Impact of Al2O3 in Electrically Conducting Mineral Oil-Based Maxwell Nanofluid: Application to the Petroleum Industry
Abstract
:1. Introduction
2. Mathematical Formulation
2.1. Flow Configuration and Governing Equations
2.2. Non-Dimensional Modeling
3. Numerical Scheme
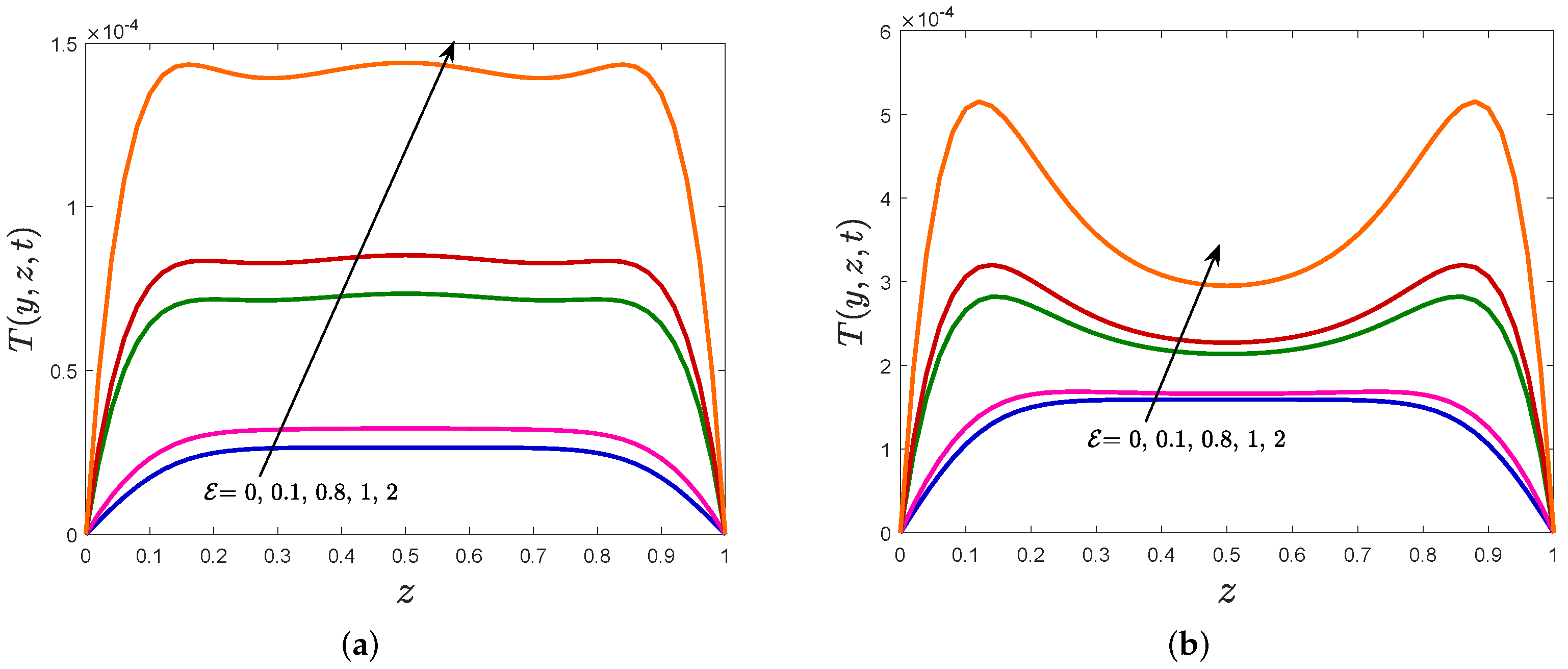
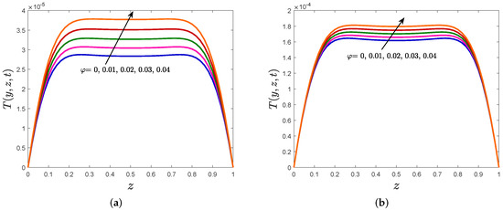
4. Results and Discussion
5. Conclusions
- Small values of the nanoparticle volume fraction and the magnetic parameter may often predict Maxwell fluid flow augmentation.
- The relaxation time parameter increases the amplitude of the velocity.
- To manifest a surface heat enhancement, the nanoparticle volume fraction, magnetic number, thermal radiation, and viscous dissipation parameters must all be substantial.
Author Contributions
Funding
Institutional Review Board Statement
Informed Consent Statement
Data Availability Statement
Acknowledgments
Conflicts of Interest
References
- Feynman, R. There is plenty of room at the bottom: An invitation to enter a new field of physics. Presented at the Lecture at American Physical Society Meeting, Pasadena, CA, USA, 29 December 1959. [Google Scholar]
- Salata, O.V. Applications of nanoparticles in biology and medicine. J. Nanobiotechnol. 2004, 2, 3. [Google Scholar] [CrossRef] [PubMed] [Green Version]
- Masuda, H.; Ebata, A.; Teramae, K. Alteration of thermal conductivity and viscosity of liquid by dispersing ultra-fine particles. Dispersion of Al2O3, SiO2 and TiO2 ultra-fine particles. J-STAGE 1993, 7, 227–233. [Google Scholar] [CrossRef]
- Choi, U.S.U.; Eastman, J.A. Enhancing thermal conductivity of fluids with nanoparticles. In Proceedings of the International Mechanical Engineering Congress and Exhibition, San Francisco, CA, USA, 12–17 November 1995. [Google Scholar]
- Islam, T.; Yavuz, M.; Parveen, N.; Fayz-Al-Asad, M. Impact of Non-Uniform Periodic Magnetic Field on Unsteady Natural Convection Flow of Nanofluids in Square Enclosure. Fractal Fract. 2022, 6, 101. [Google Scholar] [CrossRef]
- Wakif, A.; Boulahia, Z.; Ali, F.; Eid, M.R.; Sehaqui, R. Numerical analysis of the unsteady natural convection MHD Couette nanofluid flow in the presence of thermal radiation using single and two-phase nanofluid models for Cu–water nanofluids. Int. J. Appl. Comput. Math. 2018, 4, 81. [Google Scholar] [CrossRef]
- Xia, W.-F.; Khan, M.I.; Khan, S.U.; Shah, F.; Khan, M.I. Dynamics of unsteady reactive flow of viscous nanomaterial subject to Ohmic heating, heat source and viscous dissipation. Ain Shams Eng. J. 2021, 12, 3997–4005. [Google Scholar] [CrossRef]
- Hanif, H.; Khan, I.; Shafie, S.; Khan, W.A. Heat Transfer in Cadmium Telluride-Water Nanofluid over a Vertical Cone under the Effects of Magnetic Field inside Porous Medium. Processes 2020, 8, 7. [Google Scholar] [CrossRef] [Green Version]
- Shi, Y.; Abidi, A.; Khetib, Y.; Zhang, L.; Sharifpur, M.; Cheraghian, G. The computational study of nanoparticles shape effects on thermal behavior of H2O-Fe nanofluid: A molecular dynamics approach. J. Mol. Liq. 2022, 346, 117093. [Google Scholar] [CrossRef]
- Hanif, H. A finite difference method to analyze heat and mass transfer in kerosene based γ-oxide nanofluid for cooling applications. Phys. Scr. 2021, 96, 095215. [Google Scholar] [CrossRef]
- Mallakpour, S.; Khadem, E. Recent development in the synthesis of polymer nanocomposites based on nano-alumina. Prog. Polym. Sci. 2015, 51, 74–93. [Google Scholar] [CrossRef]
- Haridas, D.; Rajput, N.S.; Srivastava, A. Interferometric study of heat transfer characteristics of Al2O3 and SiO2-based dilute nanofluids under simultaneously developing flow regime in compact channels. Int. J. Heat Mass Transf. 2015, 88, 713–727. [Google Scholar] [CrossRef]
- Animasaun, I.L. 47 nm alumina–water nanofluid flow within boundary layer formed on upper horizontal surface of paraboloid of revolution in the presence of quartic autocatalysis chemical reaction. Alex. Eng. J. 2016, 55, 2375–2389. [Google Scholar] [CrossRef] [Green Version]
- Kabeel, A.; Abdelgaied, M. Study on the effect of alumina nano-fluid on sharp-edge orifice flow characteristics in both cavitations and non-cavitations turbulent flow regimes. Alex. Eng. J. 2016, 55, 1099–1106. [Google Scholar] [CrossRef] [Green Version]
- Hawwash, A.; Abdel-Rahman, A.K.; Ookawara, S.; Nada, S. Experimental study of alumina nanofluids effects on thermal performance efficiency of flat plate solar collectors. J. Eng. Technol. (JET) 2016, 4, 123–131. [Google Scholar]
- Sheikholeslami, M.; Ebrahimpour, Z. Thermal improvement of linear Fresnel solar system utilizing Al2O3-water nanofluid and multi-way twisted tape. Int. J. Therm. Sci. 2022, 176, 107505. [Google Scholar] [CrossRef]
- Bahari, N.M.; Che Mohamed Hussein, S.N.; Othman, N.H. Synthesis of Al2O3–SiO2/water hybrid nanofluids and effects of surfactant toward dispersion and stability. Part. Sci. Technol. 2021, 39, 844–858. [Google Scholar] [CrossRef]
- Ho, C.; Cheng, C.Y.; Yang, T.F.; Rashidi, S.; Yan, W.M. Cooling characteristics and entropy production of nanofluid flowing through tube. Alex. Eng. J. 2022, 61, 427–441. [Google Scholar] [CrossRef]
- Denn, M.M. Fifty years of non-Newtonian fluid dynamics. AIChE J. 2004, 50, 2335–2345. [Google Scholar] [CrossRef]
- Mackosko, C.W. Rheology: Principles, Measurements and Applications; VCH Publishers, Inc.: New York, NY, USA, 1994. [Google Scholar]
- Adegbie, K.S.; Omowaye, A.J.; Disu, A.B.; Animasaun, I.L. Heat and mass transfer of upper convected Maxwell fluid flow with variable thermo-physical properties over a horizontal melting surface. Appl. Math. 2015, 6, 1362. [Google Scholar] [CrossRef] [Green Version]
- Megahed, A.M. Improvement of heat transfer mechanism through a Maxwell fluid flow over a stretching sheet embedded in a porous medium and convectively heated. Math. Comput. Simul. 2021, 187, 97–109. [Google Scholar] [CrossRef]
- Shafiq, A.; Khalique, C.M. Lie group analysis of upper convected Maxwell fluid flow along stretching surface. Alex. Eng. J. 2020, 59, 2533–2541. [Google Scholar] [CrossRef]
- Hilfer, R. Applications of Fractional Calculus in Physics; World Scientific Publishing: Singapore, 2000. [Google Scholar] [CrossRef]
- Meral, F.; Royston, T.; Magin, R. Fractional calculus in viscoelasticity: An experimental study. Commun. Nonlinear Sci. Numer. Simul. 2010, 15, 939–945. [Google Scholar] [CrossRef]
- Yang, P.; Lam, Y.C.; Zhu, K.Q. Constitutive equation with fractional derivatives for the generalized UCM model. J. Non–Newton. Fluid Mech. 2010, 165, 88–97. [Google Scholar] [CrossRef]
- Heymans, N. Hierarchical models for viscoelasticity: Dynamic behaviour in the linear range. Rheol. Acta 1996, 35, 508–519. [Google Scholar] [CrossRef]
- Liu, L.; Feng, L.; Xu, Q.; Zheng, L.; Liu, F. Flow and heat transfer of generalized Maxwell fluid over a moving plate with distributed order time fractional constitutive models. Int. Commun. Heat Mass Transf. 2020, 116, 104679. [Google Scholar] [CrossRef]
- Yang, W.; Chen, X.; Jiang, Z.; Zhang, X.; Zheng, L. Effect of slip boundary condition on flow and heat transfer of a double fractional Maxwell fluid. Chin. J. Phys. 2020, 68, 214–223. [Google Scholar] [CrossRef]
- Razzaq, A.; Seadawy, A.R.; Raza, N. Heat transfer analysis of viscoelastic fluid flow with fractional Maxwell model in the cylindrical geometry. Phys. Scr. 2020, 95, 115220. [Google Scholar] [CrossRef]
- Hanif, H. A computational approach for boundary layer flow and heat transfer of fractional Maxwell fluid. Math. Comput. Simul. 2022, 191, 1–13. [Google Scholar] [CrossRef]
- Asjad, M.I.; Ali, R.; Iqbal, A.; Muhammad, T.; Chu, Y.M. Application of water based drilling clay-nanoparticles in heat transfer of fractional Maxwell fluid over an infinite flat surface. Sci. Rep. 2021, 11, 18833. [Google Scholar] [CrossRef]
- Saqib, M.; Hanif, H.; Abdeljawad, T.; Khan, I.; Shafie, S.; Nisar, K.S. Heat transfer in mhd flow of maxwell fluid via fractional cattaneo-friedrich model: A finite difference approach. Comput. Mater. Contin 2020, 65, 1959–1973. [Google Scholar] [CrossRef]
- Bayones, F.; Abd-Alla, A.; Thabet, E.N. Effect of heat and mass transfer and magnetic field on peristaltic flow of a fractional Maxwell fluid in a tube. Complexity 2021, 2021, 9911820. [Google Scholar] [CrossRef]
- Podlubny, I. Fractional Differential Equations: An Introduction to Fractional Derivatives, Fractional Differential Equations, to Methods of Their Solution and Some of Their Applications; Academic Press: Cambridge, MA, USA, 1999. [Google Scholar]
- Hanif, H. Cattaneo–Friedrich and Crank–Nicolson analysis of upper-convected Maxwell fluid along a vertical plate. Chaos Solitons Fractals 2021, 153, 111463. [Google Scholar] [CrossRef]
- Davidson, P.A. An introduction to magnetohydrodynamics. Am. J. Phys. 2002, 70, 781. [Google Scholar] [CrossRef]
- Fontes, D.H.; Ribatski, G.; Bandarra Filho, E.P. Experimental evaluation of thermal conductivity, viscosity and breakdown voltage AC of nanofluids of carbon nanotubes and diamond in transformer oil. Diam. Relat. Mater. 2015, 58, 115–121. [Google Scholar] [CrossRef]
- Devi, S.A.; Devi, S.S.U. Numerical investigation of hydromagnetic hybrid Cu–Al2O3/water nanofluid flow over a permeable stretching sheet with suction. Int. J. Nonlinear Sci. Numer. Simul. 2016, 17, 249–257. [Google Scholar] [CrossRef]













| Properties | Mathematical Expressions |
|---|---|
| Viscosity | |
| Density | |
| Heat capacitance | |
| Thermal conductivity | |
| Electrical conductivity |
Publisher’s Note: MDPI stays neutral with regard to jurisdictional claims in published maps and institutional affiliations. |
© 2022 by the authors. Licensee MDPI, Basel, Switzerland. This article is an open access article distributed under the terms and conditions of the Creative Commons Attribution (CC BY) license (https://creativecommons.org/licenses/by/4.0/).
Share and Cite
Hanif, H.; Shafie, S. Impact of Al2O3 in Electrically Conducting Mineral Oil-Based Maxwell Nanofluid: Application to the Petroleum Industry. Fractal Fract. 2022, 6, 180. https://doi.org/10.3390/fractalfract6040180
Hanif H, Shafie S. Impact of Al2O3 in Electrically Conducting Mineral Oil-Based Maxwell Nanofluid: Application to the Petroleum Industry. Fractal and Fractional. 2022; 6(4):180. https://doi.org/10.3390/fractalfract6040180
Chicago/Turabian StyleHanif, Hanifa, and Sharidan Shafie. 2022. "Impact of Al2O3 in Electrically Conducting Mineral Oil-Based Maxwell Nanofluid: Application to the Petroleum Industry" Fractal and Fractional 6, no. 4: 180. https://doi.org/10.3390/fractalfract6040180
APA StyleHanif, H., & Shafie, S. (2022). Impact of Al2O3 in Electrically Conducting Mineral Oil-Based Maxwell Nanofluid: Application to the Petroleum Industry. Fractal and Fractional, 6(4), 180. https://doi.org/10.3390/fractalfract6040180

