Next Article in Journal
Fractional Model of the Deformation Process
Next Article in Special Issue
Sampled-Data Based Fault-Tolerant Control Design for Uncertain CE151 Helicopter System with Random Delays: Takagi-Sugeno Fuzzy Approach
Previous Article in Journal
Dynamic Analysis and Audio Encryption Application in IoT of a Multi-Scroll Fractional-Order Memristive Hopfield Neural Network
 
 
Font Type:
Arial Georgia Verdana
Font Size:
Aa Aa Aa
Line Spacing:
Column Width:
Background:
Article

Identifying Partial Topological Structures of Stochastic Multi-Group Models with Multiple Dispersals via Graph-Theoretic Method

1
School of Mathematics, Southwest Jiaotong University, Chengdu 610031, China
2
Computational Intelligence Laboratory, Toyota Technological Institute, Nagoya 468-8511, Japan
*
Authors to whom correspondence should be addressed.
Fractal Fract. 2022, 6(7), 371; https://doi.org/10.3390/fractalfract6070371
Submission received: 23 May 2022 / Revised: 27 June 2022 / Accepted: 28 June 2022 / Published: 1 July 2022

Abstract

:
In this paper, the partial topology identification of stochastic multi-group models with multiple dispersals is investigated. Based on adaptive pinning control and a graph-theoretic method, some sufficient criteria about partial topology identification of stochastic multi-group models with multiple dispersals are obtained. That is to say, the unknown partial topological structures can be identified successfully. In the end, numerical examples are provided to verify the effectiveness of theoretical results.

1. Introduction

Recently, multi-group models have gained more attention due to their wide range of applications in many different fields such as biology, epidemiology, etc. [1,2]. The different dynamical behaviors of multi-group models have been extensively investigated, see [3,4] for global stability, [5] for synchronization and [6] for stationary distribution.
Multiple dispersals have great influence in many multi-group models, especially in a multi-path environment, and different dispersal always exists among species. In addition, systems in nature are indispensable to be affected by stochastic perturbation [7,8,9,10]. Stochastic multi-group models with multiple dispersals are effective mathematical models and have attracted increasing attention, see [11,12,13]. It should be noted that topological structures in many studies [3,4,5,6,8,9,10,11,12,13] are known. In fact, topological structures in many practical applications are usually unknown or uncertain. Therefore, it is important to identify the unknown topological structures of stochastic multi-group models with multiple dispersals.
In this paper, we consider the following stochastic multi-group models with multiple dispersals as
d x k ( i ) ( t ) = ϕ k ( i ) ( x k ( t ) , t ) + h = 1 N a k h ( i ) H k h ( i ) ( x k ( i ) ( t ) , x h ( i ) ( t ) , t ) d t + ψ k ( i ) ( x k ( i ) ( t ) , t ) d W ( t ) , 1 i s , 1 k N ,
where x k ( i ) R m i is the state vector of the i-th component in the k-th group. We define m = i = 1 s m i for m i R + . x k ( t ) = ( ( x k ( 1 ) ( t ) ) T , ( x k ( 2 ) ( t ) ) T , , ( x k ( s ) ( t ) ) T ) T R m denotes the state vector of the k-th group. ϕ k ( i ) ( x k ( t ) , t ) : R m × R + R m i represents the performance of the i-th component of the k-th group. ψ k ( i ) ( x k ( i ) ( t ) , t ) : R m i × R + R m i shows the perturbation intensity on the i-th component of the k-th group. a k h ( i ) means the dispersal rate of the i-th component from the h-th group to the k-th group. Here, a k h ( i ) = 0 iff there is no dispersal for the i-th component from the h-th group to the k-th group. H k h ( i ) : R m i × R m i × R + R m i is the influence of vertex h on vertex k, W ( · ) is a one-dimensional Brownian motion. For better understanding, we draw a diagraph of four groups with two dispersals, see Figure 1. Here, a 11 ( 1 ) = a 13 ( 1 ) = a 14 ( 1 ) = a 22 ( 1 ) = a 24 ( 1 ) = a 31 ( 1 ) = a 33 ( 1 ) = a 34 ( 1 ) = a 44 ( 1 ) = 0 , a 11 ( 2 ) = a 14 ( 2 ) = a 21 ( 2 ) = a 22 ( 2 ) = a 24 ( 2 ) = a 33 ( 2 ) = a 41 ( 2 ) = a 42 ( 2 ) = a 44 ( 2 ) = 0 .
In this paper, the mathematical models have a number of groups. If we add a controller to every group, it will result in high control cost. As is known, pinning control strategy is an effective technique to reduce the number of controlled groups [14,15,16]. On the other hand, if a large number of groups have unknown partial topological structures or we are only interested in partial topological structures, then pinning control is an efficient technique. Therefore, we will try to use a pinning control mechanism to identify unknown partial topological structures of (1).
It should be mentioned that the Lyapunov method is an efficient tool for studying partial topology identification [17,18,19]. However, it is difficult to construct a suitable global Lyapunov function for (1) due to multiple groups and dispersals. It is inspiring that Li and his co-authors have combined graph theory and the Lyapunov method to build a global Lyapunov function indirectly for coupled systems. At the same time, they use this method to study global stability of coupled systems [20]. This method is called the graph-theoretic method. As far as we know, there are few works about partial topology identification of stochastic multi-group models via the graph-theoretic method.
Motivated by the above discussions, this paper aims to use the graph-theoretic method to identify unknown partial topological structures of stochastic multi-group models with multiple dispersals. The main contributions are as follows.
  • The mathematical model is general, which includes multiple dispersals and stochastic perturbation.
  • The pinning controller is cost-effective and can reduce controlled groups.
  • The graph-theoretic method for partial topology identification is novel.
  • The unknown partial topological structures of stochastic multi-group models with multiple dispersals can be identified successfully.
The remainder of this paper is organized as follows. In Section 2, some preliminaries are displayed. The main results are introduced in Section 3. In Section 4, two numerical examples are used to verify the effectiveness of theoretical results. Conclusions are given in Section 5.

2. Preliminaries

Some Necessary Basic Knowledge of Graph Theory and Stochastic Differential Equations

A directed graph M = ( D , P ) contains a set D = { 1 , 2 , , N } of vertices and a set P of arcs ( i , j ) , in which ( i , j ) is the arc from initial vertex i to terminal vertex j. Given a digraph M with N vertices, we define the weighted matrix U = ( u i j ) N × N whose entry u i j equals the weight of arc ( j , i ) if there is an arc from vertex i to vertex j, and 0 otherwise. The directed graph with weighted matrix U is described as ( M , U ) . The Laplacian matrix L of ( M , U ) is defined as L = ( l i j ) N × N , where l i i = j i u i j , l i j = u i j ( j i ) , 1 i , j N .
Suppose that the coefficients ϕ k ( i ) and ψ k ( i ) of (1) satisfy the local Lipschitz condition and the linear growth condition [21,22]. Then, for initial value x 0 , (1) has a unique continuous solution, which is denoted as x ( t ; x 0 ) . Moreover, if ϕ k ( i ) ( 0 , t ) = 0 , ψ k ( i ) ( 0 , t ) = 0 and H k h ( i ) ( 0 , 0 , t ) = 0 , then (1) admits a trivial solution x ( t ; 0 ) 0 .
We define the differential operator L acting on V k ( i ) C 2 , 1 ( R m i × R + ; R + ) along with the trajectories of (1) as
L V k ( i ) ( x k ( i ) , t ) = V k ( i ) ( x k ( i ) , t ) t + V k ( i ) ( x k ( i ) , t ) x k ( i ) ϕ k ( i ) ( x k ( i ) ( t ) , t ) + h = 1 N a k h ( i ) H k h ( i ) ( x k ( i ) ( t ) , x h ( i ) ( t ) , t ) + 1 2 Trace ψ k ( i ) T ( x k ( i ) ( t ) , t ) 2 V k ( i ) ( x k ( i ) , t ) x k ( i ) 2 ψ k ( i ) ( x k ( i ) ( t ) , t ) ,
where
V k ( i ) ( x k ( i ) , t ) x k ( i ) = V k ( i ) ( x k ( i ) , t ) x k ( i 1 ) , V k ( i ) ( x k ( i ) , t ) x k ( i 2 ) , , V k ( i ) ( x k ( i ) , t ) x k ( i m i ) , 2 V k ( i ) ( x k ( i ) , t ) ( x k ( i ) ) 2 = 2 V k ( i ) ( x k ( i ) , t ) x k ( i p ) x k ( i q ) m i × m i .
Lemma 1
([21]). Assume that there is a function V C 2 , 1 ( R m N × R + ; R + ) , a function ϑ L 1 ( R + ; R + ) and a continuous function ξ : R m N R + such that
lim | x | inf 0 t < V ( x , t ) = ,
and the differential operator L acting on V along with the trajectories of (1) satisfies
L V ( x , t ) ϑ ( t ) ξ ( x ) , ( x , t ) R m N × R + .
Furthermore, ψ k i is bounded for 1 i s , 1 k N . Then, for every initial value x 0 R m N , lim t V ( x ( t ; x 0 ) , t ) exists and is almost surely finite. Moreover,
lim t ξ ( x ( t ; x 0 ) ) = 0 a . s .
Lemma 2
(Theorem 2.2 in [20]). Assume that N 2 . ν k is the cofactor of the k-th diagonal element of L . Then, the following identity holds:
k , h = 1 N ν k a k h F k h ( x k , x h ) = Q Q ω ( Q ) ( s , r ) E ( C Q ) F r s ( x r , x s ) .
Here, F k h ( x k , x h ) , k , h = 1 , 2 , , N are arbitrary functions, Q is the set of all spanning unicyclic graphs of ( G , A ) , ω ( Q ) is the weight of Q , and C Q denotes the directed cycle of Q .

3. Main Results

In this section, we will study the problem of partial topology identification of stochastic multi-group models with multiple dispersals based on adaptive pinning synchronization and the graph-theoretic method.
In order to identify partial topological structures of stochastic multi-group models with multiple dispersals, taking (1) as a drive system, the response system with an adaptive pinning controller is described as
d y k ( i ) ( t ) = ϕ k ( i ) ( y k ( t ) , t ) + h = 1 l b k h ( i ) H k h ( i ) ( y k ( i ) ( t ) , y h ( i ) ( t ) , t ) + h = l + 1 N b k h ( i ) H k h ( i ) ( x k ( i ) ( t ) , x h ( i ) ( t ) , t ) + u k ( i ) ( t ) d t + ψ k ( i ) ( y k ( i ) ( t ) , t ) d W ( t ) , 1 i s , 1 k l .
ψ k ( i ) ( y k ( i ) ( t ) , t ) and ϕ k ( i ) ( y k ( t ) , t ) are the perturbation intensity and function governing the dynamical behavior of the i-th component of the k-th group in the response network, respectively. y k ( i ) = ( y k 1 ( i ) , y k 2 ( i ) , , y k m i ( i ) ) T R m i is the state vector of the i-th component in the k-th group. y k ( t ) = ( ( y k ( 1 ) ( t ) ) T , ( y k ( 2 ) ( t ) ) T , , ( y k ( s ) ( t ) ) T ) T R m denotes the state vector of the k-th group. B ( i ) = ( b k h ( i ) ) l × N represents the estimation of the unknown partial coupling matrix A ( i ) = a k h ( i ) l × N ( 1 i s ) . u k ( i ) is the general adaptive pinning controller. Without loss of generality, it is enough to identify partial topological structures of stochastic multi-group models with multiple dispersals consisting of the front l groups and their dispersals, that is, ( a k h ( i ) ) l × N . Let e ( t ) = y ( t ) x ( t ) = ( e 1 T ( t ) , e 2 T ( t ) , , e l T ( t ) ) T be the synchronization error, where e k ( t ) = y k ( t ) x k ( t ) = ( ( e k ( 1 ) ( t ) ) T , ( e k ( 2 ) ( t ) ) T , , ( e k ( s ) ( t ) ) T ) T ( 1 k l ) . We denote c k h ( i ) = b k h ( i ) a k h ( i ) ( 1 i s , 1 k l , 1 h N ) . The dynamical system of synchronization error between systems (1) and (3) can be written as
d e k ( i ) ( t ) = [ ϕ k ( i ) ( y k ( t ) , t ) ϕ k ( i ) ( x k ( t ) , t ) + h = 1 l b k h ( i ) H k h ( i ) ( y k ( i ) ( t ) , y h ( i ) ( t ) , t ) + h = l + 1 N b k h ( i ) H k h ( i ) ( x k ( i ) ( t ) , x h ( i ) ( t ) , t ) h = 1 N a k h ( i ) H k h ( i ) ( x k ( i ) ( t ) , x h ( i ) ( t ) , t ) + u k ( i ) ( t ) ] d t + [ ψ k ( i ) ( y k ( i ) ( t ) , t ) ψ k ( i ) ( x k ( i ) ( t ) , t ) ] d W ( t ) = [ ϕ k ( i ) ( y k ( t ) , t ) ϕ k ( i ) ( x k ( t ) , t ) + h = 1 l c k h ( i ) H k h ( i ) ( y k ( i ) ( t ) , y h ( i ) ( t ) , t ) + h = 1 l a k h ( i ) H ¯ k h ( i ) ( e k ( i ) ( t ) , e h ( i ) ( t ) , t ) + h = l + 1 N c k h ( i ) H k h ( i ) ( x k ( i ) ( t ) , x h ( i ) ( t ) , t ) + u k ( i ) ( t ) ] d t + [ ψ k ( i ) ( y k ( i ) ( t ) , t ) ψ k ( i ) ( x k ( i ) ( t ) , t ] d W ( t ) , 1 i s , 1 k l ,
where H ¯ k h ( i ) ( e k ( i ) ( t ) , e h ( i ) ( t ) , t ) = H k h ( i ) ( y k ( i ) ( t ) , y h ( i ) ( t ) , t ) H k h ( i ) ( x k ( i ) ( t ) , x h ( i ) ( t ) , t ) .
Suppose that the following conditions hold for each 1 i s and 1 k l .
  • (A1) There are constants α k ( i ) j , 1 j s such that the following inequality holds for any x k , y k R m :
    e k ( i ) T ϕ k ( i ) ( y k , t ) ϕ k ( i ) ( x k , t ) j = 1 s α k ( i ) j e k ( j ) 2 .
  • (A2) Assume that ψ k ( i ) ( y k ( i ) , t ) ψ k ( i ) ( x k ( i ) , t ) is bounded for x k ( i ) , y k ( i ) R m i and there exists a constant β k ( i ) such that
    ψ k ( i ) ( y k ( i ) , t ) ψ k ( i ) ( x k ( i ) , t ) β k ( i ) y k ( i ) x k ( i ) .
  • (A3) There exist positive constants B k h ( i ) and D k h ( i ) such that
    | H ¯ k h ( i ) ( e k ( i ) , e h ( i ) , t ) | B k h ( i ) | e k ( i ) | + D k h ( i ) | e h ( i ) | , e k ( i ) , e h ( i ) R m i .
  • (A4) Suppose that for each i ( 1 i s ) and k ( 1 k l ) , { H k h ( i ) ( y k ( i ) , y h ( i ) , t ) } h = 1 N are linearly independent on the orbit { y h ( i ) ( t ) } h = 1 N of the outer synchronization manifold { x h ( i ) ( t ) = y h ( i ) ( t ) } h = 1 l .
Next, we give some adaptive pinning controller and updating laws for 1 i s , 1 k l .
u k ( i ) ( t ) = d k ( i ) ( t ) e k ( i ) ( t ) ,
d ˙ k ( i ) ( t ) = p k ( i ) e k ( i ) ( t ) T e k ( i ) ( t ) ,
b ˙ k h ( i ) ( t ) = δ k h ( i ) e k ( i ) ( t ) T H k h ( i ) ( y k ( i ) ( t ) , y h ( i ) ( t ) , t ) , 1 h l , η k h ( i ) e k ( i ) ( t ) T H k h ( i ) ( x k ( i ) ( t ) , x h ( i ) ( t ) , t ) , l + 1 h N ,
where p k ( i ) , δ k h ( i ) and η k h ( i ) are arbitrarily positive constants.
Theorem 1.
If (A1)–(A4) hold and ( M , ( a k h ( i ) D k h ( i ) ) l × l ) ( 1 i s ) is strongly connected for each i ( 1 i s ) , then the unknown partial topological structures ( M , ( a k h ( i ) ) l × N ) ( 1 i s ) of coupled network (1) can be identified by ( M , ( b k h ( i ) ) l × N ) ( 1 i s ) under the controller (5) and updating laws (6) with probability one. That is, it holds for each i ( 1 i s ) that
lim t k = 1 l h = 1 N | b k h ( i ) ( t ) a k h ( i ) | = 0 , a . s .
Proof. 
We define
V k ( i ) ( e k ( i ) , t ) = 1 2 e k ( i ) T e k ( i ) + 1 2 h = 1 l c k h ( i ) 2 δ k h ( i ) + 1 2 h = l + 1 N c k h ( i ) 2 η k h ( i ) + 1 2 p k ( i ) d k ( i ) d * 2 ,
in which d * is a large enough positive number. Then, it holds from the definition of differential operator L that
L V k ( i ) ( e k ( i ) ( t ) , t ) = e k ( i ) ( t ) T [ ϕ k ( i ) ( y k ( t ) , t ) ϕ k ( i ) ( x k ( t ) , t ) d k ( i ) ( t ) e k ( i ) ( t ) + h = 1 l c k h ( i ) H k h ( i ) ( y k ( i ) ( t ) , y h ( i ) ( t ) , t ) + h = 1 l a k h ( i ) H ¯ k h ( i ) ( e k ( i ) ( t ) , e h ( i ) ( t ) , t ) + h = l + 1 N c k h ( i ) H k h ( i ) ( x k ( i ) ( t ) , x h ( i ) ( t ) , t ) ] + 1 2 Trace ψ k ( i ) ( y k ( i ) ( t ) , t ) ψ k ( i ) ( x k ( i ) ( t ) , t ) T × ψ k ( i ) ( y k ( i ) ( t ) , t ) ψ k ( i ) ( x k ( i ) ( t ) , t ) h = 1 l c k h ( i ) e k ( i ) ( t ) T H k h ( i ) ( y k ( i ) ( t ) , y h ( i ) ( t ) , t ) h = l + 1 N c k h ( i ) e k ( i ) ( t ) T H k h ( i ) ( x k ( i ) ( t ) , x h ( i ) ( t ) , t ) + d k ( i ) d * e k ( i ) ( t ) T e k ( i ) ( t ) j = 1 s α k ( i ) j e k ( j ) ( t ) 2 + e k ( i ) ( t ) T h = 1 l a k h ( i ) H ¯ k h ( i ) ( e k ( i ) ( t ) , e h ( i ) ( t ) , t ) d * e k ( i ) ( t ) T e k ( i ) ( t ) + 1 2 β k ( i ) 2 e k ( i ) ( t ) 2 j = 1 s α k ( i ) j e k ( j ) ( t ) 2 d * e k ( i ) ( t ) 2 + 1 2 β k ( i ) 2 e k ( i ) ( t ) 2 + h = 1 l a k h ( i ) e k ( i ) ( t ) B k h ( i ) e k ( i ) ( t ) + D k h ( i ) e h ( i ) ( t ) = j = 1 s α k ( i ) j e k ( j ) ( t ) 2 + 1 2 h = 1 l a k h ( i ) D k h ( i ) e h ( i ) ( t ) 2 e k ( i ) ( t ) 2 + h = 1 l a k h ( i ) B k h ( i ) + D k h ( i ) + 1 2 β k ( i ) 2 d * e k ( i ) ( t ) 2 .
We define
V ( e , t ) = k = 1 l i = 1 s λ k ( i ) V k ( i ) ( e k ( i ) , t ) ,
where λ k ( i ) is the cofactor of the k-th diagonal element of the Laplacian matrix of M , a k h ( i ) D k h ( i ) l × l ( 1 i s ) . Then, it is not difficult to derive that
L V ( e ( t ) , t ) = k = 1 l i = 1 s λ k ( i ) L V k ( i ) ( e k ( i ) ( t ) , t ) k = 1 l i = 1 s λ k ( i ) j = 1 s α k ( i ) j e k ( j ) ( t ) 2 + 1 2 k = 1 l i = 1 s λ k ( i ) h = 1 l a k h ( i ) D k h ( i ) e h ( i ) ( t ) 2 e k ( i ) ( t ) 2 + k = 1 l i = 1 s λ k ( i ) h = 1 l a k h ( i ) B k h ( i ) + D k h ( i ) + 1 2 β k ( i ) 2 d * e k ( i ) ( t ) 2 I + I I + I I I .
Now, we calculate two parts, I and I I .
I = k = 1 l j = 1 s λ k ( j ) i = 1 s α k ( j ) i e k ( i ) ( t ) 2 = k = 1 l i = 1 s λ k ( i ) 1 λ k ( i ) j = 1 s λ k ( j ) α k ( j ) i e k ( i ) ( t ) 2 .
According to Lemma 2, it yields
k = 1 l i = 1 s h = 1 l λ k ( i ) a k h ( i ) D k h ( i ) F k h ( i ) ( e k ( i ) ( t ) , e h ( i ) ( t ) ) = i = 1 s Q i Q i ω ( Q i ) ( v , u ) E ( C Q i ) F u v ( i ) ( e u ( i ) ( t ) , e v ( i ) ( t ) ) ,
where Q i is the set of all spanning unicyclic graphs of M , a k h ( i ) D k h ( i ) l × l , ω ( Q i ) is the weight of Q i and C Q i means the directed cycle of Q i . Taking
F k h ( i ) ( e k ( i ) ( t ) , e h ( i ) ( t ) ) = 1 2 e h ( i ) ( t ) 2 e k ( i ) ( t ) 2 ,
it holds that
I I = 1 2 i = 1 s Q i Q i ω ( Q i ) ( u , v ) E ( C Q i ) e u ( i ) ( t ) 2 e v ( i ) ( t ) 2 = 0 .
Then, one can obtain
L V ( e ( t ) , t ) k = 1 l i = 1 s λ k ( i ) 1 λ k ( i ) j = 1 s λ k ( j ) α k ( j ) i e k ( i ) ( t ) 2 + k = 1 l i = 1 s λ k ( i ) h = 1 l a k h ( i ) B k h ( i ) + D k h ( i ) + 1 2 β k ( i ) 2 d * e k ( i ) ( t ) 2 = k = 1 l i = 1 s λ k ( i ) 1 λ k ( i ) j = 1 s λ k ( j ) α k ( j ) i + h = 1 l a k h ( i ) B k h ( i ) + D k h ( i ) + 1 2 β k ( i ) 2 d * e k ( i ) ( t ) 2 .
As d * is large enough, there exists a σ k ( i ) = j = 1 s λ k ( j ) α k ( j ) i / λ k ( i ) + h = 1 l a k h ( i ) B k h ( i ) + D k h ( i ) + β k ( i ) 2 / 2 d * < 0 . Therefore,
L V ( e ( t ) , t ) k = 1 l i = 1 s λ k ( i ) σ k ( i ) e k ( i ) ( t ) 2 ρ e T ( t ) e ( t ) ξ ( e ( t ) ) ,
where ρ > 0 is a constant determined by λ k ( i ) and σ k ( i ) , 1 i s , 1 k l . Furthermore, the above analysis implies that
lim | e | inf 0 t < V ( e , t ) = .
Hence, from Lemma 1, lim t V ( e ; t ) exists and is almost surely finite. It also holds that lim t ξ ( e ( t ) ) = 0 . a . s . By combining LaSalle’s invariance principle, assumption (A4) and error system (4), one can obtain that the set M = { e = 0 , b k h ( i ) = a k h ( i ) , d k ( i ) = d * , 1 i s , 1 k l , 1 h N } is the largest invariant set of M = { ξ ( e ) = 0 } = { e = 0 } . Thus, for any initial value of error system (4), the trajectory asymptotically converges to the M with probability one [21]. It is proved that stochastic multi-group models with multiple dispersals (1) and (3) asymptotically achieve complete outer synchronization under an adaptive controller (5) and updating laws (6). Furthermore, the unknown multiple topological structures M , a k h ( i ) l × N ( 1 i s ) have been successfully identified by M , b k h ( i ) l × N ( 1 i s ) with probability one, which completes this proof. □
Remark 1.
It is well-known that the Lyapunov method plays a significant role in the study of partial topology identification [17,18,19]. However, multiple dispersals and stochastic disturbances are considered in this paper, which makes mathematical models more complex. Hence, it is difficult to construct a global Lyapunov function directly for multi-group models. Motivated by [20,23,24], we construct a global Lyapunov function by the weighted summation of vertex Lyapunov functions V k i in the form of V = k = 1 l i = 1 s λ k i V k i . Here, λ k ( i ) is the cofactor of the k-th diagonal element of the Laplacian matrix of M , a k h ( i ) D k h ( i ) l × l ( 1 i s ) . Obviously, this method is closely related to topological structures of networks. It is always called the graph-theoretic method since this method uses some results of graph theory. The method can be applied to study dynamic behavior of many other networks. For example, in [20], the authors use the graph-theoretic method to study stability of single-species ecological models with dispersal. The global-stability result they obtained is stronger than those in [25,26]. Moreover, the global asymptotic stability of coupled oscillators and multi-patch predator–prey models can also be obtained by using the graph-theoretic method.
Remark 2.
Though the adaptive control method can realize topology identification of multi-group models, it needs to add a controller to every group [27,28]. However, in this paper, the model includes a great number of groups. Adding controllers to all groups is sometimes difficult to implement and the control costs may be higher. Therefore, the proposed pinning control of this paper is useful. On the one hand, it can reduce control costs because only a small fraction of groups need to be controlled. On the other hand, it is more feasible that one can only add controllers to groups of interest to identify the corresponding unknown topological structures.
When l = N , we can obtain the whole topology identification. In detail, the corresponding response system of drive system (1) can be characterized by
d y k ( i ) ( t ) = ϕ k ( i ) ( y k ( t ) , t ) + h = 1 N b k h ( i ) H k h ( i ) ( y k ( i ) ( t ) , y h ( i ) ( t ) , t ) + u k ( i ) ( t ) d t + ψ k ( i ) ( y k ( i ) ( t ) , t ) d W ( t ) , 1 i s , 1 k N .
Then, the error system between drive system (1) and response system (10) can be denoted by
d e k ( i ) ( t ) = [ ϕ k ( i ) ( y k ( t ) , t ) ϕ k ( i ) ( x k ( t ) , t ) + h = 1 N b k h ( i ) H k h ( i ) ( y k ( i ) ( t ) , y h ( i ) ( t ) , t ) h = 1 N a k h ( i ) H k h ( i ) ( x k ( i ) ( t ) , x h ( i ) ( t ) , t ) + u k ( i ) ( t ) ] d t + ψ k ( i ) ( y k ( i ) ( t ) , t ) ψ k ( i ) ( x k ( i ) ( t ) , t ) d W ( t ) , 1 i s , 1 k N .
The adaptive controller and updating laws for 1 i s , 1 k N are given as follows:
u k ( i ) ( t ) = d k ( i ) ( t ) e k ( i ) ( t ) , d ˙ k ( i ) ( t ) = p k ( i ) e k ( i ) ( t ) T e k ( i ) ( t ) ,
b ˙ k h ( i ) ( t ) = δ k h ( i ) e k ( i ) ( t ) T H k h ( i ) ( y k ( i ) ( t ) , y h ( i ) ( t ) , t ) , 1 h N ,
where p k ( i ) a n d δ k h ( i ) are arbitrarily positive constants. Then, we obtain the following corollary.
Corollary 1.
If (A1)–(A4) hold and ( M , ( a k h ( i ) D k h ( i ) ) N × N ) ( 1 i s ) is strongly connected for each i ( 1 i s ) , then the unknown whole topological structures ( M , ( a k h ( i ) ) N × N ) ( 1 i s ) of coupled network (1) can be identified by ( M , ( b k h ( i ) ) N × N ) ( 1 i s ) under the controller (12) and updating laws (13). That is, it holds for each i ( 1 i s ) that
lim t k = 1 N h = 1 N | b k h ( i ) ( t ) a k h ( i ) | = 0 , a . s .
The proof is similar to Theorem 1 and we omit it here.
If H k h ( i ) ( x k ( i ) ( t ) , x h ( i ) ( t ) , t ) = Γ i x h ( i ) ( t ) , then the corresponding whole topology identification result can be found in [27]. Therefore, the mathematical model of this paper is more general. Moreover, theoretical results of this paper are common, where both partial topology identification and whole topology identification can be obtained.

4. Simulation Results

In this section, two simulation examples are given to verify the validity of theoretical results. We use the Lorenz system to describe the dynamic of each group. Obviously, the Lorenz system satisfies (A1) [29].
Example 1.
We consider a general coupled systems with four groups and three kinds of diffusion. The drive system can be put into the following form:
d x k ( i ) ( t ) = ϕ k ( i ) ( x k ( t ) , t ) + h = 1 4 a k h ( i ) Γ i x h ( i ) ( t ) d t + ψ k ( i ) ( x k ( i ) ( t ) , t ) d W ( t ) , i = 1 , 2 , 3 , k = 1 , 2 , 3 , 4 ,
where x k ( t ) = ( x k ( 1 ) ( t ) , x k ( 2 ) ( t ) , x k ( 3 ) ( t ) ) T ,   Γ 1 = Γ 2 = Γ 3 = d i a g 0.1 , 0.1 , 0.1 .
  • ϕ k ( 1 ) ( x k ( t ) , t ) = 10 x k ( 1 ) ( t ) x k ( 2 ) ( t ) , ψ k ( 1 ) ( x k ( 1 ) ( t ) , t ) = 0.5 sin x k ( 1 ) ( t ) ;
  • ϕ k ( 2 ) ( x k ( t ) , t ) = 28 x k ( 1 ) ( t ) x k ( 2 ) ( t ) x k ( 1 ) ( t ) x k ( 3 ) ( t ) , ψ k ( 2 ) ( x k ( 2 ) ( t ) , t ) = 0.3 cos x k ( 2 ) ( t ) ;
  • ϕ k ( 3 ) ( x k ( t ) , t ) = x k ( 1 ) ( t ) x k ( 2 ) ( t ) 8 x k ( 3 ) ( t ) / 3 , ψ k ( 3 ) ( x k ( 3 ) ( t ) , t ) = 0.1 cos x k ( 3 ) ( t ) .
Some weights a k h ( i ) of configuration matrices A ( i ) = ( a k h ( i ) ) 4 × 4 ( i = 1 , 2 , 3 , k = 1 , 2 , 3 , 4 ) can be arbitrarily selected as
  • a 12 ( 1 ) = a 34 ( 1 ) = a 43 ( 1 ) = a 24 ( 2 ) = a 31 ( 2 ) = a 24 ( 3 ) = 1 ; a 13 ( 1 ) = a 21 ( 1 ) = a 34 ( 2 ) = a 12 ( 3 ) = a 34 ( 3 ) = a 43 ( 3 ) = 2 ;
  • a 32 ( 1 ) = a 41 ( 1 ) = a 12 ( 2 ) = a 43 ( 2 ) = a 31 ( 3 ) = 3 ; a 42 ( 1 ) = a 21 ( 2 ) = 4 ;
    the other values are set as 0. Without loss of generality, we add controllers to the first two groups. Then, we only need to identify partial weight configuration matrices A ¯ ( i ) = ( a k h ( i ) ) 2 × 4 ( i = 1 , 2 , 3 , k = 1 , 2 , h = 1 , 2 , 3 , 4 ) . Accordingly, the response system with an adaptive pinning controller can be denoted by
d y k ( i ) ( t ) = ϕ k ( i ) ( y k ( t ) , t ) + h = 1 2 b k h ( i ) Γ i y h ( i ) ( t ) + h = 3 4 b k h ( i ) Γ i x h ( i ) ( t ) + u k ( i ) ( t ) d t + ψ k ( i ) ( y k ( i ) ( t ) , t ) d W ( t ) , i = 1 , 2 , 3 , k = 1 , 2 .
We define e k ( i ) ( t ) = y k ( i ) ( t ) x k ( i ) ( t ) ( i = 1 , 2 , 3 , k = 1 , 2 ) . Then, the error system between (14) and (15) can be shown as
d e k ( i ) ( t ) = [ ϕ k ( i ) ( y k ( t ) , t ) ϕ k ( i ) ( x k ( t ) , t ) + h = 1 2 c k h ( i ) H k h ( i ) ( y k ( i ) ( t ) , y h ( i ) ( t ) , t ) + h = 1 2 a k h ( i ) H ¯ k h ( i ) ( e k ( i ) ( t ) , e h ( i ) ( t ) , t ) + u k ( i ) ( t ) + h = 3 4 c k h ( i ) H k h ( i ) ( x k ( i ) ( t ) , x h ( i ) ( t ) , t ) ] d t + [ ψ k ( i ) ( y k ( i ) ( t ) , t ) ψ k ( i ) ( x k ( i ) ( t ) , t ] d W ( t ) , i = 1 , 2 , 3 , k = 1 , 2 .
Available from Theorem 1, three weight configuration matrices A ¯ ( i ) = ( a k h ( i ) ) 2 × 4 can be estimated by B ( i ) = ( b k h ( i ) ) 2 × 4 under the following controller and updating laws for i = 1 , 2 , 3 , k = 1 , 2 .
u k ( i ) ( t ) = d k ( i ) ( t ) e k ( i ) ( t ) , d ˙ k ( i ) ( t ) = p k ( i ) e k ( i ) ( t ) T e k ( i ) ( t ) ,
b ˙ k h ( i ) ( t ) = δ k h ( i ) e k ( i ) ( t ) T Γ i y h ( i ) ( t ) , h = 1 , 2 , η k h ( i ) e k ( i ) ( t ) T Γ i x h ( i ) ( t ) , h = 3 , 4 .
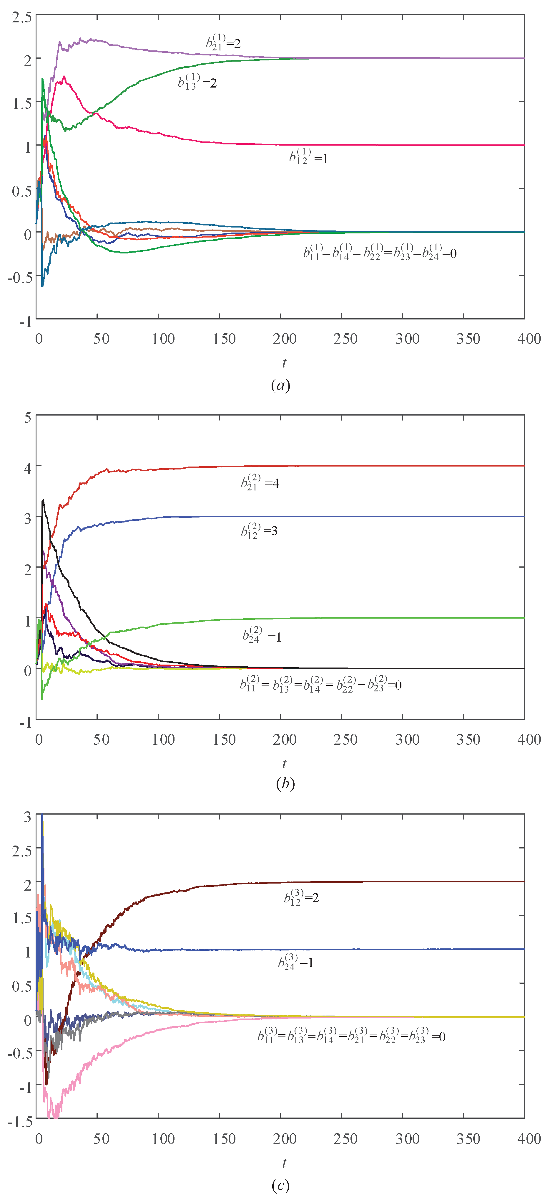
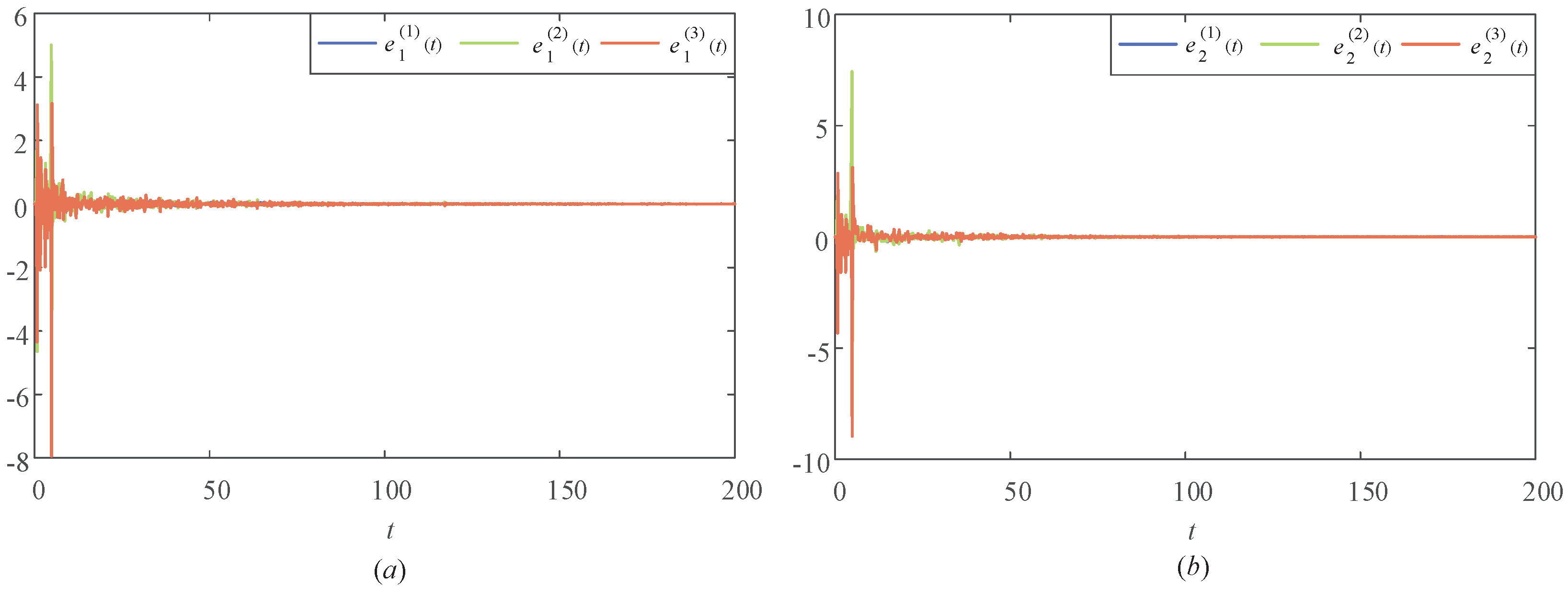
Taking d 1 ( i ) = 1 , d 2 ( i ) = 2 , x k ( i ) ( 0 ) = y k ( i ) ( 0 ) = 0 , p k ( i ) = δ k h ( i ) = η k h ( i ) = 1 , b k h ( i ) ( 0 ) = 0.1 , ( i = 1 , 2 , 3 , k = 1 , 2 , h = 1 , 2 , 3 , 4 ) , we can obtain some simulations. The synchronization error for drive system (14) and response system (15) are shown in Figure 2. Figure 2a shows the synchronization error of the first group and Figure 2b shows the synchronization error of the second group. Apparently, all of the error curves approach 0 over time, which means the drive–response systems can reach synchronization. Figure 3 gives time evolution of b k h ( i ) ( i = 1 , 2 , 3 , k = 1 , 2 , h = 1 , 2 , 3 , 4 ) in system (15). Figure 3a shows the identification results of b k h ( 1 ) ( k = 1 , 2 , h = 1 , 2 , 3 , 4 ) . It is observed that the curves stabilize at three constants: 2 for b k h ( 1 ) and b 21 ( 1 ) , 1 for b 12 ( 1 ) and 0 for b 11 ( 1 ) , b 14 ( 1 ) , b 22 ( 1 ) , b 23 ( 1 ) , b 24 ( 1 ) . Figure 3b shows the identification results of b k h ( 2 ) ( k = 1 , 2 , h = 1 , 2 , 3 , 4 ) . One can see that b 21 ( 2 ) tends to 4, b 12 ( 2 ) tends to 3, b 24 ( 2 ) tends to 1 and b 11 ( 2 ) , b 13 ( 2 ) , b 14 ( 2 ) , b 22 ( 2 ) , b 23 ( 2 ) tend to 0. Figure 3c shows the identification results of b k h ( 3 ) ( k = 1 , 2 , h = 1 , 2 , 3 , 4 ) . As we can see, curve b 12 ( 3 ) converges to 2, curve b 24 ( 3 ) converges to 1 and curves b 11 ( 3 ) , b 13 ( 3 ) , b 14 ( 3 ) , b 21 ( 3 ) , b 22 ( 3 ) , b 23 ( 3 ) converge to 0. Therefore, all of the curves of b k h ( i ) ( i = 1 , 2 , 3 , k = 1 , 2 , h = 1 , 2 , 3 , 4 ) can converge to a real value, which implies the partial topology identification is successful.
Example 2.
In this example, we suppose that the network structure obeys the small-world algorithm proposed by Newman and Watts [30]. Consider system (14) consisting of eight groups and the number of pinned groups is the same as the above example. For a better view, the topological structures are demonstrated in Figure 4, in which Figure 4a obeys the small-world algorithm with parameters ( N = 8 , K = 2 , P = 0.1 ) , Figure 4b obeys the small-world algorithm with parameters ( N = 8 , K = 2 , P = 0.2 ) , Figure 4c obeys the small-world algorithm with parameters ( N = 8 , K = 2 , P = 0.3 ) . Therein,
a 12 ( 1 ) = a 13 ( 1 ) = a 17 ( 1 ) = a 18 ( 1 ) = a 21 ( 1 ) = a 23 ( 1 ) = a 24 ( 1 ) = a 28 ( 1 ) = a 31 ( 1 ) = a 32 ( 1 ) = a 34 ( 1 ) = a 35 ( 1 ) = a 36 ( 1 ) = a 42 ( 1 ) = a 43 ( 1 ) = a 45 ( 1 ) = a 46 ( 1 ) = a 53 ( 1 ) = a 54 ( 1 ) = a 56 ( 1 ) = a 57 ( 1 ) = a 63 ( 1 ) = a 64 ( 1 ) = a 65 ( 1 ) = a 67 ( 1 ) = a 67 ( 1 ) = a 68 ( 1 ) = a 71 ( 1 ) = a 75 ( 1 ) = a 76 ( 1 ) = a 78 ( 1 ) = a 81 ( 1 ) = a 82 ( 1 ) = a 86 ( 1 ) = a 87 ( 1 ) = 1 ; a 12 ( 2 ) = a 13 ( 2 ) = a 14 ( 2 ) = a 17 ( 2 ) = a 18 ( 2 ) = a 21 ( 2 ) = a 24 ( 2 ) = a 24 ( 2 ) = a 28 ( 2 ) = a 31 ( 2 ) = a 32 ( 2 ) = a 34 ( 2 ) = a 35 ( 2 ) = a 38 ( 2 ) = a 41 ( 2 ) = a 42 ( 2 ) = a 43 ( 2 ) = a 45 ( 2 ) = a 46 ( 2 ) = a 47 ( 2 ) = a 53 ( 2 ) = a 54 ( 2 ) = a 56 ( 2 ) = a 57 ( 2 ) = a 64 ( 2 ) = a 65 ( 2 ) = a 67 ( 2 ) = a 68 ( 2 ) = a 71 ( 2 ) = a 74 ( 2 ) = a 75 ( 2 ) = a 76 ( 2 ) = a 78 ( 2 ) = a 81 ( 2 ) = a 82 ( 2 ) = a 83 ( 2 ) = a 86 ( 2 ) = a 87 ( 2 ) = 1 ; a 12 ( 3 ) = a 13 ( 3 ) = a 15 ( 3 ) = a 17 ( 3 ) = a 17 ( 3 ) = a 18 ( 3 ) = a 21 ( 3 ) = a 23 ( 3 ) = a 24 ( 3 ) = a 25 ( 3 ) = a 28 ( 3 ) = a 31 ( 3 ) = a 32 ( 3 ) = a 34 ( 3 ) = a 35 ( 3 ) = a 42 ( 3 ) = a 43 ( 3 ) = a 45 ( 3 ) = a 46 ( 3 ) = a 51 ( 3 ) = a 52 ( 3 ) = a 53 ( 3 ) = a 54 ( 3 ) = a 56 ( 3 ) = a 57 ( 3 ) = a 58 ( 3 ) = a 61 ( 3 ) = a 64 ( 3 ) = a 65 ( 3 ) = a 67 ( 3 ) = a 68 ( 3 ) = a 71 ( 3 ) = a 75 ( 3 ) = a 76 ( 3 ) = a 78 ( 3 ) = a 81 ( 3 ) = a 82 ( 3 ) = a 85 ( 3 ) = a 86 ( 3 ) = a 87 ( 3 ) = 1 .
The other a k h ( i ) = 0 . Moreover, some parameters are arbitrarily set as follows: x 1 ( i ) ( 0 ) = 0.2 , x 2 ( i ) ( 0 ) = 0.3 , x 3 ( i ) ( 0 ) = 0.1 , x 4 ( i ) ( 0 ) = 0.6 , x 5 ( i ) ( 0 ) = 0.2 , x 6 ( i ) ( 0 ) = 0.2 , x 7 ( i ) ( 0 ) = 0.3 , x 8 ( i ) ( 0 ) = 0.4 , y 1 ( i ) ( 0 ) = 0.8 , y 2 ( i ) ( 0 ) = 0.7 , d 1 ( i ) = 1.5 , d 2 ( i ) = 1 , b k h ( i ) ( 0 ) = 1 , ( i = 1 , 2 , 3 , k = 1 , 2 , h = 1 , 2 , , 8 ) . The other parameters are the same as the above example.
Under the same conditions as the above example, one can obtain that all assumptions of Theorem 1 are satisfied. This implies that three weight configuration matrices A ¯ ( i ) = ( a k h ( i ) ) 2 × 8 can be estimated by B ( i ) = ( b k h ( i ) ) 2 × 8 under the controller and updating laws (17) and (18) for i = 1 , 2 , 3 , k = 1 , 2 , h = 1 , 2 , , 8 .
Figure 5 shows the simulation results of B ( i ) = ( b k h ( i ) ) 2 × 8 ( i = 1 , 2 , 3 , k = 1 , 2 , h = 1 , 2 , , 8 ) . It is obvious that all curves stabilize at real values, which means the partial topology identification is successful.

5. Conclusions

In summary, the contents of this paper have four aspects.
(1)
In the model, multi-group models, multiple dispersals and stochastic disturbances are considered.
(2)
By using the graph-theoretic method, one can indirectly construct a global Lyapunov function for stochastic multi-group models with multiple dispersals. Especially, this method can be used to investigate many dynamic behaviors of large-scale complex networks, such as stability of coupled oscillators and multi-patch predator–prey models.
(3)
The unknown partial topological structures of stochastic multi-group models can be identified successfully by using pinning control.
(4)
Through numerical examples, one can see that the theoretical results obtained in this paper are valid.
In this paper, the noise is white noise. However, color noise also exists in real applications. Therefore, the partial topology identification of multi-group models with color noise will be one of the future works.

Author Contributions

Conceptualization, C.Z. and D.X.; methodology, C.Z. and H.C.; validation, N.G.; formal analysis, H.Y.; investigation, R.L.; writing—original draft preparation, C.Z. and D.X.; writing—review and editing, H.C., H.Y., R.L. and N.G. All authors have read and agreed to the published version of the manuscript.

Funding

This work was supported by the Central Government Funds for Guiding Local Scientific and Technological Development (No. 2021ZYD0010) and the Fundamental Research Funds for the Central Universities (No. 2682020ZT109).

Institutional Review Board Statement

Not applicable.

Informed Consent Statement

Not applicable.

Data Availability Statement

The data presented in this study are available in the article.

Conflicts of Interest

The authors do not have any conflict of interest.

Nomenclature

R + positive real number.
R n n—dimensional Euclidean space.
R m × n the set of m × n real matrices.
E ( · ) the mathematical expectation.
T the transpose of a matrix or vector.
L p ( R + ; R + ) the family of R + —valued random variable y with E ( | y | p ) < .
C 2 , 1 ( R n × R + ; R + ) the family of all nonnegative functions V(x, t) on R n × R + that are continuously twice differentiable in x and once in t.
( Ω , F , { F t } t 0 , P ) a complete probability space with a filtration { F t } t 0 satisfying the usual conditions, i.e., it is right continuous and F0 contains all P-null sets.

References

  1. Huang, G.; Wang, J.L.; Zu, J. Global dynamics of multi-group dengue disease model with latency distributions. Math. Methods Appl. Sci. 2015, 38, 2703–2718. [Google Scholar] [CrossRef]
  2. Liu, Z.J.; Hu, J.; Wang, L.W. Modelling and analysis of global resurgence of mumps: A multi-group epidemic model with asymptomatic infection, general vaccinated and exposed distributions. Nonlinear Anal. Real World Appl. 2017, 37, 137–161. [Google Scholar] [CrossRef]
  3. Ding, D.Q.; Ding, X.H. Global stability of multi-group vaccination epidemic models with delays. Nonlinear Anal. Real World Appl. 2011, 12, 1991–1997. [Google Scholar] [CrossRef]
  4. Shen, M.W.; Xiao, Y.N. Global stability of a multi-group SVEIR epidemiological model with the vaccination age and infection age. Acta Appl. Math. 2016, 144, 137–157. [Google Scholar] [CrossRef]
  5. Liu, Y.; Liu, A.R.; Li, W.X. Synchronized stationary distribution of stochastic multi-group models with dispersal. Neural Comput. Appl. 2020, 32, 5001–5013. [Google Scholar] [CrossRef]
  6. Liu, Y.; Yu, P.R.; Chu, D.H.; Su, H. Stationary distribution of stochastic multi-group models with dispersal and telegraph noise. Nonlinear Anal. Hybrid Syst. 2019, 33, 93–103. [Google Scholar] [CrossRef]
  7. Chen, G.C.; Wei, F.; Wang, W.B. Finite-time stabilization for stochastic interval systems with time delay and application to energy-storing electrical circuits. Electronics 2019, 8, 175. [Google Scholar] [CrossRef] [Green Version]
  8. Wu, Y.B.; Shen, B.; Ahn, C.K.; Li, W.X. Intermittent dynamic event-triggered control for synchronization of stochastic complex networks. IEEE Trans. Circuits Syst. I Regul. Pap. 2021, 68, 2639–2650. [Google Scholar] [CrossRef]
  9. Wu, Y.B.; Chen, B.D.; Li, W.X. Synchronization of stochastic coupled systems via feedback control based on discrete-time state observations. Nonlinear Anal. Hybrid Syst. 2017, 26, 68–85. [Google Scholar] [CrossRef]
  10. Wu, Y.B.; Wang, Y.; Gunasekaran, N.; Vadivel, R. Almost sure consensus of multi-agent systems: An intermittent noise. IEEE Trans. Circuits Syst. II Express Briefs 2022, 69, 2897–2901. [Google Scholar] [CrossRef]
  11. Guo, Y.; Li, Y.J.; Ding, X.H. Global exponential stability of multi-group models with multiple dispersal and stochastic perturbation based on graph-theoretic approach. Filomat 2017, 31, 5125–5138. [Google Scholar] [CrossRef] [Green Version]
  12. Luo, T.J. Stabilization of multi-group models with multiple dispersal and stochastic perturbation via feedback control based on discrete-time state observations. Appl. Math. Comput. 2019, 354, 396–410. [Google Scholar] [CrossRef]
  13. Guo, Y.; Ding, X.H.; Li, Y.J. Stochastic stability for pantograph multi-group models with dispersal and stochastic perturbation. J. Frankl. Inst. Eng. Appl. Math. 2016, 353, 2980–2998. [Google Scholar] [CrossRef]
  14. Li, X.J.; Yang, G.H. Fuzzy approximation-based global pinning synchronization control of uncertain complex dynamical networks. IEEE Trans. Cybern. 2017, 47, 873–883. [Google Scholar] [CrossRef]
  15. Liu, H.; Li, J.; Li, Z.Y.; Zeng, Z.G.; Lv, J.H. Intralayer synchronization of multiplex dynamical networks via pinning impulsive control. IEEE Trans. Cybern. 2022, 52, 2110–2122. [Google Scholar] [CrossRef]
  16. Liu, L.F.; Liu, K.; Xiang, H.Y.; Liu, Q. Pinning impulsive cluster synchronization of complex dynamical network. Physical A 2020, 545, 123580. [Google Scholar] [CrossRef]
  17. Li, Z.M.; Ma, W.Y.; Ma, N.R. Partial topology identification of tempered fractional-order complex networks via synchronization method. Math. Methods Appl. Sci. 2021. [Google Scholar] [CrossRef]
  18. Zhu, S.B.; Zhou, J.; Lu, J.A. Identifying partial topology of complex dynamical networks via a pinning mechanism. Chaos 2018, 28, 043108. [Google Scholar] [CrossRef]
  19. Xu, J.Q.; Zhang, J.X.; Tang, W.S. Paremeters and structure identification of complex delayed networks via pinning control. Trans. Inst. Meas. Control. 2013, 35, 619–624. [Google Scholar] [CrossRef]
  20. Li, M.Y.; Shuai, Z.S. Global-stability problem for coupled systems of differential equations on networks. J. Differ. Equ. 2010, 248, 1–20. [Google Scholar] [CrossRef] [Green Version]
  21. Mao, X.R. Stochastic Versions of the LaSalle Theorem. J. Differ. Equ. 1999, 153, 175–195. [Google Scholar] [CrossRef] [Green Version]
  22. Mao, X.R. Stochastic Differential Eqauations and Applications, 2nd ed.; Horwood Publishing: Chichester, UK, 2007. [Google Scholar]
  23. Zhang, C.M.; Shi, L. Graph-theoretic method on the periodicity of coupled predator-prey systems with infinite delays on a dispersal network. Phys. A 2021, 561, 125255. [Google Scholar] [CrossRef]
  24. Chen, H.L.; Zhang, C.M.; Xu, Q.; Feng, Y.L. Graph-theoretic method on topology identification of stochastic multi-weighted complex networks with time-varying delayed coupling based on adaptive synchronization. Neural Process. Lett. 2022, 54, 181–205. [Google Scholar] [CrossRef]
  25. Beretta, E.; Takeuchi, Y. Global stability of single-species diffusion Volterra models with continous time delay. Bull. Math. Biol. 1987, 49, 431–448. [Google Scholar] [CrossRef]
  26. Lu, Z.; Takeuvhi, Y. Global asymptotic behavior in single-species discrete diffusion systems. J. Math. Biol. 1993, 32, 67–77. [Google Scholar] [CrossRef]
  27. Xia, D.; Zhang, C.M.; Yao, X.P.; Chen, H.L. A graph-theoretic approach to topology identification of stochastic multi-group models with multiple dispersal. J. Shanghai Norm. Univ. Natural Sci. 2021, 20, 301–319. [Google Scholar]
  28. Yao, X.P.; Xia, D.; Zhang, C.M. Topology identification of multi-weighted complex networks based on adaptive synchronization: A graph-theoretic approach. Math. Methods Appl. Sci. 2021, 44, 1570–1584. [Google Scholar] [CrossRef]
  29. Lu, J.H.; Chen, G.R. A new chaotic attractor coined. Int. J. Bifurc. Chaos 2002, 12, 659–661. [Google Scholar] [CrossRef]
  30. Watts, D.; Strogatz, S. Collective dynamics of ‘small-world’ networks. Nature 1998, 393, 440–442. [Google Scholar] [CrossRef]
Figure 1. A four-group diagraph for model (1) with two dispersals.
Figure 1. A four-group diagraph for model (1) with two dispersals.
Fractalfract 06 00371 g001
Figure 2. Some sample paths of synchronization error for drive system (14) and response system (15).
Figure 2. Some sample paths of synchronization error for drive system (14) and response system (15).
Fractalfract 06 00371 g002
Figure 3. The identification of coupling configuration matrices A ¯ ( i ) ( i = 1 , 2 , 3 ) in (14).
Figure 3. The identification of coupling configuration matrices A ¯ ( i ) ( i = 1 , 2 , 3 ) in (14).
Fractalfract 06 00371 g003
Figure 4. Topological structures of a small-world network with 8 vertices.
Figure 4. Topological structures of a small-world network with 8 vertices.
Fractalfract 06 00371 g004
Figure 5. The identification of coupling configuration matrices A ¯ ( i ) ( i = 1 , 2 , 3 ) .
Figure 5. The identification of coupling configuration matrices A ¯ ( i ) ( i = 1 , 2 , 3 ) .
Fractalfract 06 00371 g005
Publisher’s Note: MDPI stays neutral with regard to jurisdictional claims in published maps and institutional affiliations.

Share and Cite

MDPI and ACS Style

Zhang, C.; Xia, D.; Chen, H.; Yang, H.; Li, R.; Gunasekaran, N. Identifying Partial Topological Structures of Stochastic Multi-Group Models with Multiple Dispersals via Graph-Theoretic Method. Fractal Fract. 2022, 6, 371. https://doi.org/10.3390/fractalfract6070371

AMA Style

Zhang C, Xia D, Chen H, Yang H, Li R, Gunasekaran N. Identifying Partial Topological Structures of Stochastic Multi-Group Models with Multiple Dispersals via Graph-Theoretic Method. Fractal and Fractional. 2022; 6(7):371. https://doi.org/10.3390/fractalfract6070371

Chicago/Turabian Style

Zhang, Chunmei, Dan Xia, Huiling Chen, Hui Yang, Ran Li, and Nallappan Gunasekaran. 2022. "Identifying Partial Topological Structures of Stochastic Multi-Group Models with Multiple Dispersals via Graph-Theoretic Method" Fractal and Fractional 6, no. 7: 371. https://doi.org/10.3390/fractalfract6070371

APA Style

Zhang, C., Xia, D., Chen, H., Yang, H., Li, R., & Gunasekaran, N. (2022). Identifying Partial Topological Structures of Stochastic Multi-Group Models with Multiple Dispersals via Graph-Theoretic Method. Fractal and Fractional, 6(7), 371. https://doi.org/10.3390/fractalfract6070371

Article Metrics

Back to TopTop