) log G n ( U v ) q d u 0 1 G ( U v ) log G ( U v ) q d u 0 .
Recall that
G n U | v = P n U > u | v ,
where P n is the probability distribution on R + assigning mass 1 n to each of the sample points U 1 , , U n .
It follows that
x p G n U | v E n U P = 1 n 1 n U j p ,
where E n is expectation relative to P n . Then, using the strong law [28], we obtain
1 n 1 n U j p E U 1 P   almost   surely .
In particular,
sup n 1 n 1 n U j p <   almost   surely .
Combining Equations (31) and (32), we obtain G n U | v u p sup n 1 n 1 n U j p
Now, by applying the dominated convergence proposition and using Equation (35) in Ref. [8], we prove the proposition. □
Proposition 14.
Let the random vector U n converge to the random vector U in distribution for all bounded continuous functions φ on R N , that is
lim n E φ U n = E φ U .
For some p > N ,if all the U n are bounded in L p , then
ε q U n | v a . s . ε q U | v , n .
Proof of Proposition 14.
For all u on R N + , U n converges to the random vector U in distribution [29],
lim n P U n > u | v = P U > u | v .
Then, for all u ,
lim n P U n > u | v log P U n > u | v = P U > u | v log P U > u | v .
From Proposition 1 in Ref. [8], we know
P U n > u | v log P U n > u | v q e 1 1 α q j = 1 N P U n j > U j | v α N q .
For each n and j ,
0 P U n j > U j | v q α N d u = 0 1 P U n j > u j | v q α N + 1 P U n j > u j | v q α N d u 1 + 1 1 u j p E U n j | v p q α N d u ,
where p q α N > 1 , the proposition can be proved. □

5. Application

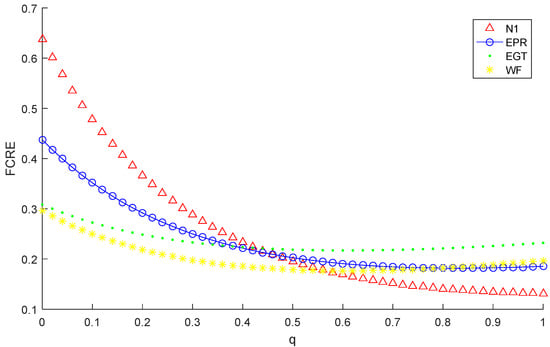
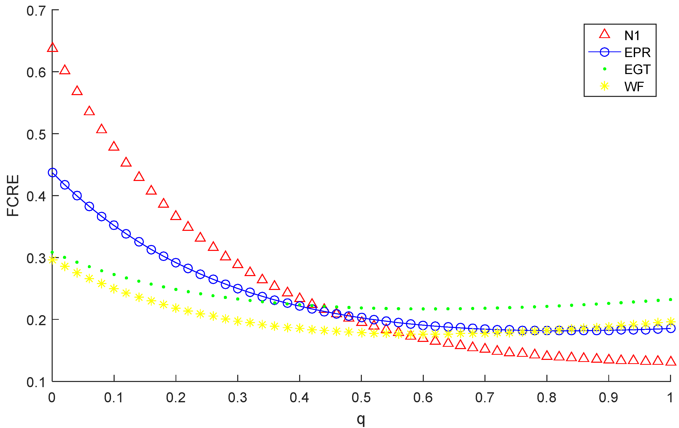
In this section, we analyze and compare the complexity of aero-engine gas path variables based on the FCRE and FCCRE models, so as to explore the intrinsic dynamic nature of aero-engine time series. We select the engine pressure ratio (EPR), high-pressure rotor speed (N1), fuel flow (WF), and exhaust gas temperature (EGT) as data samples. These four major variables reflect the operation condition of the aero-engine gas path system.
The fractional cumulative residual entropy curves of the six groups series in Figure 11 are interlaced to varying degrees and show a decreasing trend with the increase in fractional parameters. Through fractional parameter analysis, we can explore the inherent dynamic nature of aero-engine gas path time series and try to distinguish different gas path parameters. In Figure 11, the entropy curve of N1 (high pressure rotor speed) is higher than that of the EPR (engine pressure ratio), WF (fuel flow), and EGT (exhaust gas temperature) while q 0.4 . Oppositely, when q 0.6 , the entropy curve of N1 lies under that of the EPR, WF, and EGT. The reason may be that N1 represents the dynamic system. However, the oiling system and temperature system associated with the dynamic system are indicated by the WF and EGT.
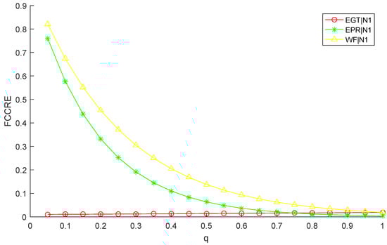
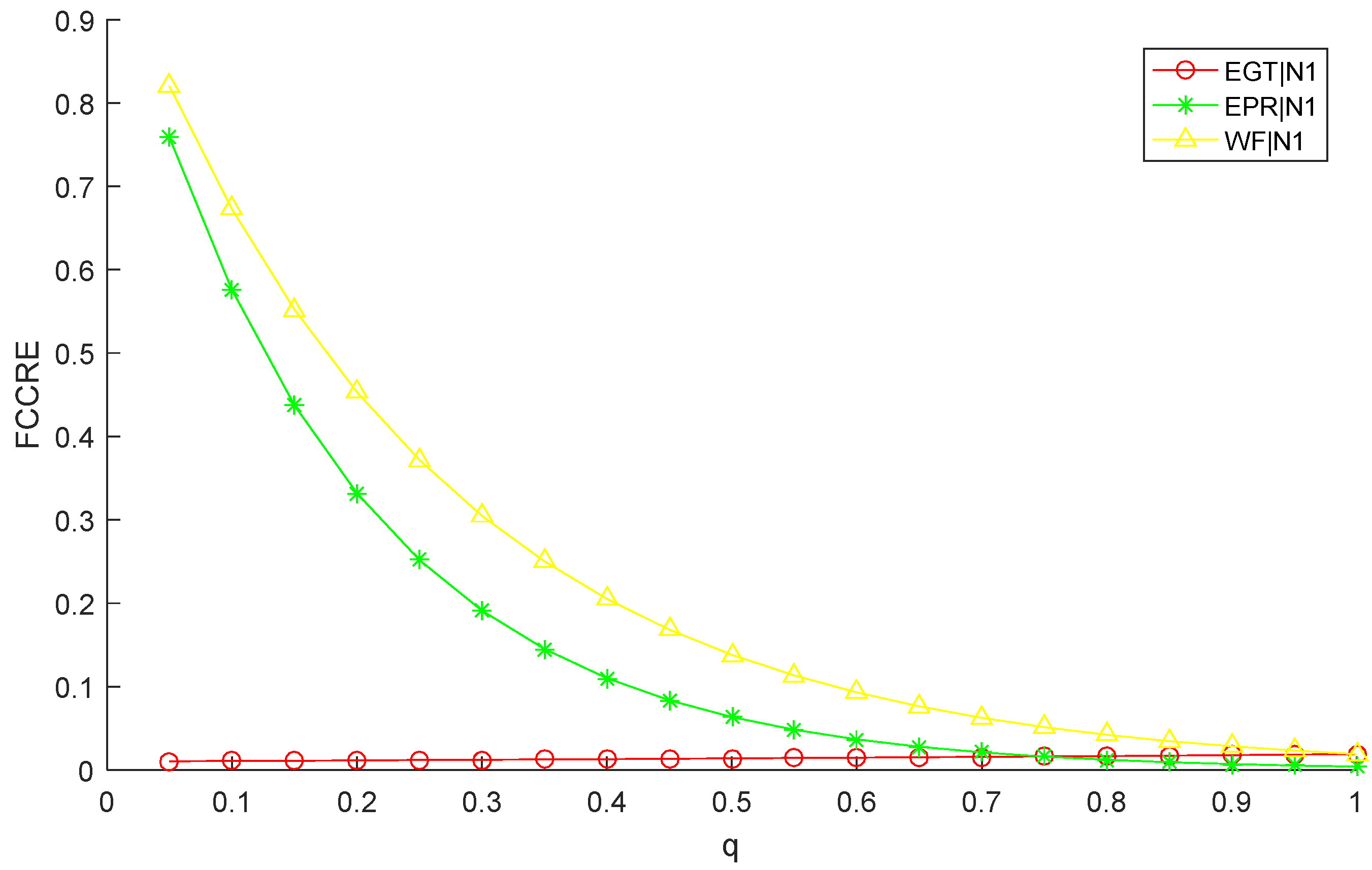
In order to better observe the correlation between the dynamic system and three other systems, Figure 12 shows the FCCRE of these three groups of gas path sequences, respectively. Figure 12 shows a wide difference in the correlation for the aero-engine gas path time series. The FCCRE values of the ε q EGT N 1 and ε q EPR N 1 sequences firstly decrease rapidly with the increase in parameter q, and then decrease slowly. On the other hand, when q increases, the entropy curve is obviously near the highest point.
In summary, both FCRE and FCCRE can detect the nature of gas path systems and can distinguish the complexity of different gas path series. The result of FCCRE can capture not only the information of complexity but also the correlation in the gas path system.

6. Conclusions

In this paper, some new properties of fractional cumulative residual entropy and fractional conditional cumulative residual entropy (FCCRE) were given. Among them, some properties revealed the connection between fractional conditional CRE and differential entropy. Moreover, the generated random sequences that followed different distributions were used to verify the validity of the original property. Then, we discussed the empirical approximation of FCCRE.
For the analysis of aero-engine gas path data, this article analyzed and compared the complexity of the engine pressure ratio (EPR), high-pressure rotor speed (N1), fuel flow (WF), and exhaust gas temperature (EGT). The results show that both FCRE and FCCRE can detect the complex nature of the gas path system. In the future, we will continue to investigate other properties and applications of fractional-order cumulative residual entropy and fractional conditional cumulative residual entropy.

Author Contributions

Conceptualization, K.D.; methodology, K.D. and S.L.; software, S.L. and D.L.; validation, S.L.; formal analysis, S.L.; data curation, K.D.; writing—original draft preparation, S.L.; writing—review and editing, K.D.; project administration, K.D.; funding acquisition, K.D. All authors have read and agreed to the published version of the manuscript.

Funding

This research was funded by the MOE (Ministry of Education in China) Project of Humanities and Social Sciences, grant number 19YJC910001 and the Fundamental Research Funds for the Central Universities, grant number 3122019143.

Institutional Review Board Statement

Not applicable.

Informed Consent Statement

Not applicable.

Data Availability Statement

The data presented in this study are available on request from the corresponding author.

Conflicts of Interest

The authors declare no conflict of interest.

References

  1. Shannon, C.E. A mathematical theory of communication. Bell Syst. Tech. J. 1948, 27, 379–423. [Google Scholar] [CrossRef] [Green Version]
  2. Mackay, D.J.C. Information Theory, Inference & Learning Algorithms; Cambridge University Press: Cambridge, UK, 2003. [Google Scholar]
  3. Zhou, R.; Cai, R.; Tong, G. Applications of Entropy in Finance: A Review. Entropy 2013, 15, 4909–4931. [Google Scholar] [CrossRef]
  4. Santamaria, I.; Erdogmus, D.; Principe, J.C. Entropy minimization for supervised digital communications channel equalization. IEEE Trans. Signal Process. 2002, 50, 1184–1192. [Google Scholar] [CrossRef]
  5. Kullback, S. Information Theory and Statistics; Wiley: Hoboken, NJ, USA, 1959. [Google Scholar]
  6. Mason, W. The Stereotypes of Classical Transfer Theory. J. Polit. Econ. 1956, 64, 492–506. [Google Scholar] [CrossRef]
  7. Hung, L.Y.; Myers, R.C.; Smolkin, M. Holographic Calculations of Rényi Entropy. J. High Energy Phys. 2012, 2011, 118–131. [Google Scholar] [CrossRef] [Green Version]
  8. Rao, M.; Chen, Y.; Vemuri, B.C.; Wang, F. Cumulative residual entropy. A new measure of information. IEEE Trans. Inf. Theory 2004, 50, 1220–1228. [Google Scholar] [CrossRef]
  9. Asadi, M.; Zohrevand, Y. On the dynamic cumulative residual entropy. J. Stat. Plan. Inference 2007, 137, 1931–1941. [Google Scholar] [CrossRef]
  10. Sunoj, S.; Linu, M. Dynamic cumulative residual Rényi’s entropy. Statistics 2012, 46, 41–56. [Google Scholar] [CrossRef]
  11. Rajesh, G.; Sunoj, S. Some properties of cumulative Tsallis entropy of order α. Stat. Pap. 2016, 60, 933–943. [Google Scholar] [CrossRef]
  12. Psarrakos, G.; Navarro, J. Generalized cumulative residual entropy and record values. Metrika 2013, 76, 623–640. [Google Scholar] [CrossRef]
  13. Rajesh, G.; Abdul-Sathar, E.; Nair, K.M.; Reshmi, K. Bivariate extension of dynamic cumulative residual entropy. Stat. Methodol. 2014, 16, 72–82. [Google Scholar] [CrossRef]
  14. Baratpour, B.S.; Bami, Z. On the discrete cumulative residual entropy. J. Iran. Stat. Soc. 2012, 2, 203–215. [Google Scholar]
  15. Park, S.; Rao, M.; Shin, D.W. On cumulative residual Kullback–Leibler information. Stat. Probabil. Lett. 2012, 82, 2025–2032. [Google Scholar] [CrossRef]
  16. Gómez-Villegas, M.A.; Main, P.; Navarro, H.; Susi, R. Assessing the effect of kurtosis deviations from Gaussianity on conditional distributions. Appl. Math. Comput. 2013, 219, 10499–10505. [Google Scholar] [CrossRef]
  17. Wu, X.; Moo, P.W. Joint Image/Video Compression and Encryption via High-Order Conditional Entropy Coding of Wavelet Coefficients. In Proceedings of the IEEE International Conference on Multimedia Computing & Systems, Florence, Italy, 7–11 June 1999. [Google Scholar]
  18. Abe, S.; Rajagopal, A.K. Nonadditive conditional entropy and its significance for local realism. Phys. A 2001, 289, 157–164. [Google Scholar] [CrossRef] [Green Version]
  19. Porta, A.; Castiglioni, P.; Bari, V.; Bassani, T.; Marchi, A.; Cividjian, A.; Quintin, L.; Di Rienzo, M. K-nearest-neighbor conditional entropy approach for the assessment of the short-term complexity of cardiovascular control. Physiol. Meas. 2012, 34, 17–33. [Google Scholar] [CrossRef]
  20. Keshmiri, S. Conditional Entropy: A Potential Digital Marker for Stress. Entropy 2021, 23, 286. [Google Scholar] [CrossRef] [PubMed]
  21. Marcelo, U.R. Entropies based on fractional calculus. Phys. Lett. A 2009, 373, 2516–2519. [Google Scholar]
  22. Machado, J.T. Fractional Order Generalized Information. Entropy 2014, 16, 2350–2361. [Google Scholar] [CrossRef] [Green Version]
  23. Yudong, Z.; Xiaojun, Y.; Carlo, C.; Rao, R.V.; Wang, S.; Philips, P. Tea Category Identification Using a Novel Fractional Fourier Entropy and Jaya Algorithm. Entropy 2016, 18, 77. [Google Scholar]
  24. Mao, X.; Shang, P.J.; Wang, J.; Yin, Y. Fractional cumulative residual Kullback-Leibler information based on Tsallis entropy. Chaos Solitons Fractals 2020, 139, 110292. [Google Scholar] [CrossRef]
  25. Dong, K.; Zhang, X. Multiscale fractional cumulative residual entropy of higher-order moments for estimating uncertainty. Fluct. Noise Lett. 2020, 19, 2050038. [Google Scholar] [CrossRef]
  26. Di Crescenzo, A.; Kayal, S.; Meoli, A. Fractional generalized cumulative entropy and its dynamic version. Commun. Nonlinear Sci. Numer. Simul. 2021, 102, 105899. [Google Scholar] [CrossRef]
  27. Xiong, H.; Shang, P.J.; Zhang, Y.L. Fractional cumulative residual entropy. Commun. Nonlinear Sci. Numer. Simul. 2019, 78, 104879. [Google Scholar] [CrossRef]
  28. Rao, B.L.S.P. Asymptotic Theory of Statistical Inference. J. Am. Stat. Assoc. 1988, 151, 564–565. [Google Scholar]
  29. Pollard, D. Convergence of stochastic processes. Economica 1958, 52, 276–280. [Google Scholar]
  30. Kuo, K.L.; Song, C.C.; Jiang, T.J. Exactly and almost compatible joint distributions for high-dimensional discrete conditional distributions. J. Multivar. Anal. 2017, 157, 115–123. [Google Scholar] [CrossRef]
  31. Di Crescenzo, A.; Longobardi, M. On cumulative entropies. J. Stat. Plan. Inference 2009, 139, 4072–4087. [Google Scholar] [CrossRef]
  32. Park, S.; Noughabi, H.A.; Kim, I. General cumulative Kullback–Leibler information. Commun. Stat. 2018, 47, 1551–1560. [Google Scholar] [CrossRef]
  33. Kayal, S. On generalized cumulative entropies. Probabil. Eng. Inf. Sci. 2016, 30, 640–662. [Google Scholar] [CrossRef]
Figure 1. The relationship among fractional cumulative residual entropy, fractional order q , and probability P for typical examples of the uniform distribution on [ 0 ,   1 ] .
Figure 1. The relationship among fractional cumulative residual entropy, fractional order q , and probability P for typical examples of the uniform distribution on [ 0 ,   1 ] .
Fractalfract 06 00400 g001
Figure 2. The fractional cumulative residual entropy of constant sequence and uniform distribution on [ 0 ,   1 ] .
Figure 2. The fractional cumulative residual entropy of constant sequence and uniform distribution on [ 0 ,   1 ] .
Fractalfract 06 00400 g002
Figure 3. The fractional cumulative residual entropy of the uniform distribution, exponential distribution, and the distribution F W .
Figure 3. The fractional cumulative residual entropy of the uniform distribution, exponential distribution, and the distribution F W .
Fractalfract 06 00400 g003
Figure 4. The fractional cumulative residual entropy of uniform distribution on [ 0 ,   1 ] and exponential distribution λ = E U 2 / 2 E U .
Figure 4. The fractional cumulative residual entropy of uniform distribution on [ 0 ,   1 ] and exponential distribution λ = E U 2 / 2 E U .
Fractalfract 06 00400 g004
Figure 5. The fractional cumulative residual entropy of exponential distribution with λ = 0.5 and exponential distribution λ = E U 2 / 2 E U .
Figure 5. The fractional cumulative residual entropy of exponential distribution with λ = 0.5 and exponential distribution λ = E U 2 / 2 E U .
Fractalfract 06 00400 g005
Figure 6. The fractional cumulative residual entropy and empirical fractional cumulative residual entropy of the uniform distribution on [ 0 ,   1 ] .
Figure 6. The fractional cumulative residual entropy and empirical fractional cumulative residual entropy of the uniform distribution on [ 0 ,   1 ] .
Fractalfract 06 00400 g006
Figure 7. Fractional conditional cumulative residual entropy ε q U | Z , ε q V | Z , and ε q U + V | Z .
Figure 7. Fractional conditional cumulative residual entropy ε q U | Z , ε q V | Z , and ε q U + V | Z .
Fractalfract 06 00400 g007
Figure 8. The fractional conditional cumulative residual entropy of ε q U | V .
Figure 8. The fractional conditional cumulative residual entropy of ε q U | V .
Fractalfract 06 00400 g008
Figure 9. The fractional conditional cumulative residual entropy of ε q U | V and ε q Z | V .
Figure 9. The fractional conditional cumulative residual entropy of ε q U | V and ε q Z | V .
Fractalfract 06 00400 g009
Figure 10. The fractional conditional cumulative residual entropy of ε q U | η and the q power of conditional cumulative residual entropy of ε U | η q .
Figure 10. The fractional conditional cumulative residual entropy of ε q U | η and the q power of conditional cumulative residual entropy of ε U | η q .
Fractalfract 06 00400 g010
Figure 11. The fractional cumulative residual entropy of N1, EGT, EPR, and WF time series.
Figure 11. The fractional cumulative residual entropy of N1, EGT, EPR, and WF time series.
Fractalfract 06 00400 g011
Figure 12. The fractional conditional cumulative residual entropy of aero-engine gas path time series.
Figure 12. The fractional conditional cumulative residual entropy of aero-engine gas path time series.
Fractalfract 06 00400 g012
Table 1. The specific values of q-order FCCRE and q power of CCRE.
Table 1. The specific values of q-order FCCRE and q power of CCRE.
q = 0.1q = 0.2q = 0.3q = 0.4q = 0.5q = 0.6q = 0.7q = 0.8q = 0.9q = 1.0
CCRE0.00260.00270.00290.00300.00310.00330.00350.00360.00380.0040
q-order FCCRE0.57520.33080.19030.10940.06290.03620.02080.01200.00690.0040
Publisher’s Note: MDPI stays neutral with regard to jurisdictional claims in published maps and institutional affiliations.

Share and Cite

MDPI and ACS Style

Dong, K.; Li, S.; Li, D. Some Properties of Fractional Cumulative Residual Entropy and Fractional Conditional Cumulative Residual Entropy. Fractal Fract. 2022, 6, 400. https://doi.org/10.3390/fractalfract6070400

AMA Style

Dong K, Li S, Li D. Some Properties of Fractional Cumulative Residual Entropy and Fractional Conditional Cumulative Residual Entropy. Fractal and Fractional. 2022; 6(7):400. https://doi.org/10.3390/fractalfract6070400

Chicago/Turabian Style

Dong, Keqiang, Shushu Li, and Dan Li. 2022. "Some Properties of Fractional Cumulative Residual Entropy and Fractional Conditional Cumulative Residual Entropy" Fractal and Fractional 6, no. 7: 400. https://doi.org/10.3390/fractalfract6070400

APA Style

Dong, K., Li, S., & Li, D. (2022). Some Properties of Fractional Cumulative Residual Entropy and Fractional Conditional Cumulative Residual Entropy. Fractal and Fractional, 6(7), 400. https://doi.org/10.3390/fractalfract6070400

Article Metrics

Back to TopTop